







Preview text:
BÀI TẬP MÔN KINH TẾ VI MÔ NHÓM 1
PHÂN TÍCH KHÁI NIỆM, ĐẶC ĐIỂM CỦA NGOẠI ỨNG TIÊU CỰC VÀ
MINH HỌA QUA TRƯỜNG HỢP CÔNG TY VEDAN Thành viên nhóm 1: 1. Nguyễn Thị Ánh 2. Vy Thị Anh Thư 3. Lê Phương Linh 4. Lê Thị Thanh 5. Nguyễn Khánh Chi 6. Phạm Thị Hường 7. Lê Phương Thảo 8. Đinh Nhật Anh 9. Phạm Phúc Lâm Lời mở đầu:
Ngoại ứng là một trong các nguyên nhân quan trọng gây nên các khuyết tật
của thị trường. Khi có các ngoại ứng thì giá hàng hoá không nhất thiết phản ánh
đúng giá trị xã hội của nó. Do đó các hãng có thể sản xuất quá nhiều hoặc quá ít.
Vì thế kết cục tạo ra là phi hiệu quả. Để tìm hiểu sâu hơn về ngoại ứng nói chung
và ngoại ứng tiêu cực nói riêng, nhóm em xin trình bày đề tài: “Phân tích ngoại
ứng tiêu cực và minh họa qua trường hợp công ty Vedan”. Nội dung gồm 3 phần:
- Lý thuyết về ngoại ứng và ngoại ứng tiêu cực.
- Phân tích trường hợp công ty Vedan gây ô nhiễm sông Thị Vải.
- Giải pháp khắc phục ngoại ứng tiêu cực do công ty Vedan gây ra.
I. Lý thuyết về ngoại ứng và ngoại ứng tiêu cực 1. Ngoại ứng: a) Khái niệm:
Ngoại ứng là những lợi ích hay chi phí ảnh hưởng ra bên ngoài không được
phản ánh qua giá cả.
b) Đặc điểm:
Ngoại ứng xuất hiện khi sản xuất hay tiêu dùng của cá nhân (nhóm cá nhân)
này ảnh hưởng đến sản xuất hoặc tiêu dùng của cá nhân (nhóm cá nhân) khác và
không có sự đền bù hay thanh toán nào được thực hiện bởi cá nhân gây ảnh hưởng.
Kết quả này tồn tại ngoài giao dịch thị trường và có thể là một lợi ích bên ngoài
hay chi phí bên ngoài (ngoại phí). Trong các trường hợp này, ngoại ứng làm biến
đổi lợi ích ròng xã hội.
Các ngoại ứng ảnh hưởng của các hoạt động kinh tế dẫn đến các chênh lệch
giữa chi phí hay lợi ích của cá nhân và xã hội bởi vì ngoại ứng không phản ánh
trong thị trường giá hàng hóa, không nhất thiết phản ánh đúng giá trị xã hội của nó.
Do đó sự điều tiết của thị trường đã dẫn đến sản xuất quá nhiều hoặc sản xuất quá
ít so với nhu cầu của xã hội, gây ra chi phí ngoài trong khi giá thị trường không
phản ánh được tất cả các chi phí sản xuất ra nó thì diễn ra sự thất bại trên thị trường.
2. Ngoại ứng tiêu cực: a) Khái niệm:
Ngoại ứng tiêu cực là ngoại ứng khi hành động của bên này gây ra chi phí
cho bên kia. Ngoại ứng tiêu cực có tác động xấu đến đối tượng chịu tác động.
b) Đặc điểm:
Ngoại ứng tiêu cực gây hại cho đối tượng chịu tác động và người ngoài cuộc.
Ngoại ứng tiêu cực có thể do cả hoạt động sản xuất lẫn tiêu dùng gây ra. Ví
dụ, một nhà máy gây ô nhiễm là ngoại ứng tiêu cực do sản xuất còn một cá nhân
hút thuốc làm nguy hiểm đến sức khoẻ những người ngồi xung quanh là ngoại ứng tiêu cực do tiêu dùng.
Trong ngoại ứng tiêu cực, việc ai là người gây tác hại cho ai nhiều khi chỉ
mang tính tương đối. Ví dụ về một nhà máy xả chất thải ra ngoài môi trường, ngoại
ứng không chỉ có thể nhìn dưới góc độ nhà máy gây thiệt hại cho ngư dân, mà trái
lại cũng có thể phân tích dưới góc độ ngư trường của nông dân đã thu hẹp địa bàn
hoạt động của nhà máy.
Ngoại ứng tiêu cực là phi hiệu quả, nếu xét dưới quan điểm xã hội. Khi xuất
hiện ngoại ứng, chi phí biên hoặc lợi ích biên của tư nhân không nhất trí với chi
phí biên hoặc lợi ích biên xã hội. Do đó, mức sản xuất tối ưu thị trường cũng khác
với mức hiệu quả xã hội.
Ngoại ứng tiêu cực làm cho xu hướng sản xuất ở mức nhiều hơn mức tối ưu
xã hội gây thiệt hại cho xã hội.
II. Phân tích trường hợp công ty Vedan gây ô nhiễm sông Thị Vải
1. Giới thiệu về công ty Vedan:
Công ty Cổ phần Hữu hạn Vedan Việt Nam (Vedan Việt Nam) được thành
lập năm 1991 tại huyện Long Thành, tỉnh Đồng Nai, là một khu công nghiệp tổng
hợp chế biến thực phẩm và công nghệ sinh học hiện đại, gồm các công trình như:
nhà máy bột ngọt, nhà máy điện có trích hơi, nhà máy Xút-axit, nhà máy phân bón hữu cơ,...
Từ khi thành lập, công ty Vedan đã mở rộng đầu tư phát triển các chi nhánh
tại nhiều tỉnh thành trong nước như Hà Nội, Bình Phước, Bình Thuận, Hà Tĩnh,...
và là nhà sản xuất tiên tiến hàng đầu châu Á trong lĩnh vực công nghệ sinh học,
công nghệ lên men sản xuất ra các sản phẩm axit amin, chất điều vị thực phẩm,
tinh bột,... Sản phẩm của Vedan được tiêu thụ tại Việt Nam và xuất khẩu ra các
nước lớn như Trung Quốc, Nhật Bản, Đài Loan, các nước Đông Nam Á và các nước châu Âu.
2. Vụ việc gây ô nhiễm môi trường của công ty Vedan:
Do công ty nằm cạnh bờ sông Thị Vải nên đã xả thải ra môi trường sông,
được phát hiện vào tháng 9/2008.
Cụ thể, công ty Vedan đã xả nước thải vượt tiêu chuẩn cho phép từ 10 lần
trở lên trọng lượng nước thải tại 3 nhà máy: Nhà máy sản xuất tinh bột biến tính;
Nhà máy sản xuất bột ngọt và Nhà máy sản xuất Lysin.
Công ty không đăng ký cam kết bảo vệ môi trường, không lập báo cáo đánh
giá tác động môi trường; thải mùi hôi thối, khó chịu trực tiếp vào môi trường
không thông qua các thiết bị hạn chế ô nhiễm môi trường; quản lý vận chuyển và
xử lý chất thải độc hại không đúng quy định… Đặc biệt, công ty đã xả nước thải
vào nguồn nước không đúng vị trí quy định trong giấy phép; việc lắp đặt hệ thống
xả nước thải ra sông Thị Vải đã trốn không đóng tiền phí nước thải 91 tỉ đồng và
còn có dấu hiệu xóa hiện trường.
Chính những chất thải chưa qua xử lý được Vedan lén lút xả qua hệ thống
ngầm đã góp phần “giết chết” sông Thị Vải trong suốt 14 năm qua.
Như vậy, Vedan đã gây ngoại ứng tiêu cực cho các hộ nuôi trồng thủy sản
và đánh bắt thủy sản trên lưu vực sông Thị Vải tại 3 tỉnh Đồng Nai, Bà Rịa –
Vũng Tàu và TP Hồ Chí Minh. * Nguyên nhân:
Vedan tiết kiệm tiền đầu tư cho hệ thống xử lý chất thải.
Không vận hành hệ thống đúng quy chuẩn nhằm tiết kiệm chi phí: Theo tính
toán, với tổng lượng nước thải hàng ngày vào khoảng hơn 4.000m³ của Vedan, nếu
không xử lý một ngày, có thể bỏ túi hàng trăm triệu đồng.
Sự quản lý lỏng lẻo của cơ quan quản lý môi trường. * Tác động:
Theo kết quả điều tra và khảo sát của Cục Bảo vệ môi trường, Sở Tài
nguyên và Môi trường TP Hồ Chí Minh, việc làm của công ty Vedan đã làm cho
môi trường nước của nhiều dòng sông như Đồng Nai, sông Sài Gòn suy giảm trầm
trọng. Đặc biệt, ô nhiễm nhất là toàn bộ lưu vực sông Thị Vải, trong đó có một
đoạn sông dài trên 10km được gọi là “dòng sông chết”.
Tại đây, nước bị ô nhiễm hữu cơ trầm trọng, có màu nâu đen và bốc mùi hôi
thối cả ngày lẫn đêm, các loài sinh vật hầu như không còn khả năng sinh sống. * Hậu quả:
Việc nuôi trồng thủy sản của người dân dọc lưu vực sông Thị Vải đều thiệt
hại do nguồn nước ô nhiễm.
Các hộ dân làm nghề đánh bắt cá không thể tiếp tục nghề do nguồn thủy sản trên sông cạn kiệt.
Sức khỏe của người dân quanh khu vực bị ảnh hưởng.
3. Phân tích ngoại ứng tiêu cực hành vi xả thải của Vedan đối với các hộ dân
nuôi trồng và đánh bắt thủy sản trên lưu vực sông Thị Vải:
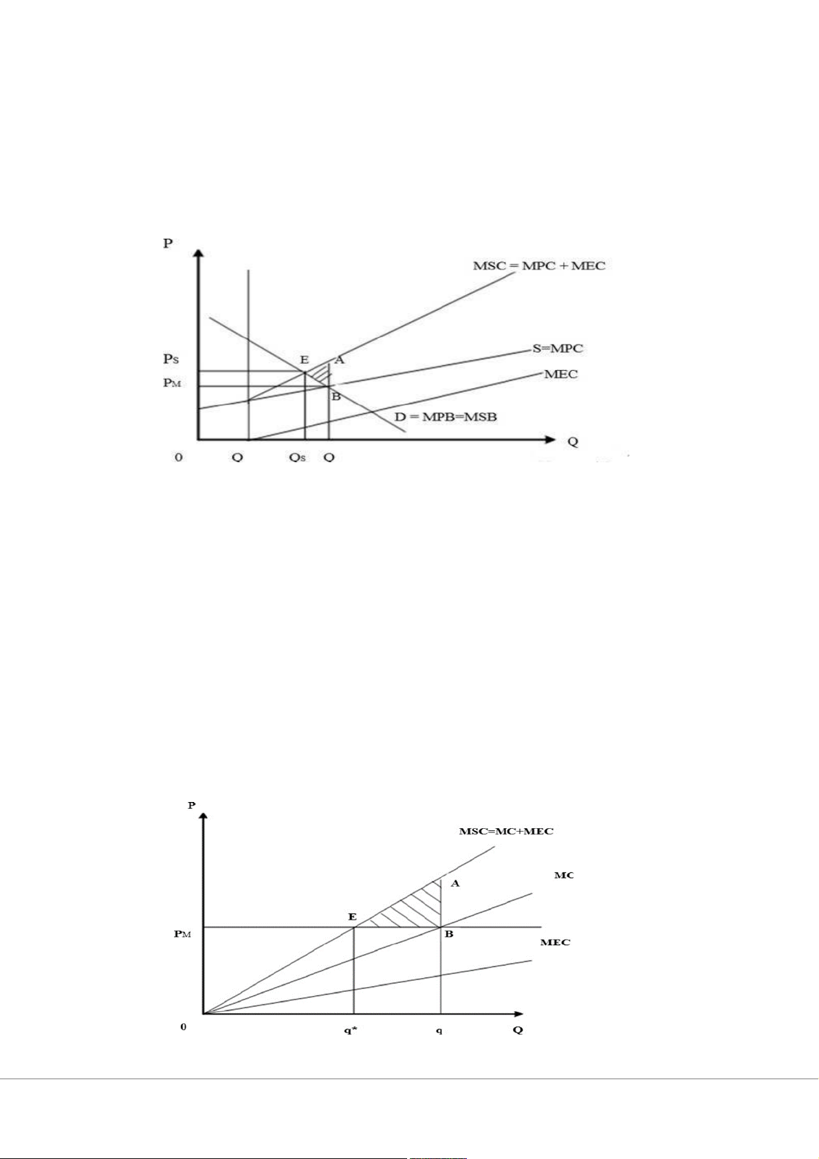
Ta có hình thể hiện cầu thị trường về sản phẩm của Vedan như sau: Hình 1
Giả sử rằng lợi ích ngoại ứng bằng 0; đường cầu D vừa phản ánh lợi ích cá
nhân cận biên của con người vừa phản ánh lợi ích xã hội cận biên
(D=MPB=MSB); đường cung S thể hiện chi phí cá nhân cận biên của việc sản xuất
ở các mức lượng khác nhau.
Trong quá trình sản xuất, Vedan đã sử dụng dòng sông làm nơi xả nước thải
mà không phải trả tiền. Việc xả thải đã gây ra những chi phí thiệt hại cho các loài
thủy sinh, ngư dân, nông dân,... Chi phí thiệt hại đó thể hiện bằng đường MEC,
đường chi phí ngoại ứng cận biên.
Sự phân bổ nguồn lực có hiệu quả đòi hỏi sự cân bằng giữa MSC và MSB,
điều kiện này thỏa mãn tại điểm E khi mức sản lượng Qs và giá sản phẩm tương ứng là Ps. Hình 2
Theo hình 2, công ty Vedan sẽ tối đa hóa lợi nhuận của mình bằng cách sản
xuất tại mức sản lượng q, tại đó MC=MR=PM. Nhưng vì hoạt động của công ty
cũng gây ra những chi phí ngoại ứng cận biên cho xã hội, thể hiện bằng đường
MEC nên chi phí xã hội cận biên do việc sản xuất của công ty là: MSC=MC+MEC
và mức sản xuất tối ưu của công ty theo quan điểm xã hội là tại q*, ở đó MSC=MR=PM.
Như vậy, công ty Vedan đã sản xuất quá nhiều sản phẩm, xả ra quá nhiều
chất thải và gây tổn thất kinh tế đối với xã hội bằng diện tích hình tam giác EAB.
Nó đã gây ra tính phi hiệu quả kinh tế. Nguồn gốc của tính phi hiệu quả này chính
là sự đánh giá sản phẩm không phản ánh hết mọi chi phí.
Và theo hình 2, ta thấy giá thị trường PM là quá thấp, nó chỉ phản ánh chi
phí cận biên cá nhân của những người sản xuất chứ không phản ánh chi phí cận biên xã hội.
* Ý nghĩa về khía cạnh môi trường:
Giả sử lượng chất thải xả xuống sông tăng tỉ lệ với sản phẩm được sản xuất
ra, mức sản lượng QM sẽ tạo ra mức độ ô nhiễm cao hơn mức độ ô nhiễm ở sản
lượng tối ưu xã hội QS. Điều này có nghĩa rằng thị trường cạnh tranh có xu hướng
làm suy giảm chất lượng môi trường.
Trong dài hạn, do không phải chịu trách nhiệm về ô nhiễm, người sản xuất
không có động cơ giảm sản lượng hoặc tìm kiếm các giải pháp làm giảm lượng
chất thải. Lợi nhuận cao do không phải trả cho chi phí thiệt hại do ô nhiễm gây ra
sẽ khuyến khích nhiều doanh nghiệp tiếp tục gia nhập ngành sản xuất, làm cho sản
lượng và lượng chất thải tiếp tục gia tăng và vấn đề môi trường ngày càng trở nên trầm trọng.
III. Giải pháp khắc phục ngoại ứng tiêu cực do công ty Vedan gây ra.
Cần có sự giám sát và quản lý chặt chẽ của các cơ quan quản lý như Bộ tài
nguyên môi trường, Cục bảo vệ môi trường.
Quyết định xử phạt hành chính đối với hành vi xả nước thải của công ty Vedan.
Đánh thuế đối với các ngoại ứng tiêu cực, khoản thuế này sẽ được chính phủ
dùng để đền bù cho người nông dân.
Áp dụng giấy phép xả thải.
Dùng dư luận xã hội, truyền thông để đăng tải thông tin, đưa ra chứng cứ và
lên án hành vi của công ty Vedan. Do đó, công ty đã buộc phải chấp nhận các
khung hình phạt và đền bù 100% thiệt hại cho người dân.
Trường hợp công ty Vedan đã cho mọi người thấy được những ảnh
hưởng thực tế từ các ngoại ứng tiêu cực. Đây là một trong các trường hợp
điển hình về việc xả thải ra môi trường gây tác hại nặng nề đối với đời sống
của người dân sống bên sông Thị Vải. Mong rằng các biện pháp cứng rắn từ
Nhà nước và Chính phủ sẽ ngày càng hạn chế tối đa các tác hại từ ngoại ứng
tiêu cực gây ra, đặc biệt là ngăn chặn việc xả thải từ phía các công ty ra môi trường.
BẢNG ĐÁNH GIÁ ĐIỀM HOÀN THÀNH CÔNG VIỆC CÁC THÀNH VIÊN ST Họ và tên Điểm T 1Nguyễn Thị Ánh 9/10 2Vy Thị Anh Thư 9/10 3Lê Phương Linh 9/10 4Lê Thị Thanh 9/10 5Nguyễn Khánh Chi 9/10 6Phạm Thị Hường 10/10 7Lê Phương Thảo 9/10 8Đinh Nhật Anh 8/10 9Phạm Phúc Lâm 8/10