










Preview text:
38 bài tập - Ôn tập tổng hợp về Lượng giác (Trắc nghiệm) - File word có lời giải chi tiết Câu 1. Cho thỏa mãn . Khi đó có giá trị bằng: A. B. C. D.
Câu 2. Phương trình
có bao nhiêu nghiệm thỏa: A. 1 B. 2 C. 3 D. 4
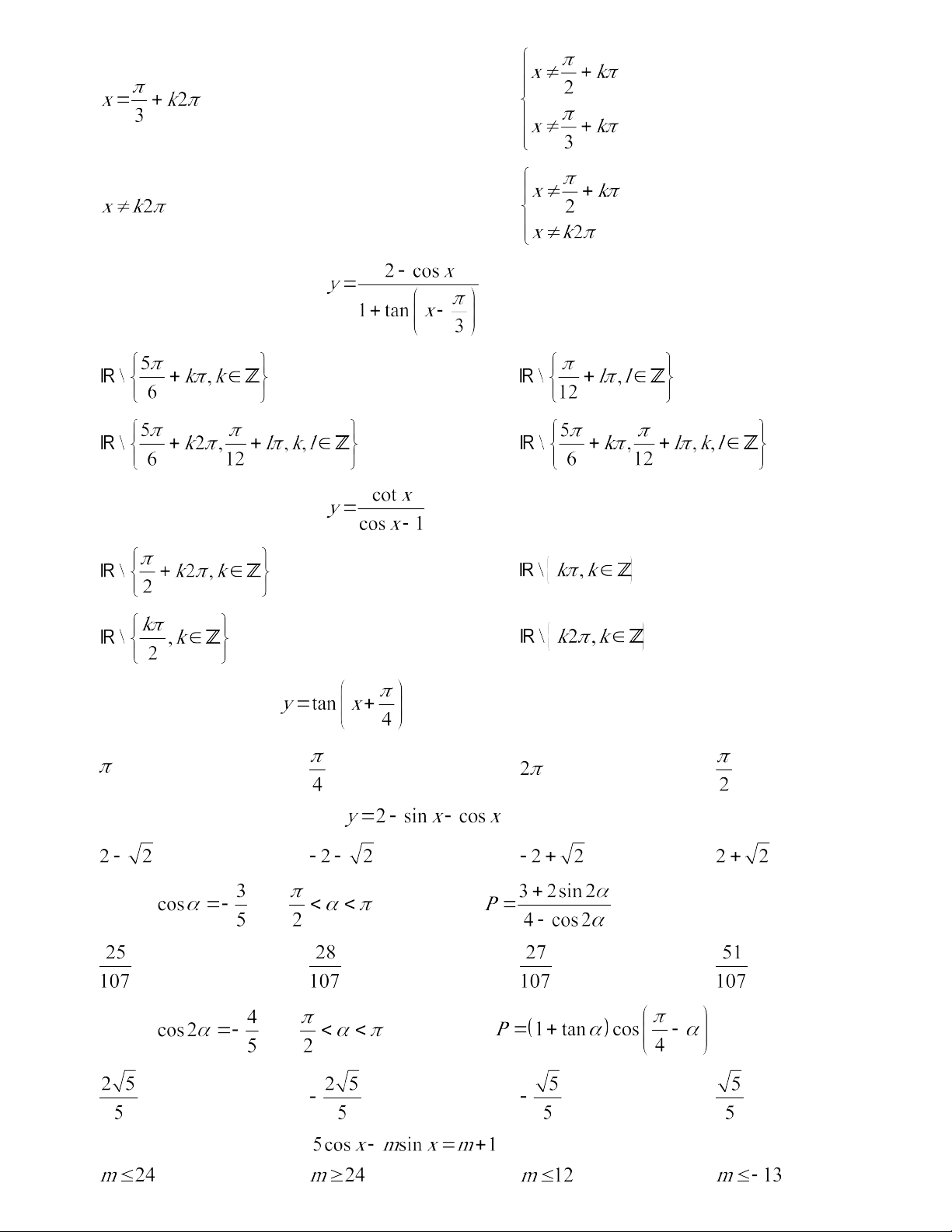
Câu 3. Tập xác định của hàm số là: A. B. C. D.
Câu 4. Giá trị lớn nhất và giá trị nhỏ nhất của hàm số trên đoạn lần lượt là: A. B. C. D. Câu 5. Hàm số
nghịch biến trên khoảng: A. B. C. D. Câu 6. Cho thỏa mãn . Khi đó có giá trị bằng: A. B. C. D.
Câu 7. Giá trị lớn nhất và giá trị nhỏ nhất của hàm số lần lượt là: A. 2; −1 B. 3; −1 C. −1; −3 D. 3; 1 Câu 8. Cho và . Tính A. 8 B. 5 C. 6 D. 7
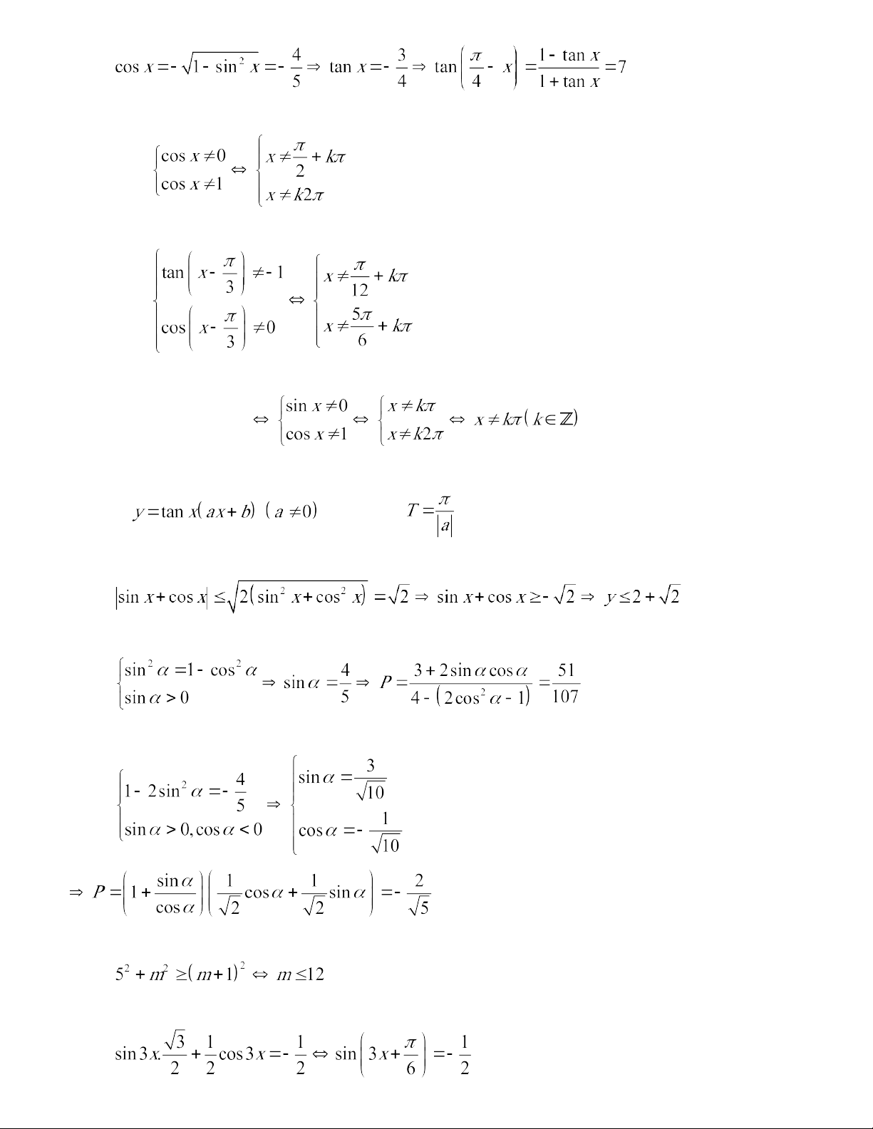
Câu 9. Điều kiện xác định của hàm số là: A. B. C. D.
Câu 10. Tập xác định của hàm số là: A. B. C. D.
Câu 11. Tập xác định của hàm số là: A. B. C. D.
Câu 12. Chu kỳ của hàm số là: A. B. C. D.
Câu 13. Giá trị lớn nhất của hàm số là: A. B. C. D. Câu 14. Cho với . Tính giá trị . A. B. C. D. Câu 15. Cho với . Tính giá trị . A. B. C. D.
Câu 16. Tìm m để phương trình có nghiệm. A. B. C. D.
Câu 17. Phương trình:
tương đương với phương trình nào sau đây: A. B. C. D.
Câu 18. Tính giá trị của biểu thức biết . A. B. C. D. Câu 19. Hàm số tuần hoàn với chu kỳ: A. B. C. D. Câu 20. Cho góc và . Tính . A. B. C. D. Câu 21. Cho với . Tính giá trị . A. B. 1 C. D.
Câu 22. Giá trị lớn nhất của hàm số là: A. 0 B. 3 C. 2 D. 5 Câu 23. Cho và . Tính . A. B. C. D. Câu 24. Cho và . Tính giá trị A. B. C. D. Câu 25. Cho . Tính giá trị A. B. C. D. Đáp án khác
Câu 26. Tập xác định của hàm số là: A. B. C. D. Câu 27. Hàm số
chỉ không xác định tại: A. B. C. D. Câu 28. Hàm số
đồng biến trên khoảng: A. B. C. D.
Câu 29. Giá trị của biểu thức bằng A. 1 B. C. D. 0 Câu 30. Cho
. Thu gọn M được kết quả là: A. 1 B. −1 C. D. Câu 31. Cho và . Tính A. B. C. D. Câu 32. Hàm số chỉ xác định khi: A. B. C. D. Câu 33. Cho , . Tính A. 8 B. C. 10 D. −2
Câu 34. Nghiệm của phương trình là: A. B. C. D.
Câu 35. Phương trình có đúng 2 nghiệm khi và chỉ khi: A. B. C. D.
Câu 36. Số nghiệm của phương trình trên là: A. 15 B. 16 C. 17 D. 18
Câu 37. Giải phương trình A. hoặc B. C. D. hoặc
Câu 38. Hàm số nào sau đây là hàm số chẵn: A. B. C. D. HƯỚNG DẪN GIẢI
Câu 1. Chọn đáp án D Ta có Ta có .
Câu 2. Chọn đáp án B Ta có . Do .
Câu 3. Chọn đáp án D Điều kiện
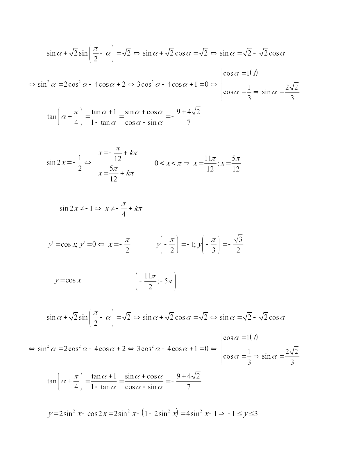
Câu 4. Chọn đáp án A Ta có . Ta có .
Câu 5. Chọn đáp án A Hàm số nghịch biến trên .
Câu 6. Chọn đáp án C Ta có Ta có
Câu 7. Chọn đáp án B Ta có
Câu 8. Chọn đáp án D Ta có
Câu 9. Chọn đáp án D Điều kiện:
Câu 10. Chọn đáp án D Điều kiện:
Câu 11. Chọn đáp án B
Hàm số đã cho xác định .
Câu 12. Chọn đáp án A Hàm số có chu kỳ .
Câu 13. Chọn đáp án D Ta có
Câu 14. Chọn đáp án D Ta có
Câu 15. Chọn đáp án B Ta có
Câu 16. Chọn đáp án C Ta có
Câu 17. Chọn đáp án C Ta có .
Câu 18. Chọn đáp án C Ta có
Câu 19. Chọn đáp án A Ta có và hàm số tuần hoàn với chu kỳ .
Câu 20. Chọn đáp án D Ta có
Câu 21. Chọn đáp án A Ta có
Câu 22. Chọn đáp án C Ta có
Câu 23. Chọn đáp án C Ta có: Do nên .
Câu 24. Chọn đáp án D Ta có: Do
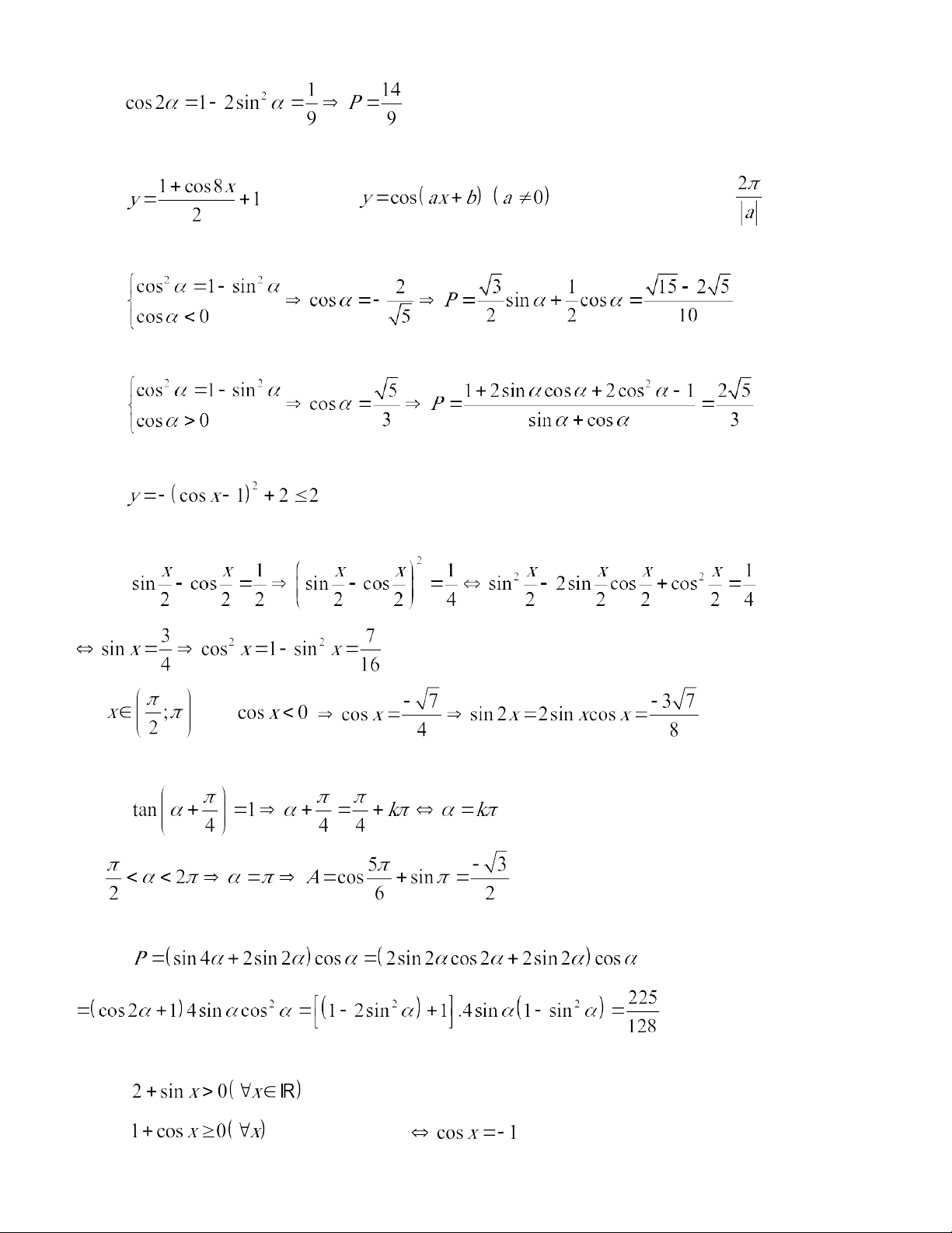
Câu 25. Chọn đáp án D Ta có: .
Câu 26. Chọn đáp án B Ta có: Ta có: dấu bằng xảy ra .
Hàm số đã cho xác định .
Câu 27. Chọn đáp án C
Hàm số đã cho không xác định khi
Câu 28. Chọn đáp án C Hàm số
đồng biến trên khoảng
do đó nó đồng biến trên khoảng .
Câu 29. Chọn đáp án C Ta có: .
Câu 30. Chọn đáp án C Ta có: . Cách 2: Chọn
Câu 31. Chọn đáp án D Ta có: Do nên
Câu 32. Chọn đáp án A
Hàm số đã cho xác định khi .
Câu 33. Chọn đáp án B Ta có: Do
Câu 34. Chọn đáp án A Ta có: PT hay
Câu 35. Chọn đáp án A
Phương trình đã cho có 2 nghiệm khi và chỉ khi .
Câu 36. Chọn đáp án C Ta có: Xét Xét
Do đó PT có 17 nghiệm thuộc đoạn
Câu 37. Chọn đáp án C Đặt Do đó . Khi đó Với ta có: .
Câu 38. Chọn đáp án C Hàm số là hàm chẵn khi Ta có: Khi đó .