















Preview text:
21:18, 10/01/2026
Ôn thi cuối kì xstk ngày 20 - xác suất thống kê - anh ơi anh giải thích hộ em phần ký hiệu của xác - Studocu
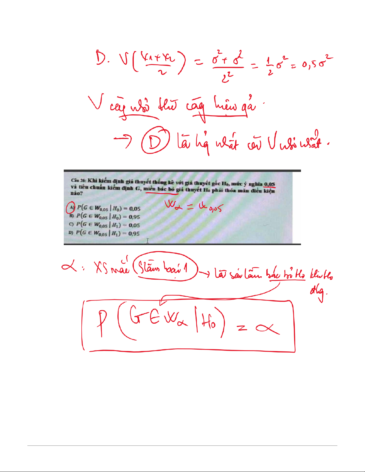
anh ơi anh giải thích hộ em phần ký hiệu của xác suất mắc sai lầm ạ. em cảm ơnn 21:18, 10/01/2026
Ôn thi cuối kì xstk ngày 20 - xác suất thống kê - anh ơi anh giải thích hộ em phần ký hiệu của xác - Studocu
quy tắc 3 sigma là sao thế a 21:18, 10/01/2026
Ôn thi cuối kì xstk ngày 20 - xác suất thống kê - anh ơi anh giải thích hộ em phần ký hiệu của xác - Studocu 21:18, 10/01/2026
Ôn thi cuối kì xstk ngày 20 - xác suất thống kê - anh ơi anh giải thích hộ em phần ký hiệu của xác - Studocu 21:18, 10/01/2026
Ôn thi cuối kì xstk ngày 20 - xác suất thống kê - anh ơi anh giải thích hộ em phần ký hiệu của xác - Studocu 21:18, 10/01/2026
Ôn thi cuối kì xstk ngày 20 - xác suất thống kê - anh ơi anh giải thích hộ em phần ký hiệu của xác - Studocu 21:18, 10/01/2026
Ôn thi cuối kì xstk ngày 20 - xác suất thống kê - anh ơi anh giải thích hộ em phần ký hiệu của xác - Studocu 21:18, 10/01/2026
Ôn thi cuối kì xstk ngày 20 - xác suất thống kê - anh ơi anh giải thích hộ em phần ký hiệu của xác - Studocu 21:18, 10/01/2026
Ôn thi cuối kì xstk ngày 20 - xác suất thống kê - anh ơi anh giải thích hộ em phần ký hiệu của xác - Studocu 21:18, 10/01/2026
Ôn thi cuối kì xstk ngày 20 - xác suất thống kê - anh ơi anh giải thích hộ em phần ký hiệu của xác - Studocu 21:18, 10/01/2026
Ôn thi cuối kì xstk ngày 20 - xác suất thống kê - anh ơi anh giải thích hộ em phần ký hiệu của xác - Studocu 21:18, 10/01/2026
Ôn thi cuối kì xstk ngày 20 - xác suất thống kê - anh ơi anh giải thích hộ em phần ký hiệu của xác - Studocu
khi biến ngẫu nhiên phân phối chuẩn thì phương sai của mẫu bằng phương sai của tổng thể chia n mẫu hả a 21:18, 10/01/2026
Ôn thi cuối kì xstk ngày 20 - xác suất thống kê - anh ơi anh giải thích hộ em phần ký hiệu của xác - Studocu 21:18, 10/01/2026
Ôn thi cuối kì xstk ngày 20 - xác suất thống kê - anh ơi anh giải thích hộ em phần ký hiệu của xác - Studocu 21:18, 10/01/2026
Ôn thi cuối kì xstk ngày 20 - xác suất thống kê - anh ơi anh giải thích hộ em phần ký hiệu của xác - Studocu 21:18, 10/01/2026
Ôn thi cuối kì xstk ngày 20 - xác suất thống kê - anh ơi anh giải thích hộ em phần ký hiệu của xác - Studocu