



















Preview text:
TRƯỜNG ĐẠI HỌC THƯƠNG MẠI ----- - ---- BÀI THẢO LUẬN
ĐỀ TÀI: PHÂN TÍCH CUNG, CẦU VÀ GIÁ CẢ CỦA CÀ PHÊ
TẠI VIỆT NAM GIAI ĐOẠN 2018-2022
Nhóm thực hiện: Nhóm 6
Lớp học phần: 242_MIEC0111_05
Giáo viên hướng dẫn: Thầy Hoàng Anh Tuấn HÀ NỘI, 2025 Mục lục
LỜI MỞ ĐẦU.................................................................................................................... 4 1.
Giới thiệu đề tài:...................................................................................................4 2.
Mục tiêu:............................................................................................................... 5 3.
Tính cấp thiết của đề tài:.......................................................................................5 4.
Phương pháp:........................................................................................................ 6 5.
Câu hỏi đề tài nghiên cứu:....................................................................................7 6.
Đối tượng và phạm vi nghiên cứu:........................................................................7
II. CƠ SỞ LÝ LUẬN......................................................................................................... 8 1.
Phân tích một số định nghĩa, khái niệm cơ bản.....................................................8 2.
Một số lý thuyết của vấn đề nghiên cứu..............................................................10 2.1.
Lý thuyết về cầu...........................................................................................10 2.2.
Lý thuyết về cung.........................................................................................11 2.3.
Trạng thái cân bằng thị trường.....................................................................12 III.
Phân tích cung, cầu, giá cả của Cafe tại Việt Nam trong giai đoạn 2018-2022.....15
1. PHÂN TÍCH CUNG................................................................................................15
1.1. Số lượng............................................................................................................ 15
1.2. Các yếu tố tác động...........................................................................................18 2.
PHÂN TÍCH CẦU..............................................................................................23
2.1. Lượng cà phê tiêu thụ........................................................................................23
2.2 Các yếu tố tác động............................................................................................24
3. Phân tích giá cả thị trường Cà phê giai đoạn 2018-2022..........................................27
3.1. Xu hướng biến động giá (2018-2022)...............................................................27
3.2. Các yếu tố ảnh hưởng đến giá cả.......................................................................30
3.3. Tình trạng hiện nay (03/2025)...........................................................................36
4. Kết quả phân tích:...................................................................................................36
5. Kết luận và phát hiện................................................................................................36
III, GIẢI PHÁP VÀ KHUYẾN NGHỊ.............................................................................39 1.
Sản xuất, chế biến...............................................................................................39 2.
Phòng trừ sâu bệnh.............................................................................................40 3.
Xuất khẩu............................................................................................................ 43 4.
Tiêu thụ............................................................................................................... 44
5. Dịch bệnh................................................................................................................. 45
Nguồn tham khảo............................................................................................................. 47 LỜI MỞ ĐẦU
Trong những năm gần đây, thị trường cà phê Việt Nam đã chứng kiến những biến động rõ
rệt, không chỉ về sản lượng sản xuất mà còn về mức độ tiêu thụ, giá cả và nhu cầu của
người tiêu dùng. Cà phê, một trong những sản phẩm nông sản chủ lực của Việt Nam
không chỉ nổi bật ở thị trường nội địa mà còn ghi dấu ấn mạnh mẽ trên thị trường quốc tế.
Với vị trí là một trong những nước sản xuất và xuất khẩu cà phê lớn nhất thế giới, Việt
Nam đang đối diện với nhiều thách thức và cơ hội trong việc phát triển ngành cà phê, từ
cung ứng nguyên liệu cho đến việc đáp ứng nhu cầu ngày càng đa dạng của người tiêu
dùng trong và ngoài nước.
Giai đoạn từ năm 2018 đến 2022 là một quãng thời gian đáng chú ý đối với ngành cà phê
Việt Nam khi chứng kiến nhiều thay đổi về cả cung cầu và giá cả. Trong bối cảnh nền
kinh tế toàn cầu gặp nhiều khó khăn, cùng với sự thay đổi trong thói quen tiêu dùng và
nhu cầu của khách hàng, thị trường cà phê đã có những bước điều chỉnh đáng kể. Cung và
cầu không ngừng biến động, tác động đến giá cả và sự phát triển của ngành cà phê trong nước.
Lần này bọn em sẽ phân tích chi tiết những yếu tố tác động đến cung, cầu và giá cả của
thị trường cà phê tại Việt Nam trong giai đoạn từ 2018 đến 2022. Cùng với đó, bọn e sẽ
đánh giá những xu hướng mới trong tiêu dùng, những chính sách hỗ trợ ngành cà phê và
tác động của các yếu tố quốc tế đối với giá cà phê trong nước. Qua đó, cung cấp cái nhìn
tổng quan về tình hình thị trường cà phê, từ đó đề xuất các giải pháp giúp các doanh
nghiệp trong ngành có thể thích ứng và phát triển bền vững hơn trong tương lai.
1. Giới thiệu đề tài
Cà phê là một trong những sản phẩm nông sản quan trọng của Việt Nam, không chỉ góp
phần lớn vào nền kinh tế mà còn đóng vai trò quan trọng trong văn hóa tiêu dùng của
người dân. Với hơn 30 năm phát triển mạnh mẽ, Việt Nam hiện nay là quốc gia đứng thứ
hai trên thế giới về sản xuất và xuất khẩu cà phê, đặc biệt là cà phê Robusta. Tuy nhiên,
thị trường cà phê trong nước và quốc tế không phải lúc nào cũng ổn định. Giai đoạn từ
2018 đến 2022 đã chứng kiến nhiều biến động đáng chú ý trong ngành cà phê, từ những
thay đổi trong cơ cấu cung cầu, giá cả, đến những yếu tố tác động từ bên ngoài như biến
động của nền kinh tế thế giới, chính sách của các quốc gia xuất khẩu và tiêu thụ cà phê,
cũng như xu hướng tiêu dùng mới trong nước.
Đề tài này sẽ phân tích chi tiết tình hình cung, cầu và giá cả của thị trường cà phê tại Việt
Nam trong giai đoạn từ 2018 đến 2022, thông qua việc khảo sát các yếu tố tác động trực
tiếp đến ngành cà phê. Bên cạnh đó, nghiên cứu cũng sẽ làm rõ những khó khăn và cơ hội
mà ngành cà phê Việt Nam gặp phải trong bối cảnh toàn cầu hóa và sự thay đổi thói quen
tiêu dùng. Mục tiêu của nghiên cứu là không chỉ cung cấp cái nhìn toàn diện về sự phát
triển của thị trường cà phê trong nước mà còn đưa ra những phân tích, dự báo về tương lai
và các giải pháp thúc đẩy ngành cà phê Việt Nam phát triển bền vững.
Thông qua việc nghiên cứu cung và cầu, bài viết hy vọng sẽ làm rõ những yếu tố cơ bản
ảnh hưởng đến giá cả cà phê và đề xuất các chiến lược phù hợp để nâng cao giá trị cà phê
Việt Nam trong thị trường quốc tế. 2. Mục tiêu
Mục tiêu phân tích và đánh giá tác động của các yếu tố cung, cầu và giá cả đến thị trường
cà phê Việt Nam trong giai đoạn từ 2018-2022. Nghiên cứu sẽ tập trung vào việc phân
tích sự biến động của cung và cầu, làm rõ các yếu tố ảnh hưởng đến sản lượng sản xuất,
tiêu thụ và xuất khẩu cà phê. Nghiên cứu sẽ làm rõ các xu hướng tiêu thụ cà phê tại thị
trường nội địa và quốc tế, cũng như các yêu cầu ngày càng cao từ thị trường xuất khẩu đối
với sản phẩm cà phê Việt Nam. Cuối cùng, dựa trên những phân tích thực tế, nghiên cứu
sẽ đưa ra các dự báo về triển vọng của thị trường cà phê Việt Nam trong tương lai và đề
xuất các chiến lược giúp ngành cà phê phát triển bền vững.
3. Tính cấp thiết của đề tài a) Tình trạng chung:
Thị trường cà phê Việt Nam trong giai đoạn 2018-2022 chứng kiến nhiều biến động. Mặc
dù Việt Nam là quốc gia sản xuất cà phê lớn thứ hai thế giới, ngành cà phê gặp khó khăn
về sản lượng do ảnh hưởng của biến đổi khí hậu, thiếu lao động và việc chuyển đổi cây
trồng. Tiêu thụ cà phê trong nước tăng, đặc biệt là cà phê chế biến sẵn, nhu cầu cũng thay
đổi khi người tiêu dùng chú trọng vào sản phẩm chất lượng cao. Về giá cả, thị trường chịu
ảnh hưởng từ giá cà phê quốc tế, tuy nhiên giá cà phê trong nước không ổn định và chưa
phản ánh đúng giá trị sản phẩm. Ngành cà phê cũng phải đối mặt với thách thức trong
việc phát triển bền vững và nâng cao giá trị gia tăng sản phẩm, nhưng vẫn có cơ hội mở
rộng thị trường và cải thiện chất lượng để phát triển lâu dài.
b) Tình trạng của doanh nghiệp:
Tình trạng của các doanh nghiệp cà phê Việt Nam trong giai đoạn 2018-2022 phản ánh sự
phát triển không đồng đều và đối mặt với không ít thách thức. Một số doanh nghiệp lớn
có khả năng duy trì sự ổn định và phát triển nhờ vào việc đổi mới công nghệ, mở rộng thị
trường xuất khẩu và nâng cao chất lượng sản phẩm, thì nhiều doanh nghiệp vừa và nhỏ
gặp khó khăn trong việc duy trì sản xuất và cạnh tranh do nguồn lực hạn chế.
Các doanh nghiệp lớn, đặc biệt là các công ty chế biến cà phê xuất khẩu, đã tận dụng
được các xu hướng tiêu thụ cà phê chất lượng cao trên thế giới và tập trung vào việc cải
thiện chuỗi cung ứng, tiêu chuẩn chất lượng sản phẩm và xây dựng thương hiệu. Tuy
nhiên, nhiều doanh nghiệp vừa và nhỏ, đặc biệt là các cơ sở sản xuất cà phê thô, gặp khó
khăn trong việc duy trì sản lượng ổn định, nâng cao chất lượng sản phẩm và đối mặt với
chi phí đầu vào cao. Việc thiếu liên kết giữa các nông dân và doanh nghiệp chế biến cà
phê cũng là một yếu tố hạn chế khả năng phát triển bền vững của các doanh nghiệp trong
ngành. Sự thiếu hụt nguồn lao động, đặc biệt là trong công tác thu hoạch và chế biến cà
phê ảnh hưởng đến năng suất và chất lượng của sản phẩm. Ngành cà phê vẫn có cơ hội
phát triển nếu các doanh nghiệp có thể cải thiện công nghệ, đổi mới quản lý, và khai thác
thị trường tiêu thụ cà phê chất lượng cao trong và ngoài nước.
c) Tình trạng cấp thiết của doanh nghiệp:
Trước hết, sự thiếu hụt nguồn lao động trong quá trình thu hoạch và chế biến cà phê đang
là một vấn đề lớn, đặc biệt là khi những lao động trẻ không còn mặn mà với công việc
này. Điều này không chỉ ảnh hưởng đến năng suất mà còn làm giảm chất lượng sản phẩm
cà phê, nhất là trong bối cảnh nhu cầu tiêu thụ cà phê chất lượng cao ngày càng tăng.
Thứ hai, sự bất ổn về giá cả cũng đang tạo áp lực lớn lên các doanh nghiệp, đặc biệt là các
doanh nghiệp vừa và nhỏ. Giá cà phê biến động mạnh do tác động của thị trường quốc tế,
trong khi chi phí đầu vào lại tăng cao khiến các doanh nghiệp gặp khó khăn trong việc
duy trì lợi nhuận và không thể cạnh tranh hiệu quả.
Thứ ba, vấn đề chất lượng và chuỗi cung ứng chưa được cải thiện đồng đều. Nhiều doanh
nghiệp vẫn chủ yếu sản xuất cà phê thô, thiếu các chiến lược chế biến và xuất khẩu cà phê
chất lượng cao, làm giảm khả năng cạnh tranh trên thị trường quốc tế. Việc thiếu liên kết
chặt chẽ giữa nông dân và doanh nghiệp cũng làm giảm hiệu quả trong việc kiểm soát
chất lượng từ đầu ra đến sản phẩm cuối cùng.
Cuối cùng, yếu tố về đổi mới công nghệ là một yếu tố cấp thiết. Các doanh nghiệp nhỏ và
vừa vẫn chưa áp dụng công nghệ chế biến tiên tiến, trong khi các đối thủ quốc tế đã bắt
kịp xu hướng và nâng cao chất lượng sản phẩm. Nếu không cải thiện công nghệ chế biến
và nâng cao giá trị gia tăng của sản phẩm, các doanh nghiệp sẽ khó có thể tồn tại và phát triển trong dài hạn. 4. Phương pháp
Phương pháp thu thập dữ liệu thứ cấp, phương pháp phân tích định tính và định lượng,
phương pháp so sánh và dự báo. Đầu tiên, nghiên cứu sử dụng dữ liệu thứ cấp từ các báo
cáo thống kê, tài liệu nghiên cứu và các nguồn dữ liệu đáng tin cậy để cung cấp thông tin
về sản lượng, tiêu thụ, xuất khẩu và giá cả cà phê trong giai đoạn 2018-2022. Tiếp theo,
phương pháp phân tích định tính sẽ được sử dụng để đánh giá các yếu tố chính trị, xã hội
và kinh tế ảnh hưởng đến ngành cà phê, đặc biệt là các chính sách hỗ trợ của Chính phủ.
Đồng thời, phương pháp phân tích định lượng thông qua các mô hình hồi quy và phân tích
tương quan sẽ giúp xác định mối quan hệ giữa cung, cầu và giá cả cà phê. Bên cạnh đó,
phương pháp so sánh sẽ giúp đối chiếu thị trường cà phê Việt Nam với các quốc gia sản
xuất cà phê lớn khác, từ đó rút ra những bài học kinh nghiệm. Cuối cùng, nghiên cứu sử
dụng phương pháp dự báo để đưa ra các dự đoán về sự phát triển của thị trường cà phê
Việt Nam trong tương lai, giúp đưa ra các chiến lược phát triển phù hợp.
5. Câu hỏi đề tài nghiên cứu
Cung của thị trường cà phê Việt Nam trong giai đoạn 2018-2022 có sự biến động
như thế nào? Những yếu tố nào ảnh hưởng đến sản lượng và chất lượng cà phê trong giai đoạn này?
Nhu cầu tiêu thụ cà phê tại Việt Nam trong giai đoạn 2018-2022 có những thay đổi
gì? Những yếu tố nào tác động đến xu hướng tiêu dùng cà phê trong nước?
Giá cà phê tại Việt Nam trong giai đoạn 2018-2022 biến động như thế nào? Các
yếu tố vĩ mô và thị trường quốc tế đã tác động như thế nào đến giá cả cà phê trong nước?
Ngành cà phê Việt Nam có những thách thức và cơ hội gì trong việc duy trì và phát
triển thị trường xuất khẩu trong giai đoạn 2018-2022?
Chính sách của Chính phủ đối với ngành cà phê trong giai đoạn này có tác động
như thế nào đến việc cải thiện chất lượng và giá trị gia tăng của sản phẩm cà phê?
Tình hình sản xuất và tiêu thụ cà phê tại Việt Nam có mối liên hệ gì với những
thay đổi trong hành vi tiêu dùng và các xu hướng tiêu thụ cà phê quốc tế?
Những yếu tố nào quyết định sự cạnh tranh của các doanh nghiệp cà phê Việt Nam
trên thị trường quốc tế trong giai đoạn 2018-2022?
Tình trạng các doanh nghiệp cà phê Việt Nam trong giai đoạn 2018-2022 có gặp
phải những vấn đề gì? Các giải pháp nào cần thiết để phát triển bền vững và nâng cao giá trị sản phẩm?
6. Đối tượng và phạm vi nghiên cứu: a. Đối tượng:
Cung của thị trường cà phê: sản lượng sản xuất cà phê trong nước, các yếu tố ảnh hưởng
đến sản xuất như diện tích trồng, kỹ thuật canh tác, và điều kiện khí hậu.
Cầu của thị trường cà phê: Tập trung vào nhu cầu tiêu thụ cà phê trong nước và quốc tế,
các xu hướng tiêu dùng, thói quen uống cà phê của người dân, và các yêu cầu từ thị trường xuất khẩu.
Giá cả cà phê: Phân tích sự biến động của giá cà phê trên thị trường trong nước và ảnh
hưởng của các yếu tố như biến động giá cà phê quốc tế, chính sách của Chính phủ, và các
yếu tố khác tác động đến giá cả. b. Phạm vi nghiên cứu:
Không gian: Thị trường cà phê Việt Nam, bao gồm các vùng sản xuất cà phê chính như
Tây Nguyên và một số tỉnh khác có diện tích trồng cà phê lớn.
Thời gian: Phân tích thị trường cà phê trong giai đoạn từ năm 2018-2022, khảo sát sự biến
động của cung, cầu và giá cả trong khoảng thời gian này, các yếu tố tác động đến thị
trường trong từng giai đoạn.
Nội dung: Tập trung vào phân tích các yếu tố tác động đến cung và cầu, sự biến động giá
cả cà phê, tình hình sản xuất và xuất khẩu cà phê, và những ảnh hưởng của các yếu tố vĩ
mô đối với thị trường cà phê Việt Nam. II. CƠ SỞ LÝ LUẬN
1. Phân tích một số định nghĩa, khái niệm cơ bản. a, Khái niệm về cà phê
Cà phê (gốc từ “café” trong tiếng Pháp) là một loại thức uống màu đen có chứa chất
caffein được sử dụng rộng rãi và được sản xuất từ những hạt cà phê được rang lên từ cây
cà phê, thường có nguồn gốc từ các quốc gia vùng nhiệt đới, đặc biệt là Đông Phi. Sau khi
thu hoạch, hạt cà phê được chế biến, rang và xay thành bột. Bột cà phê sau đó được pha
với nước nóng để tạo ra thức uống có mùi thơm đặc trưng và vị đắng nhẹ.
Cà phê chứa caffeine, một chất kích thích có tác dụng làm tăng sự tỉnh táo, giảm mệt mỏi
và cải thiện sự tập trung. Vì thế, cà phê trở thành thức uống rất phổ biến trên toàn thế giới,
đặc biệt trong các buổi sáng hoặc khi cần tăng cường năng lượng.
Cà phê là một trong những sản phẩm nông sản quan trọng của Việt Nam, và là một phần
không thể thiếu trong nền văn hóa ẩm thực của quốc gia. Cà phê ở Việt Nam chủ yếu
được trồng ở các khu vực Tây Nguyên, nơi có điều kiện khí hậu và thổ nhưỡng phù hợp
cho sự phát triển của cây cà phê, đặc biệt là cà phê Robusta.
b, Vai trò của cà phê trong ngành nông nghiệp Việt Nam
Việt Nam có lịch sử phát triển cà-phê khoảng 160 năm. Với sự nỗ lực của người sản
xuất, doanh nghiệp, nhà khoa học và các cơ quan quản lý, ngành cà-phê Việt Nam đã có
bước phát triển mạnh mẽ, trở thành quốc gia sản xuất, xuất khẩu cà-phê đứng thứ 2 thế giới.
- Ngành cà phê đóng góp lớn vào GDP quốc gia với lượng xuất khẩu đứng thứ
hai thế giới, chỉ sau Brazil. Trong nhiều thập kỷ qua, sản phẩm cà phê của Việt Nam
được xuất khẩu đi trên 80 quốc gia và vùng lãnh thổ, tạo nguồn thu ngoại tệ đáng kể,
góp phần phát triển kinh tế nông thôn và cải thiện đời sống cho bà con nông dân.
- Ngành cà phê góp phần chuyển dịch cơ cấu cây trồng trong ngành nông nghiệp
nước ta. Nếu như trước kia Việt Nam là một đất nước được biết đến với sản phẩm là
lúa gạo thì ngày nay Việt Nam còn được biết đến với một mặt hàng nữa đó chính là
cà phê. Điều này không chỉ giúp cho người dân đa dạng được cơ cấu cây trồng trong
ngành nông nghiệp mà còn đa dạng hoá được các mặt hàng trong việc xuất khẩu nông sản của Việt Nam.
- Đa dạng hoá các dịch vụ kinh doanh trong ngành nông nghiệp: hoạt động sản
xuất cà phê gắn liền với hoạt động chế biến cà phê. Vì thế kéo theo một loạt các dịch
vụ của sản xuất nông nghiệp phát triển như: dịch vụ nghiên cứu giống cây trồng,
dịch vụ cung cấp thuốc trừ sâu, phân bón, dịch vụ cung cấp máy móc thiết bị cho
phơi sấy chế biến cà phê, dịch vụ bao gói, dịch vụ tư vấn xuất khẩu…
- Phân bổ lại nguồn lao động trong nền nông nghiệp. Nền nông nghiệp nước ta
trước kia chủ yếu là lao động phục vụ cho ngành trồng lúa nước. Đây là lao động
mang tính chất thời vụ vì thế có một lượng lao động dư thừa khá lớn trong thời kỳ
nông nhàn. Ngành cà phê phát triển kéo theo một lượng lao động khá lớn phục vụ
cho nó. Với quy mô diện tích cà phê ngày càng mở rộng thì càng cần một đội ngũ
lao động lớn. Điều này tạo cho người dân các vùng miền núi cũng như các vùng
đồng bằng chuyên canh lúa có việc làm thường xuyên, tạo thêm thu nhập cho họ,
hạn chế được các tệ nạn xã hội.
- Hạn chế được các vùng đất bị bỏ hoang: Vì đặc điểm của cây cà phê là thích hợp
với những cao nguyên, đồi núi cao nơi đây chưa được khai thác triệt để… Vì vậy đã
hạn chế được các vùng đất bỏ hoang, phủ xanh đất trống đồi trọc.
- Ngành cà phê góp phần làm chuyển dịch cơ cấu kinh tế: ngành cà phê gắn với cả
một quá trình khép kín từ sản xuất đến tiêu dùng. Điều này kéo theo theo một loạt
các ngành kinh tế phát triển như ngành xây dựng các cơ sở để nghiên cứu giống,
ngành thuỷ lợi, ngành giao thông, ngành chế tạo máy móc,… Vì thế đẩy mạnh quá
trình chuyển dịch cơ cấu kinh tế ở các vùng nơi có cây cà phê phát triển. Điều này
góp phần đẩy nhanh tiến trình công nghiệp hoá hiện đại hoá trong nông nghiệp nông thôn.
- Ngành cà phê đã góp phần rất lớn vào nguồn thu ngân sách nhà nước. Hàng năm
ngành cà phê đem về cho đất nước từ 1- 1,2 tỷ USD/ năm chiếm 10% kim ngạch xuất khẩu cả nước.
- Góp phần giải quyết công ăn việc làm cải thiện đời sống nhân dân.
c, Tổng quan của thị trường cafe Việt Nam
Hiện nay, thị trường cà phê đang là một trong những thị trường có sức tăng trưởng
mạnh mẽ trên toàn cầu. Việc tiêu thụ cà phê ngày càng tăng cao nhờ vào sự phổ biến của
văn hóa cà phê và sự phát triển của các quán cà phê, chuỗi cửa hàng cà phê.
Đại diện Vụ Hợp tác quốc tế, Bộ Nông nghiệp và Phát triển nông thôn thông tin, cà
phê là một trong những mặt hàng nông sản xuất khẩu chủ lực của Việt Nam, có kim
ngạch xuất khẩu hơn 1 tỷ USD. Đây là ngành hàng đóng góp đáng kể, tạo công ăn việc
làm và tăng thu nhập của các hộ nông dân. Mặc
dù Việt Nam là một trong những quốc gia sản xuất cà phê lớn nhất thế giới,
song ngành công nghiệp này vẫn còn gặp phải nhiều khó khăn trong việc nâng cao giá trị
sản phẩm và đưa cà phê Việt Nam trở thành thương hiệu có uy tín trên thị trường quốc tế.
Một trong những vấn đề chính của ngành cà phê Việt Nam hiện nay là sự cạnh tranh giá
cả trên thị trường, đặc biệt là trong bối cảnh giá cà phê thế giới đang giảm sâu.Tiếp đến là
thay đổi khí hậu và biến đổi khí hậu đang ảnh hưởng đến năng suất và chất lượng của cà
phê. Điều này đang khiến cho các nông dân trồng cà phê gặp khó khăn trong việc bán sản
phẩm và ảnh hưởng đến thu nhập của họ.
Tuy nhiên, trên thị trường cà phê nội địa, sản phẩm cà phê Việt Nam vẫn đang được
ưa chuộng và tiêu thụ rộng rãi. Thậm chí, cà phê Việt Nam còn được đánh giá cao về chất
lượng và hương vị đặc trưng của mình, là điểm thu hút nhiều du khách quốc tế. Ngoài ra,
ngành cà phê Việt Nam cũng đang phát triển thêm các sản phẩm chế biến từ cà phê như
cà phê rang xay, cà phê pha máy, cà phê hòa tan… đáp ứng nhu cầu của người tiêu dùng trên thị trường.
Tựu chung, tình hình thị trường cà phê Việt Nam hiện nay đang gặp nhiều thách
thức, song đồng thời cũng có những cơ hội để ngành cà phê Việt Nam phát triển và đưa
sản phẩm của mình ra thị trường quốc tế. Để thúc đẩy sự phát triển của ngành cà phê Việt
Nam, cần có sự hợp tác giữa các đơn vị sản xuất, cơ quan chức năng, các tổ chức nghiên
cứu và tiêu thụ để đưa ra các giải pháp phù hợp và xây dựng thương hiệu cà phê Việt
Nam có uy tín trên thị trường quốc tế.
2. Một số lý thuyết của vấn đề nghiên cứu
2.1. Lý thuyết về cầu a, Khái niệm cầu
- Cầu (D): là số lượng hàng hóa hay dịch vụ mà người mua mong muốn và có khả năng
mua tại các mức giá khác nhau trong một giai đoạn nhất định và giả định rằng các yếu tố khác là không đổi.
- Lượng cầu (QD): là số lượng hàng hóa hoặc dịch vụ cụ thể mà người mua mong muốn
và có khả năng mua tại một mức giá xác định trong một giai đoạn nhất định, giả định rằng
tất cả các yếu tố khác là không đổi. - Cầu là tập hợp các lượng cầu ở các mức giá khác nhau. b, Luật cầu
- Nội dung quy luật: Giả định tất cả các yếu tố khác là không đổi, nếu giá của hàng hóa
hay dịch vụ tăng lên sẽ làm cho lượng cầu về hàng hóa hay dịch vụ đó giảm đi và ngược lại.
- Giữa giá và lượng cầu có mối quan hệ nghịch đảo.
c, Phương trình và đồ thị đường cầu
- Phương trình đường cầu
Hàm cầu dạng tuyến tính:
QD = a - bP ( Hàm cầu thuận )
Hoặc: P = m - nQD ( hàm cầu nghịch ) (n, b>= 0) - Đồ thị đường cầu:
- Độ dốc đường cầu= tg β = - tg α = P’(Q) = 1/Q’(P)
- Đường cầu là đường dốc xuống về
phía phải và có độ dốc âm thể hiện
mối quan hệ tỷ lệ nghịch giữa giá và lượng cầu.
d, Các yếu tố tác động đến cầu
- Số lượng người mua
Thị trường càng nhiều người tiêu dùng thì cầu sẽ càng tăng và ngược lại.
- Thu nhập của người tiêu dùng
+ Đối với hàng hóa thông thường, thu nhập tăng sẽ làm cầu tăng
+ Đối với hàng hóa thứ cấp, thu nhập tăng sẽ làm cầu giảm.
- Giá hàng hóa có liên quan trong tiêu dùng
+ Y là hàng hóa thay thế cho X thì PY tăng sẽ làm cầu về X tăng
+ Y là hàng hóa bổ sung cho X thì PY tăng sẽ làm cầu về X giảm.
- Thị hiếu, sở thích của người tiêu dùng: Thị hiếu, sở thích của người tiêu dùng có tác
động thuận chiều đến cầu
- Kỳ vọng của người tiêu dùng
+ Kỳ vọng về thu nhập tương lai tăng sẽ làm cho cầu hiện tại tăng
+ Kỳ vọng về giá PX tương lai tăng sẽ làm cầu hiện tại tăng
- Chính sách của chính phủ
+ Thuế có tác động nghịch đến cầu
+Trợ cấp có tác động thuận đến cầu
- Các yếu tố khác: thời tiết, dịch bệnh, quảng cáo,…
2.2. Lý thuyết về cung a, Khái niệm cung
- Cung (S): Là số lượng hàng hóa hoặc dịch vụ mà người bán muốn bán và có khả năng
bán tại các mức giá khác nhau trong cùng một khoảng thời gian nhất định, các nhân tố không đổi.
- Lượng cung (QS): Là lượng hàng hóa hoặc dịch vụ cụ thể mà người bán muốn bán và có
khả năng bán tại mức giá đã cho (một mức giá) trong một khoảng thời gian nhất định.
- Cung được thể hiện thông qua tập hợp các lượng cung ở các mức giá khác nhau. b, Luật cung
- Nội dung quy luật: Giả định các yếu tố khác không đổi, số lượng hàng hóa được cung
trong khoảng thời gian đã cho tăng lên khi giá của nó tăng lên và ngược lại.
- Giá và Lượng cung có mối quan hệ thuận chiều.
c, Phương trình và đồ thị đường cung
- Phương trình đường cung
Hàm cung dạng hàm tuyến tính: QS = a +bP (Hàm cung thuận)
Hoặc: P= m + nQS (Hàm cung nghịch) (b,n>=0) - Đồ thị đường cung:
- Độ dốc đường cung= tg α = P’(Q) = 1/Q’(P)
- Đường cung là đường dốc lên phía phải và có
độ dốc dương thể hiện sự thuận chiều giữa giá và lượng cung.
d, Các yếu tố tác động đến cung
- Số lượng người bán: Thị trường càng nhiều người bán cung sẽ càng tăng và ngược lại.
- Tiến bộ về công nghệ: Khi có tiến bộ công nghệ thì cung sẽ tăng.
- Giá của yếu tố đầu vào: Giá của yếu tố đầu vào tác động ngược chiều đến cung.
- Chính sách của chính phủ
+ Thuế có tác động nghịch đến cung
+Trợ cấp có tác động thuận đến cung
- Giá của hàng hóa có liên quan trong sản xuất
+ Giá của hàng hóa bổ sung trong sản xuất tăng làm cho cung tăng và ngược lại
+ Giá của hàng hóa thay thế trong sản xuất tăng làm cho cung giảm và ngược lạ
- Kỳ vọng về giá cả: Kỳ vọng về giá cả hàng hóa đang xét tăng làm cho cung giảm và ngược lại.
- Các yếu tố khác: thời tiết, dịch bệnh,…
2.3. Trạng thái cân bằng thị trường
a, Trạng thái cân bằng thị trường
Giá cả và số lượng hàng hóa được mua bán trên thị trường được hình thành qua sự tác
động qua lại giữa cung và cầu. Trên hình 5, đường cầu và đường cung cắt nhau tại điểm E.
Điểm E được gọi là điểm cân bằng của thị trường; tương ứng với điểm cân bằng E, ta
có giá cả cân bằng Pe và số lượng cân bằng Qe. Giá cân bằng là mức giá mà tại đó số cầu bằng số cung.
Thị trường có xu hướng tồn tại ở điểm cân bằng E. Nếu do một lý do nào đó, giá cả
trên thị trường P2 cao hơn giá cân bằng Pe, số lượng hàng hóa cung ra trên thị trường sẽ
lớn hơn số cầu đối với hàng hóa đó. Khi đó, trên thị trường xuất hiện tình trạng dư cung
hay thừa hàng hóa (cung lớn hơn cầu). Vì thế, để bán được hàng các nhà cung ứng sẽ có
xu hướng giảm giá. Giá cả giảm làm cho lượng cung cũng giảm theo và lượng cầu tăng
lên. Kết quả là giá cả hàng hóa sẽ giảm dần đến giá cân bằng Pe và số lượng bán ra trên
thị trường sẽ dịch chuyển về QE.
Ngược lại, nếu như giá cả P, thấp hơn giá cân bằng Pê thì sẽ xảy ra hiện tượng cầu lớn
hơn cung hay thiếu hàng hóa. Do thiếu hàng nên áp lực của cầu sẽ làm cho giá cả tăng lên
bởi vì người tiêu dùng có thể sẵn sàng trả giá cao hơn để mua hàng hóa. Khi giá cả tăng
lên thì số cầu sẽ giảm dần và số cung tăng lên.
Như thế, giá cả sẽ tăng dần đến giá cân bằng Pe và số hàng hóa được bán ra trên thị
trường sẽ dịch chuyển về QE.
b, Sự vận động của giá cả cân bằng và số lượng cân bằng
Trên nguyên tắc, giá cả và cả số lượng cân bằng thay đổi là do sự dịch chuyển của ít
nhất đường cung hay đường cầu.
Giả sử nghiên cứu tác động của thu nhập của người tiêu dùng, một trong những nguyên
nhân gây ra sự dịch chuyển của đường cầu, đến sự thay đổi của giá cả thị trường. Khi thu
nhập của người tiêu dùng tăng lên, cầu đối với quần áo cao cấp sẽ tăng lên làm đường cầu
dịch chuyển qua phải. Hình 2.7 cho thấy sự dịch chuyển của đường cầu làm cho điểm cân
bằng di chuyển từ điểm E đến điểm Ế' (hình 6). Tại điểm cân bằng mới, giá quần áo cao
hơn so với ban đầu và số lượng cân bằng cũng cao hơn.
Sự dịch chuyển của đường cung cũng sẽ làm thay đổi tình trạng cân bằng trên thị
trường. Ví dụ, khi công nghệ dệt vải được cải tiền, các doanh nghiệp sẽ cung nhiều hơn
(trong khi các yếu tố khác
không đổi) làm đường cung
dịch chuyển sang phải . Điểm
cân bằng E di chuyển đến
điểm E' .Khi đó, giá cân bằng
sẽ giảm và số lượng cân bằng tăng lên.
Thông qua sự dịch chuyển của
đường cung và đường cầu
chúng ta cũng có thể giải thích tại sao khi trúng mùa giá lúa lại thường có xu hướng giảm
(các yêu tố khác giữ nguyên) và, ngược lại, khi mất mùa giá lúa có xu hướng tăng.
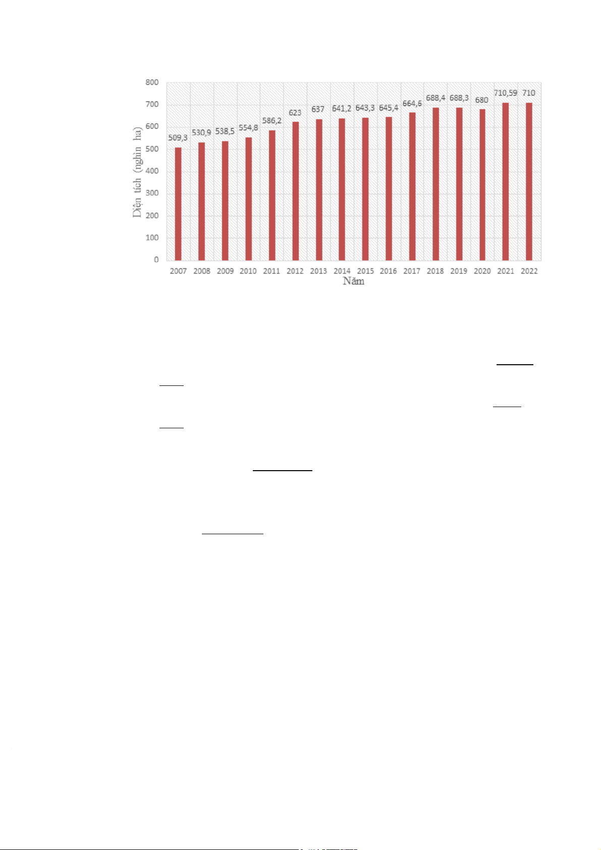
III. Phân tích cung, cầu, giá cả của Cafe tại Việt Nam trong giai đoạn 2018-2022 1. PHÂN TÍCH CUNG 1.1. Số lượng
a) Diện tích gieo trồng cà phê ở Việt Nam
Theo số liệu của Bộ Nông nghiệp và Phát triển Nông thôn, diện tích cà phê của
Việt Nam năm 2020 là 680.000 ha, giảm khoảng 2% so với năm 2019. Bước sang
năm 2021, Bộ Nông nghiệp và Phát triển Nông thôn cho rằng diện tích sẽ còn giảm xuống khoảng 675.000 ha.
Năm 2022, diện tích cà phê của Việt Nam đạt khoảng 710 nghìn ha, trong đó Tây
Nguyên là vùng sản xuất cà phê chính của cả nước. Theo thống kê 5 tỉnh Tây
Nguyên gồm Đắk Lắk, Đắk Nông, Gia Lai, Kon Tum và Lâm Đồng chiếm 91,2%
về diện tích trồng cà phê của cả nước.
Cà phê Robusta (cà phê vối) – cà phê có thế mạnh của Việt Nam chiếm tỷ trọng
chính cả về diện tích với 93,06%, giữ vai trò chủ đạo trong kinh doanh, sản xuất và
chế biến và được trồng tập trung chủ yếu ở Đắk Lắk, Lâm Đồng, Đắk Nông và Gia
Lai. Cụ thể, diện tích cà phê vối ở Đắk Lắk là 204.000 ha, Lâm Đồng là 164.000
ha, Đắk Nông là 158.000 ha, Gia Lai là 91.000 ha, Kon Tum 17.000 ha, Bình
Phước 15.000 ha, Đồng Nai 13.000 ha, Bình Thuận 3.000 ha, các tỉnh khác 5.000 ha.
Cà phê Arabica hay còn gọi là cà phê Chè, chiếm 6,94% về diện tích, được trồng
chủ yếu ở Lâm Đồng và Sơn La, đây cũng là nơi tập trung các nhà máy sản xuất
chế biến theo phương pháp ướt. Diện tích cà phê Chè ở Lâm Đồng khoảng 19.000
ha, Sơn La là 14.000 ha, Điện Biên có 5.000 ha, Quảng Trị có 5.000 ha, Đắk Lắk
có 4.000 ha và các tỉnh khác có khoảng 4.000 ha. - b) Sản lượng cà phê
ICO ước tính sản lượng cà phê của Việt Nam giảm 1,3% xuống 30 triệu bao
do điều kiện thời tiết bất lợi ảnh hưởng đến sản lượng trong vụ mùa 2018 –
2019 (từ tháng 10/2018 đến tháng 9/2019).
Theo Hiệp hội Cà phê - Cacao Việt Nam, sản lượng cà phê niên vụ 2019- 2020 đạt 1,8 triệu tấn.
Ông Lương Văn Tự, Chủ tịch Hiệp hội Cà phê - Cacao Việt Nam, cho rằng
bước sang niên vụ 2020 - 2021, sản lượng cà phê sẽ còn giảm khoảng 15%
do ảnh hưởng bởi đợt mưa lũ hồi tháng 10 và hạn hán hồi tháng 5 và tháng 6.
Niên vụ 2021 – 2022, sản lượng cà phê đạt 1,8 triệu tấn, tăng so với niên vụ 2020-2021 0,18 triệu tấn.