


















Preview text:
TRƯỜNG ĐẠI HỌC THƯƠNG MẠI - - - □ & □ - - - KINH TẾ VI MÔ 1
Đề tài: PHÂN TÍCH CUNG, CẦU, GIÁ CẢ CỦA MỘT MẶT HÀNG
TIÊU DÙNG TRONG GIAI ĐOẠN TỪ 2020 – 2023 (MẶT HÀNG TRÀ SỮA) Nhóm : 01 Lớp : CN19 – DLF.DB
Lớp học phần : 24104MIEC0111
Học phần : Kinh tế vi mô 1
Giảng viên phụ trách học phần :
HÀ NỘI - ngày tháng 11 năm 2023 1 MỤC LỤC Lời mở đầu A. CƠ SỞ LÝ THUYẾT 2 LỜI MỞ ĐẦU
Trong thời đại hiện nay xã hội đang vận động phát triển ngày càng văn minh hiện
đại hơn, đời sống của con người không ngừng cải thiện và ngày càng nâng cao hơn. Vì lẽ đó
mà nhu cầu về đời sống vật chất và tinh thần của mỗi người thay đổi từng ngày. Đặc biệt
con người ngày càng có nhu cầu về hàng hóa và dịch vụ. Do đó để đáp ứng được nhu cầu
ngày càng cao của con người thì các dịch vụ cung cấp, muabán hàng hóa cũng phát triển không ngừng.
Thị trường kinh tế ngày càng phát triển mở rộng đa dạng hơn. Không chỉ có vậy do
thị hiếu của người tiêu dùng nên sản phẩm làm ra muốn tiêu thụ được trên thị trường thì
điều cốt yếu mà sản phẩm làm ra phải đảm bảo về cả mẫu mã và chất lượng. Các doanh
nghiệp muốn phát triển thì phải tạo được uy tín cho thương hiệu của mình phải nắm bắt
được lượng cầu của thị trường để đưa ra lượng cung phù hợp,cũng như hiểu được thị hiếu
và khả năng thanh toán của người tiêu dùng.
Nếu không có người mua thì sẽ không có sự ra đời của hàng hóa, và ngược lại
nếuhàng hóa không có mặt thì không thể nào thỏa mãn được những đòi hỏi của người tiêu
dùng. Nói cách khác nếu không có tiêu dùng thì không có sản xuất và không có sản xuất thì
không có tiêu dùng. Đó chính là nguyên nhân tạo nên mối quan hệ cung-cầu hàng hóa dịch vụ.
Quan hệ cung- cầu khá phức tạp và có vai trò quan trọng trong nền kinh tế hàng
hóa. Nó là quan hệ qua lại giữa sản xuất và tiêu dùng, thúc đẩy sản xuất phát triển và điều
tiết tiêu dùng. Cung cầu là hai phạm trù kinh tế, qua chúng mà người ta có thể đánh giá sự
tăng giảm kinh tế, thị hiếu, nhu cầu của khách hàng và khả năng đáp ứngnhu cầu của doanh
nghiệp về số lượng, chất lượng, mẫu mã, giá cả thị trường, để từ đó lập kế hoạch và phương
án sản xuất kinh doanh phù hợp. Đây là vấn đề cấp thiết mang tính toàn cầu. 3
Để hiểu thêm về mối quan hệ cung- cầu và giá cả thị trường của hàng hóa, dịch vụ
trên thị trường chúng ta sẽ cùng đi tìm hiểu. 4 A. CƠ SỞ LÝ THUYẾT
1. THỊ TRƯỜNG VÀ GIÁ CẢ THỊ TRƯỜNG
Khái niệm: Thị trường là một cơ chế trong đó người mua và người bán tương tác với nhau
để xác định giá cả và sản lượng.
Phân loại: theo đối tượng hàng hóa được trao đổi: thị trường gạo, thị trường ô tô,...; theo
phạm vi địa lý: thị trường Hà Nội, thị trường miền Bắc,...; theo mức độ cạnh tranh trên thị
trường: cạnh tranh hoàn hảo, cạnh tranh độc quyền, độc quyền nhóm, độc quyền thuần túy.
Giá cả thị trường: Mối quan hệ trên thị trường là mối quan hệ giữa cung, cầu – hàng và tiền
được biểu hiện thông qua giá cả, khi mối quan hệ này thay đổi sẽ tác động đến giá cả thị
trường. Giá cả của hàng hóa phản ánh lợi ích của kinh tế, là tiêu chuẩn để các doanh nghiệp lựa
chọn các mặt hàng trong sản xuất kinh doanh. Bên cạnh đó giá cả thị trường còn biểu hiện tổng
hợp cácc quan hệ kinh tế lơn snhuw quan hệ giữa cung - cầu, quan hệ tích lũy – tiêu dùng,
quan hệ trong – ngoài nước. 2. CẦU
2.1Khái niệm về cầu và luật cầu
2.1.1. Cầu (D) phản ánh lượng hàng hóa hay dịch vụ mà người mua muốn mua và có khả
năng mua tại các mức giá khác nhau trong một giai đoạn nhất định và giả định rằng tất cả
các yếu tố khác là không đổi.
Cầu của từng người tiêu dùng đối với một loại hàng hóa hoặc dịch vụ nào đó là cầu cá nhân.
Cầu thị trường về một hàng hóa hoặc dịch vụ là tổng tất cả các cầu cá nhân của hàng hóa hoặc dịch vụ đó.
Phân biệt cầu và nhu cầu:
Cầu (D) là số lượng hàng hóa hoặc dịch vụ mà người mua muốn mua và có khả năng
mua tại các mức giá khác nhau trong một khoảng thời gian nhất định, các nhân tố khác không đổi.
Nhu cầu: là những mong muốn, sở thích của người tiêu dùng, nhưng có thể không có khả năng thanh toán.
Phân biệt cầu và luật cầu: 5
Lượng cầu (QD) là lượng cụ thể của hàng hóa hay dịch vụ mà người mua mong muốn
và có khả năng mua tại một mức giá xác định trong một giai đoạn nhất định và giả định
rằng tất cả các yếu tố khác không đổi.
Cầu được thể hiện thông qua tập hợp các lượng cầu ở các mức giá khác nhau.
2.1.2. Luật cầu: Giả định tất cả các yếu tố khác không đổi, nếu giá của hàng hóa hay dịch vụ
tăng lên sẽ làm cho lượng cầu về hàng hóa hay dịch vụ đó giảm đi và ngược lại.
Giữa giá và lượng cầu có mối quan hệ nghịch: P tăng thì QD giảm hoặc P giảm thì QD tăng.
2.2Đồ thị và phương trình đường cầu
2.2.1. Phương trình đường cầu
Dạng phương trình tuyến tính QD = a – bP (a ≥ 0,b ≥ 0) hoặc P = m – nQD (m ≥ 0, n ≥ 0)
2.2.2 Đồ thị đường cầu
Độ dốc đường cầu = ∆ P ∆ Q
Giả sử hàm cầu có dạng: P = m – nQD
Khi lượng cầu là Q1 thì P1 = m – nQ1
Khi lượng cầu là Q2 thì P2 = m – nQ2
P1 – P2 = (m – nQ1) – (m – nQ2) = – n(Q1 – Q2) P = – n Q. = – n ∆ P ∆ ∆ ∆ Q
Hàm cầu có dạng: QD =a–bP P = a/b – 1/bQD
-1/b là độ dốc đường cầu
2.3Các yếu tố tác động đến cầu và sự di chuyển dịch chuyển đường cầu
2.3.1. Các yếu tố tác động đến cầu
2.3.1.1 Tác động của giá đến cầu
Các nhà kinh tế coi luật cầu là một phát minh quan trọng của kinh tế học: người tiêu
dùng sẽ mua nhiều hầng hóa, dịch vụ hơn nếu như giá của hàng hóa hoặc dịch vụ đó giảm
xuống trong điều kiện các yếu tố khác không đổi. Sự di chuyển trên đường cầu là sự thay
đổi của lượng cầu do chính giá hàng hóa đang xét thay đổi, giả định các yếu tố khác không thay đổi.
2.3.1.2 Tác động của các yếu tố khác 6
Số lượng người mua: là yếu tố quan trọng xác định lượng tiêu dùng tiềm năng. Thị
trường càng nhiều người tiêu dùng thì cầu càng tăng và ngược lại. Cùng với sự gia tăng dân
số, cầu đối với hầu hết tất cả các loại hàng hóa đều tăng. Khi số lượng người tiêu dùng thay
đổi sẽ làm dịch chuyển đường cầu, khi số lượng người tiêu dùng tăng đường cầu sẽ dịch
chuyển sang phải, và khi số lượng người tiêu dùng giảm đường cầu sẽ dịch chuyển sang trái.
Thị hiếu, sở thích: Thị hiếu và sở thích của người tiêu dùng có ảnh hưởng trực tiếp đến
nhu cầu về một mặt hàng. Điều này có thể được áp dụng cho các sản phẩm thời trang,
những sản phẩm có tính phân hoá cao,…
Thu nhập: khi thu nhập thay đổi, người tiêu dùng sẽ thay đổi nhu cầu tiêu dùng đối với
các loại hàng hóa. Điều này sẽ tạo nên sự dịch chuyển của đường cầu. Đường cầu đối với
hàng hóa thông thường sẽ dịch chuyển sang phải nếu như thu nhập của người tiêu dùng tăng
lên; đối với hàng hóa thứ cấp thì đường cầu sẽ dịch chuyển sang trái nếu thu nhập của người
tiêu dùng tăng lên, giả sử các yếu tố khác không thay đổi.
Giá cả của hàng hóa có liên quan: Sản phẩm hoặc hàng hóa thay thế trong kinh tế là
một sản phẩm hoặc dịch vụ mà người tiêu dùng thấy giống hoặc tương tự với sản phẩm
khác. Việc tăng giá với sản phẩm thay thế sẽ dẫn đến sự gia tăng nhu cầu đối với một mặt
hàng nhất định và ngược lại. Hàng hoá bổ sung là một loại hàng hóa hoặc dịch vụ được sử
dụng cùng với một hàng hóa hoặc dịch vụ khác. Thông thường, hàng hóa bổ sung có ít hoặc
không có giá trị khi được tiêu thụ một mình, nhưng khi kết hợp với một hàng hóa hoặc dịch
vụ khác, nó làm tăng thêm giá trị chung của sản phẩm
Các chính sách của chính phủ: Đánh thuế vào người tiêu dùng thì cầu sẽ giảm, chính
phủ trợ cấp người tiêu dùng thì cầu sẽ tăng.
Kỳ vọng về giá cả và thu nhập: Kỳ vọng về người tiêu dùng về giá cả trong tương lai
của một loại hàng hóa có thể làm thay đổi quyết định mua hàng hóa ở thời điểm hiện tại của
họ. Nếu người tiêu dùng kì vọng giá cả sẽ tăng trong tương lai, cầu ở hiện tại sẽ có thể tăng
lên. Kì vọng về giá giảm trong tương lai sẽ làm sức mua ở hiện tại chững lại, cầu ở hiện tại sẽ giảm xuống
Các yếu tố khác: Môi trường tự nhiên, điều kiện thời tiết, khí hậu, chính trị,...
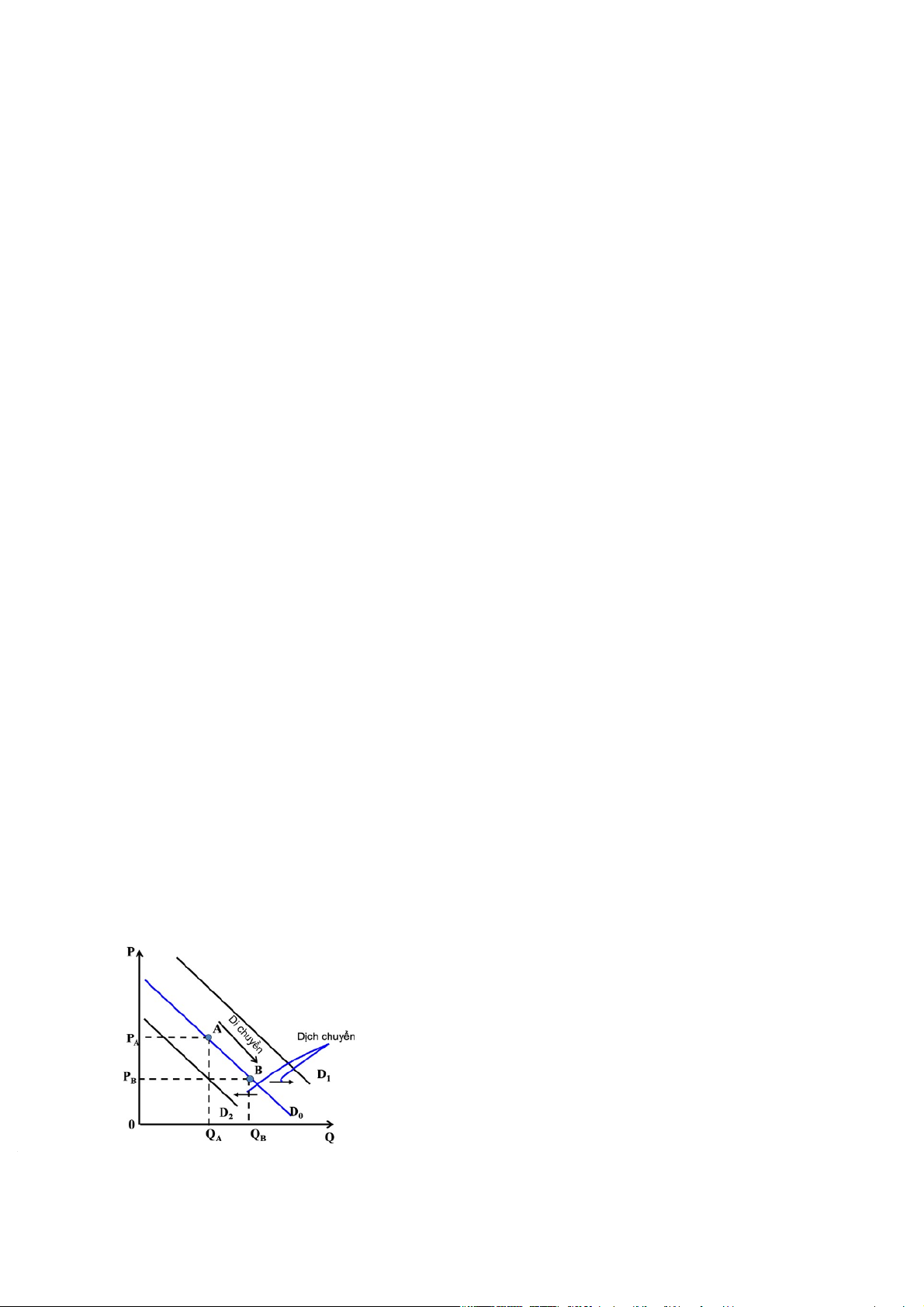
2.3.2. Sự di chuyển và sự dịch chuyển của đường cầu Sự di chuyển
trên cùng một đường cầu do giá của bản thân hàng hóa đang xét thay đổi. 7
Sự dịch chuyển đường cầu: Đường cầu thay đổi sang một vị trí mới (sang phải hoặc sang
trái) do các yếu tố ngoài giá của bản thân hàng hóa đang xét thay đổi 3. CUNG
3.1Khái niệm về cung và luật cung
3.1.1. Cung (S) phản ánh lượng hàng hóa hay dịch vụ mà người bán mong muốn và có khả
năng bán tại các mức giá khác nhau trong một giai đoạn nhất định (giả định rằng các yếu tố khác không đổi)
Phân biệt lượng cung và cung:
- Lượng cung (QS) là lượng cụ thể của hàng hóa hay dịch vụ mà người bán mong muốn và
có khả năng bán tại một mức giá xác định trong một giai đoạn nhất định (giả định rằng các
yếu tố khác không đổi)
- Cung được thể hiện thông qua tập hợp các lượng cung ở các mức giá khác nhau.
Cung thị trường là tổng cung của các hãng trên thị trường
3.1.2. Luật cung: Giả định tất cả các yếu tố khác không đổi, nếu giá của hàng hóa hay dịch
vụ tăng lên sẽ làm cho lượng cung về hàng hóa đó cũng tăng lên và ngược lại.
Giữa giá và lượng cung có mỗi quan hệ cùng chiều
3.2Hàm cung và đồ thị đường cung 3.2.1. Hàm cung
Dạng hàm cung tuyến tính QS = a + bP (b ≥ 0) hoặc P = m – nQS (n ≥ 0)
3.2.2. Đồ thị đường cung
Giả sử hàm cung có dạng: P = m + nQS
Khi lượng cung là Q1 thì P 1= m + nQ1 Khi lượng cung là Q thì P 2 = m + nQ 2 2
P1 = (m + nQ1) – (m + nQ ) = n (Q 2 1–Q ) 2 P n Q ∆ P = n ∆ Q 8
Hàm cung có dạng: Q = a + bP P = - a/b + 1/bQS
1/b là độ dốc đường cung.
3.3Các yếu tố tác động đến cung và sự di chuyển dịch chuyển đường cung
3.3.1. Các yếu tố tác động đến cung
3.3.1.1 Tác động của giá đến cung
Giá có thể được hiểu là những gì người tiêu dùng sẵn sàng trả để nhận được hàng
hóa hoặc dịch vụ. Đây là yếu tố chính ảnh hưởng đến nguồn cung cấp sản phẩm. Trong
nguyên lý cung cầu, khi giá của sản phẩm tăng lên, nguồn cung của sản phẩm cũng tăng và
ngược lại. Đây có thể hiểu là sự dịch chuyển về giá. Trái lại, khi có bất kỳ dấu hiệu nào về
việc tăng giá của sản phẩm trong tương lai, thì nguồn cung trên thị trường ở thời điểm hiện
tại sẽ giảm để thu được nhiều lợi nhuận hơn sau này. Ngược lại, nếu giá bán dự kiến giảm,
nguồn cung trên thị trường hiện tại sẽ tăng mạnh.
Bên cạnh đó, giá bán của hàng hóa thay thế và hàng hóa bổ sung cũng ảnh hưởng
đến nguồn cung cấp sản phẩm.
Sự di chuyển trên đường cung là sự thay đổi do chính giá hàng hóa thay đổi, giả
định các yếu tố khác không thay đổi. 3.3.1.2 Các yếu tố khác
Số lượng người bán: Số lượng người sản xuất có ảnh hưởng trực tiếp đến số lượng hàng
hóa bán ra trên thị trường. Càng nhiều người sản xuất thì lượng hàng hóa càng nhiều, đường
cung dịch chuyển sang phải, ngược lại nếu ít người sản xuất đường cung dịch chuyển sang trái.
Tiến bộ về công nghệ: Công nghệ có ảnh hưởng trực tiếp đến số lượng hàng hóa được
sản xuất ra. Công nghệ tiên tiến sẽ làm tăng năng suất và do đó nhiều hàng hóa hơn được sản xuất ra.
Giá của các yếu tố đầu vào: Việc cung cấp sản phẩm và chi phí sản xuất có mối quan hệ
trái ngược với nhau. Đối với các công ty, nếu chi phí sản xuất tăng, việc cung cấp sản phẩm
sẽ phải thu hẹp lại để tiết kiệm tài nguyên. Khi chi phí sản xuất tăng làm đường cung dịch
chuyển sang trái, ngược lại, khi chi phí sản xuất giảm sẽ làm đường cầu dịch chuyển sang phải.
Chính sách của chính phủ: Với vai trò điều tiết và bảo vệ nền kinh tế, chính phủ có ảnh
hưởng lớn đến nguồn cung cấp sản phẩm. Thuế càng thấp, nguồn cung của sản phẩm đó
càng cao. Mặt khác, nếu các quy định nghiêm ngặt được đề ra và thuế tiêu thụ đặc biệt được
thêm vào, nguồn cung cấp sản phẩm sẽ giảm. 9
Giá của hàng hóa có liên quan trong sản xuất: Giá của các yếu tố sản xuất tác động trực
tiếp đến chi phí sản xuất và do đó ảnh hưởng đến lượng hàng hoá mà người sản xuất muốn bán.
Kỳ vọng về giá cả: Kỳ vọng là những dự đoán, dự báo của người sản xuất về những diễn
biến thị trường trong tương lai ảnh hưởng đến cung hiện tại. Nếu các kỳ vọng thuận lợi đối
với người bán thì lượng cung hiện tại sẽ giảm, đường cung dịch chuyển sang trái và ngược lại.
Yếu tố khác: thiên tai, dịch bệnh
3.3.2 Sự di chuyển và sự dịch chuyển đường cung
Sự di chuyển (trượt dọc) trên đường cung:Sự thay đổi vị trí
của các điểm khác nhau trên cùng một đường cung, do giá
của bản thân hàng hóa đang xét thay đổi
Sự dịch chuyển đường cung: Đường cung thay đổi sang một
vị trí mới ( sang phải hoặc sang trái), do các yếu tố ngoài giá
của bản thân hàng hóa đang xét thay đổi 4. CÂN BẰNG THỊ TRƯỜNG
4.1Trạng thái cân bằng thị trường
Cân bằng thị trường là một trạng thái trong đó không có
sức ép làm thay đổi giá và sản lượng
Tại một mức giá mà lượng cầu bằng lượng cung ta gọi là
cân bằng thị trường. Nếu giá thị trường thấp hơn giá cân
bằng, lượng cầu của người tiêu dùng sẽ vượt lượng cung của
nhà sản xuất; nếu giá thị trường cao hơn mức giá cân bằng,
lượng cần của người tiêu dùng sẽ ít hơn lượng cung của nhà sản xuất.
Chúng ta có thể biểu diễn thị trường ở trạng thái cân
bằng trong một đồ thị bằng cách hiển thị giá và lượng kết
hợp tại đó đường cung và đường cầu cắt nhau.
4.2Trạng thái dư thừa và thiếu hụt hàng hóa
4.2.1. Trạng thái dư thừa
Giả sử mức giá trên thị trường là P1 > P0 10
Xét tại mức giá P1 ta có:
QD = Q1 < Q0 QS = Q2 > Q0 QD < QS Thị trường dư thừa Lượng dư thừa:
Qdư thừa =QS–QD = Q2 – Q1 = AB
Có sức ép làm giảm giá xuống để quay về trạng thái cân bằng
4.2.2 Trạng thái thiếu hụt
Giả sử mức giá trên thị trường là P2 < P0
Xét tại mức giá P2 ta có: 11 QS = Q1 < Q0
QD = Q2 > Q0 QS < QD. Thị trường thiếu hụt
Lượng thiếu hụt: Qthiếu hụt = |QS – QD| =|Q1–Q2|= MN
Có sức ép làm tăng giá lên để quay về trạng thái cân bằng
4.3Thay đổi về trạng thái cân bằng cung cầu
4.3.1 Nguyên nhân từ phía cầu (cung không đổi)
Cầu tăng: Giá cân bằng, lượng cân bằng tăng Cầu giảm: Giá cân bằng, lượng cân bằng giảm
4.3.2 Nguyên nhân từ phía cung (cầu không đổi)
Cung tăng: Giá cân bằng giảm, lượng cân bằng tăng Cung giảm: Giá cân bằng tăng, lượng cân bằng giảm
4.3.3 Nguyên nhân do cả cung và cầu thay đổi: Có 4 trường hợp xẩy ra • Cung tăng – cầu tăng
• Cung giảm – Cầu giảm
• Cung tăng – Cầu giảm
• Cung giảm – Cầu tăng 12
B. PHÂN TÍCH CUNG, CẦU, GIÁ CẢ CỦA TRÀ SỮA TẠI VIỆT NAM GIAI ĐOẠN 2020 – 2023
1. TỔNG QUAN THỊ TRƯỜNG TRÀ SỮA TẠI VIỆT NAM
“Trà Sữa” các tên quen thuộc ở khắp Đông Nam Á nói riêng và thế giới nói
chung, mang về cho ngành thực phẩm doanh thu khủng khoảng 3,7 tỷ đô la Mỹ. Riêng
doanh thu ngành trà sữa tại Việt Nam lên tới 362 triệu đô la Mỹ (tương đương khoảng
8.400 tỷ đồng), chỉ đứng sau Indonesia và Thái Lan. Có thể nhận thấy rằng sức hút của
trà sữa chưa bao giờ hạ nhiệt. Trà sữa là thức uống được yêu thích thứ 2 tại Việt Nam, là
món đồ uống giải khát khoái khẩu của rất nhiều bạn trẻ, học sinh, sinh viên và đặc biệt là
nhân viên văn phòng độ tuổi từ 18 - 39.
Trà sữa được du nhập vào Việt Nam từ năm 2002 với thành phần chính ban đầu
chỉ là trà, sữa và trân châu đen nhưng thật sự phát triển mạnh từ năm 2012 khi các
thương hiệu trà sữa đổ bộ vào với mô hình dạng chuỗi, đồ uống có nhiều loại topping
kèm theo, không gian được thiết kế riêng biệt, mỗi một thương hiệu một phong cách khác nhau.
Trong những năm gần đây, chúng ta có thể nhìn thấy thị trường trà sữa Việt Nam
đang bước vào thời kỳ hoàng kim. Nhiều doanh nghiệp nhận thấy việc kinh doanh này là
mỏ vàng cần được khai thác. Có hơn 100 thương hiệu lớn nhỏ và xấp xỉ 1500 điểm bán,
có thể thấy được thị trường kinh doanh trà sữa ở Việt nam đang phát triển vượt
bậc.Chúng ta dễ dàng có thể kể được những cái tên đình đám nổi tiếng như Gong cha,
KOI, Ding Tea, The Coffee House,Tocotoco,..
2. PHÂN TÍCH NGUỒN CUNG TRÀ SỮA TẠI VIỆT NAM GIAI ĐOẠN 2020 – 2023
"Báo cáo từ Euromonitor cho thấy, thị trường trà sữa Việt Nam có giá trị 282 triệu
USD vào năm 2016, tốc độ tăng trưởng hàng năm là 20%. Tổng chi phi đầu tư ban đầu cho một
quán trà sữa vào khoảng một tý đồng, nếu có thể tận dụng luồng khách hàng đông đảo như hiện
nay thì thời gian thu hồi vốn chỉ vào khoảng 1 năm hoặc ngắn hơn. Đó là lí do khiến những
người kinh doanh tham gia vào thị trường này ngày một nhiều. Một số thương hiệu nước ngoài
cũng "ồ ạt" nhượng quyền với giá khá cao." Trích Newzing.vn.
Chi phí để làm ra một cốc trà sữa là yếu tố then chốt quyết định lượng cung sản phẩm
này. Tổng chi phí để làm ra một ly trà sữa rẻ hơn rất nhiều so với các loại thức uống khác như
cả phê hay sinh tố ), nước ép, từ đó dẫn đến kinh doanh trà sữa là loại hình siêu lợi nhuận. Thêm
vào đó, việc đầu tư vào kinh doanh trà sữa thời điểm này được đánh giá an toàn hơn, tỷ lệ thất
bại cũng thấp hơn đầu tư vào các nhóm ngành ăn uống khác. (Theo một thống kê tháng 2/2018,
cứ một tháng có tới 8 cửa hàng trà sữa được mở tại các tuyến phố lớn). 13
Chính vì vậy thời gian gần đây tại Việt Nam có sự xuất hiện trào lưu kinh doanh trà
sữa, giống với trào lưu mở quán cà phê hay hàng ăn vặt 10 năm trước, tuy nhiên hình thức kinh
doanh này luôn tiềm ần nhiều rủi ro. Với tâm lý dễ ưa thích sự độc, mới, lạ nhưng dễ thay đổi
của người tiêu dùng, khi trào lưu món này tạm lắng sẽ có những món ăn mới nhanh chóng lên
ngôi, từ đó chủ quán cần chủ động cải tiến chất lượng phục vụ và cập nhật công nghệ mới như
giao hàng tận nơi, chuyển phát nhanh... nếu không muốn bị thay thế.
2.1Thị phần các thương hiệu
Nếu nói đến thị phần trà sữa tại Việt Nam hiện nay thì không thể không
nhắc đến những thương hiệu lớn có tính ảnh hưởng cũng như có mức doanh thu
cao ngất ngưởng như: Phúc Long, Koi,.... Bên cạnh đó còn có những thương
hiệu trà sữa nhượng quyền giá rẻ đem lại doanh thu cao như: Trà sữa Đô Đô, Toco Toco, Mixue,…
Đặc biệt, giai đoạn 2020 - 2021, trước ảnh hưởng của đại dịch COVID-
19, hầu hết các thương hiệu trà sữa đều giảm tốc mở cửa hàng mới, hoặc buộc
phải thu hẹp hệ thống cửa hàng trên cả nước.
Sau quá trình thanh lọc, thị trường trà sữa Việt Nam hiện nay do một số
thương hiệu phổ thông như Dingtea, ToCoToCo, Tiger Sugar và cao cấp gồm
Phúc Long, Gong Cha, KOI Thé chi phối.
Điển hình như thương hiệu ToCoToCo sau khi đã có mặt trên khắp 56
tỉnh thành với gần 500 cửa hàng, trong đó có gần 400 cửa hàng nhượng quyền
đã phát triển chậm lại.
Khoảng trống này ngay lập tức được lấp đầy bởi một thương hiệu mới là
Mixue. Tính đến tháng 3/2022, Mixue có 21.619 cửa hàng trên toàn thế giới.
Riêng Việt Nam đã có khoảng 600 cửa hàng Mixue, trải khắp 43 tỉnh thành.
2.2Các yếu tố ảnh hưởng đến nguồn cung trà sữa tại Việt Nam
2.2.1 Nguồn nguyên liệu: Việt Nam hiện nay chưa phải là nơi sản xuất trà và sữa lớn.
Chủ yếu, phụ thuộc vào nhập khẩu nguyên liệu từ nước ngoài sẽ ảnh hưởng đến chi
phí sản xuất và cung ứng của trà sữa.
2.2.2 Cạnh tranh: Thị trường trà sữa hiện tại rất sôi động với sự góp mặt của nhiều
ông lớn. Tạo nên một áp lực cạnh tranh vô cùng mạnh mẽ.
2.2.3 Điều kiện kinh tế: Điều kiện kinh tế của người tiêu dùng tăng thì xu hướng tiêu thụ cũng sẽ tăng
2.2.4 Chính sách của chính phủ: Chính phủ có thể thúc đẩy hoặc hạn chế sản xuất và
cung ứng trà sữa thông qua các quy định, chính sách. 14
Trà sữa thuộc danh mục thực phẩm, được nhà nước quy định chung trong
luật kinh doanh dịch vụ ăn uống (ngành F&B) bao gồm:
- Chính sách thuế: Việc chính phủ tăng hay giảm thuế từ các mặt hàng nhập khẩu hay thuế
doanh nghiệp cũng đều góp phần làm biến động giá cả của trà sữa, ảnh hưởng đến
cung và cầu của mặt hàng này.
- Quy định về an toàn thực phẩm: để bảo vệ người tiêu dùng, nhà nước đã có
những chính sách, chế tài để kiểm tra đảm bảo chất lượng sản phẩm. Điều này làm cho
các doanh nghiệp phải đầu tư máy móc kỹ thuật nhằm sản xuất và kiểm tra chất lượng
sản phẩm => làm tăng giá thành sản phẩm.
- Các chính sách về môi trường: buộc các doanh nghiệp phải có những hoạt
động sản xuất, kinh doanh mà không tổn hại đến môi trường => Làm tăng giá thành sản phẩm.
- Chính sách về tài chính: lãi suất vay vốn cũng ảnh hưởng đến giá thành của sản phẩm.
Chính sách của chính phủ có thể thúc đẩy hoặc hạn chế sản xuất và cung ứng trà
sữa thông qua chính sách thuế, giấy phép kinh doanh,... Những chính sách này có thể
ảnh hưởng đến khả năng sản xuất
và cung ứng của các doanh nghiệp.
2.2.5 Công nghệ sản xuất: Công nghệ sản xuất trà sữa cũng ảnh hưởng đến khả năng
sản xuất và cung ứng của sản phẩm. Các công nghệ sản xuất mới, tiên tiến, hiệu quả
hơn có thể giúp tăng năng suất, chất lượng sản xuất và cung ứng trà sữa. Minh chứng
cho điều này, các nhà sản xuất đã ứng dụng công nghệ cô đặc, bảo quản,.. nên đã xuất
hiện các loại trà sữa đóng chai, tự nấu với những thao tác vô cùng dễ dàng.
3. PHÂN TÍCH NHU CẦU TRÀ SỮA TẠI VIỆT NAM GIAI ĐOẠN 2020 – 2023
Nghiên cứu chung của Momentum Works và Qlub (Singapore) công bố giữa
tháng 8 cho thấy người tiêu dùng Đông Nam Á chi 3,66 tỉ USD/năm để mua trà sữa trân
châu. Trong đó, Việt Nam đứng thứ 3 với 362 triệu USD, tương đương gần 8.500 tỉ đồng
Theo báo cáo về Xu hướng giao hàng thực phẩm và hàng hóa tại Việt
Nam năm 2022 của Grab, thức uống được ưa chuộng nhất tại ứng dụng này là trà
sữa với hai năm liên tiếp giành ngôi vị cao nhất. Theo báo cáo, cứ mỗi một phút sẽ
có hơn 20 ly trà sữa được bán ra vào nửa đầu năm 2021. Đây có thể xem là một
con số không quá kinh ngạc khi trà sữa dường như đã trở thành một loại đồ uống hàng đầu hiện nay. 15
3.1 Nhu cầu trà sữa tại Việt Nam
Theo khảo sát của “ Báo thanh niên ” online ngẫu nhiên với 150 người để biết
thực trạng sử dụng đồ uống này.
Trong tổng số người tham gia khảo sát, số lượng giới tính nữ uống trà sữa áp
đảo hơn nhiều so với nam giới, chiếm tỷ lệ 68,7% so với 31,3%. Điều này cho thấy trà
sữa là loại đồ uống ưa chuộng của phái nữ.
Những người trẻ như học sinh, sinh viên có thói quen uống trà sữa gần như hàng
ngày, dù giá một cốc trà sữa khá cao so với thu nhập họ kiếm được. Theo kết quả khảo
sát, số người uống trà sữa là học sinh, sinh viên chiếm phần lớn (76%), người đi làm
chiếm ít hơn (24%). Trà sữa được cho là dễ uống, phù hợp với nhiều người đặc biệt là
người trẻ như học sinh, sinh viên.
Dựa theo khảo sát, mức độ thỉnh thoảng uống trà sữa chiếm đa số (58,7%); tiếp
theo là mức độ thường xuyên (24,7%); mức độ hiếm khi (12,7%); mức độ không bao
giờ và luôn luôn uống trà sữa chiếm rất ít (2%). Như vậy, hiện nay nhiều người có thói
quen thỉnh thoảng uống trà sữa trong cuộc sống .
Tùy vào khả năng tài chính, mỗi người lựa chọn từng loại trà sữa với nhiều mức
giá khác nhau để cân đối chi tiêu. Về số tiền mà các "tín đồ" trà sữa bỏ ra mỗi ngày
khoảng từ 20.000 đồng – 40.000 đồng chiếm phần lớn (65,3%%), từ 40.000 đồng –
80.000 đồng và dưới 20.000 đồng là (17,3%). Như vậy, mọi người thường dành một số
tiền vừa phải cho một ly trà sữa.
Về mức độ đến quán trà sữa hằng tháng, khoảng 1 – 3 lần chiếm phần lớn
(49,3%), kế đó là khoảng 3 – 6 lần (21,3%), và dưới 1 lần chiếm tỷ lệ (17,3%). Trên 6
lần rất ít (12%). Điều này cho thấy, mọi người cũng không dành quá nhiều thời gian
đến quán trà sữa trực tiếp
3.2 Các yếu tố ảnh hưởng đến nhu cầu trà sữa tại Việt Nam
Có rất nhiều yếu tố dễ dàng tác động đến quyết định tiêu dùng
của khách hàng, suy nghĩ, cảm nhận và các yếu tố từ môi trường bên
ngoài đều có thể ảnh hưởng đến quyết định mua sắm của người tiêu
dùng. Khi ngày càng có nhiều sự lựa chọn trên thị trường, các yếu tố
tác động đến mua sắm cũng có sự thay đổi.5
- Tăng trưởng dân số và độ tuổi tiêu dùng: Việc gia tăng dân số và sự phát triển
của các nhóm tuổi tiêu dùng như thanh niên và người trẻ tuổi tạo ra một tiềm năng lớn
cho thị trường trà sữa. Nhóm độ tuổi này thường có sự quan tâm đặc biệt đến các sản
phẩm mới lạ và thú vị như trà sữa. 16
- Thay đổi thói quen tiêu dùng: Trà sữa đã trở thành một phần không thể thiếu
trong cuộc sống hàng ngày của nhiều người tiêu dùng. Sự thay đổi trong thói quen tiêu
dùng, khi người dân chọn lựa các loại nước uống khác nhau, đặc biệt là trà sữa có thể tạo
ra một cầu cao hơn trong giai đoạn 2020-2023.
- Tầm nhìn và xu hướng văn hóa tiêu dùng: Với sự phát triển của công nghệ
thông tin và mạng xã hội, xu hướng văn hóa tiêu dùng có thể nhanh chóng lan tỏa và tác
động đến cầu trà sữa. Nếu trà sữa trở thành một phần của lối sống hiện đại và được coi là
"in" hoặc "thời thượng", cầu của nó có thể tăng lên.
- Sự cạnh tranh giữa các thương hiệu: Thị trường trà sữa đang trở nên cạnh tranh
hơn với sự xuất hiện của nhiều thương hiệu mới. Điều này có thể dẫn đến việc người tiêu
dùng có nhiều lựa chọn hơn và yêu cầu từ các thương hiệu để duy trì hoặc tăng cung cấp
sản phẩm chất lượng và đa dạng.
- Hiệu quả chiến dịch quảng cáo và marketing: Cách thức quảng bá và quảng
cáo trà sữa có thể ảnh hưởng đáng kể đến cầu của nó. Sự phát triển của các chiến dịch
marketing sáng tạo và hiệu quả có thể thu hút sự quan tâm của khách hàng và tạo ra sự tăng trưởng trong cầu.
4. PHÂN TÍCH GIÁ CẢ TRÀ SỮA TẠI VIỆT NAM GIAI ĐOẠN 2020 – 2023
4.1 Tổng quan về giá trà sữa tại Việt Nam
Giá là một trong những yếu tố quan trọng đến cầu trà sữa. Khi độ tuổi sử dụng
tập trung chủ yếu ở sinh viên và nhân viên văn phòng thì giá cả lại càng là một vấn đề
quan tâm. Giá trà sữa tại Việt Nam thường dao động tùy thuộc vào nhiều yếu tố như địa
điểm, thương hiệu, kích thước cốc, và thành phần nguyên liệu.
Bắt đầu du nhập vào Việt Nam từ đầu những năm 2000, trải qua nhiều giai đoạn
phát triển lên xuống thì hiện nay, trải qua hơn 20 năm, giá cả của trà sữa giai đoạn những
năm 2020-2023 cơ bản đã đi vào ổn định. Mức giá của trà sữa dao động trung bình trong
khoảng 30.000 đồng – 70.000 đồng tùy kích cỡ, topping,… Tuy nhiên trong giai đoạn
này, thị trường đã xuất hiện thêm những thương hiệu trà sữa nhượng quyền giá rẻ khiến
cho mức giá trung bình có sự thay đổi. Khi mà những thương hiệu trà sữa mới liên tục
được mở ra, và đặc biệt nở rộ sau đại dịch Covid-19, điều này dẫn đến sự cạnh tranh về giá rất khốc liệt.
Mức giá trung bình phổ biến của một ly trà sữa từ 40.000 - 56.000 đồng ở nhiều
hãng như Ding Tea, Feeling Tea, Tocotoco, Bobapop… Ở dòng đắt tiền hơn có Phê la,
Gong Cha, Phúc Long, Koi Thé,... giá trung bình mỗi cốc từ 55.000 - 80.000 đồng (tuỳ
thuộc vào size và topping).Và với các thương hiệu nhượng quyền giá trung bình mỗi cốc
từ 15.000 – 30.000 đồng như Mixue, Trà sữa Đô Đô,…
Với sự phát triển mạnh của những ứng dụng giao đồ ăn, khi đó những mã giảm
giá liên tục được tung ra giúp cho giá cả của những cốc trà sữa, thậm chí là của những 17
thương hiệu lớn như Phúc Long, KOI Thé,… đã trở nên dễ tiếp cận với người dùng hơn
rất nhiều so với những năm 2016, 2017
Việt Nam nằm trong top 3 những nước tiêu thụ trà sữa nhiều nhất Đông Nam Á
(sau Indonesia và Thái Lan), điều này cũng có lợi rất nhiều dành cho người dùng, vì khi
đó, thị trường Việt Nam sẽ là thị trường rất tốt cho ngành hàng này, khi đó sẽ có rất nhiều
những thương hiệu gia nhập cuộc đua, tạo nên cuộc cạnh tranh về giá và giúp cho giá trà
sữa được đưa về mức rất ổn định và dễ tiếp cận với tất cả mọi đối tượng.
=> Nhìn chung, với mức lương trung bình của người Việt Nam trong giai đoạn
2020-2023 là 7 triệu đồng, mức giá của trà sữa tại Việt Nam được coi là ổn định, không
cao cũng không thấp và có sự tiếp cận cao, tất nhiên là tuỳ thuộc vào tần suất và nhu cầu
sử dụng trà sữa của từng người.
4.2 Các yếu tố tác động đến giá cả của trà sữa tại Việt Nam
Nguyên liệu: Giá cả nguyên liệu như trà, sữa, đường và các thành phần khác, có
thể tác động đáng kể đến giá trà sữa. Nếu giá các nguyên liệu này tăng, giá trà sữa cũng
có thể tăng theo và ngược lại
Chi phí sản xuất: Chi phí sản xuất bao gồm chi phí thuê mặt bằng, tiền công
nhân viên, chi phí điện nước, vận chuyển và quản lý. Nếu chi phí sản xuất tăng, doanh
nghiệp có thể phải tăng giá để đảm bảo lợi nhuận.
Cạnh tranh: Sự cạnh tranh trong ngành trà sữa có thể ảnh hưởng đến giá. Khi có
nhiều hơn công ty và cửa hàng cung cấp trà sữa, cạnh tranh cũng gia tăng, và giá trà sữa
có thể được điều chỉnh để thu hút khách hàng.
Chiến lược giá cả của các doanh nghiệp: Các doanh nghiệp có thể áp dụng các
chiến lược giá cả khác nhau để cạnh tranh và thu hút khách hàng. Điều này có thể bao
gồm giảm giá hoặc tăng giá tùy thuộc vào mục tiêu kinh doanh của từng công ty.
Thay đổi trong sở thích và yêu cầu của người tiêu dùng: Nếu người tiêu dùng
yêu cầu chất lượng cao hơn hoặc yêu cầu các sản phẩm trà sữa phù hợp với nhu cầu dinh
dưỡng, điều này có thể ảnh hưởng đến giá trà sữa.
Chính sách của chính phủ: Các chính sách thuế, chính sách thương mại và quản
lý giá có thể ảnh hưởng đến giá trà sữa và các doanh nghiệp trong ngành. 18
BẢN ĐÁNH GIÁ THÀNH VIÊN NHÓM Họ tên Phân chia việc Điểm Phạm Phú An
Tổng quan thị trường trà sữa VN Đặng Tú Anh
Phân tích cung của trà sữa giai đoạn 2020-2023 Phạm T. Phương Anh
Phân tích cầu của trà sữa giai đoạn 2020- 2023 Trịnh Điền
Lời mở đầu + Cơ sở lý thuyết về giá cả Nguyễn Thành Duy
Cơ sở lý thuyết về cung, cầu Nguyễn Hữu Hưng
Phân tích giá cả của trà sữa giai đoạn 2020-2023 Hoàng Ngọc Huyền
Thuyết trình + Phản biện Hoàng Thanh Huyền Powerpoint Đinh Thế Huỳnh
Thuyết trình + Phản biện 19