


















Preview text:
ĐẠI HỌC THƯƠNG MẠI VIỆN ĐÀO TẠO QUỐC TẾ --- --- BÀI THẢO LUẬN KINH TẾ VĨ MÔ 1
Đề tài : Phân tích thực trạng lạm phát và một số biện
pháp hạn chế lạm phát ở Việt Nam. Nhóm : 3 Lớp : CN18-NTA.DB Mã HP : 23111MIEC0111
Giáo viên hướng dẫn : Ths. Nguyễn Thị Lệ Hà Nội, 2/2023
DANH SÁCH THÀNH VIÊN NHÓM 3 THọ và tên Mã SV Chức vụ phân công Nhó ST Nhiệm vụ được trong m 28 nhóm Nhóm trưởng Nội dung, làm powerpoint đán 10 h giá 1 Đinh Thùy Dung Dương 21K6600 21K6600 31 Thư kí Nội dung, thuyết trình 10 2 Phạm Đông Thùy 21K6600 24 Thành viên Giải pháp 9 3 Nguyễn Duy 25 Thành viên Tổng quan 9 4 Hoàng Minh Đức 21K6600 26 Thành viên Tổng quan 8 5 Vũ Minh Đức 21K6600 27 Thành viên Giải pháp 9 6 Lê Minh Đức Dương 21K6600 21K6600 29 Thành viên Tác động, thuyết trình 9.5 7 Nguyễn Lưu Ánh Dương 21K6600 30 Thành viên Tác động 9 8 Nguyễn Giang Thị Ánh 21K6600 32 Thành viên Nguyên nhân 10 9 Nguyễn Lam Giang 21K6600 33 Thành viên Nguyên nhân 10 10 Nguyễn Hương 11 Nguyễn Thị Hải 21K6600 Thành Tác động 10 2 Hà 34 viên MỤC LỤC I. Khái niệm: 1.1 Lạm phát là gì? 1.2 Các loại lạm phát
1.3 Tổng quan số liệu lạm phát ở Việt Nam trong 3 năm qua (2019-2021) II. Nguyên nhân:
2.1 Nguyên nhân của lạm phát ở Việt Nam
2.2. Đánh giá về diễn biến giá cả thị trường năm 2019-2020
2.3. Đánh giá về diễn biến giá cả thị trường năm 2021 III. Tác động lạm phát:
3.1. Ảnh hưởng tiêu cực của lạm phát
3.2. Ảnh hưởng tích cực của lạm phát
3.3. Số liệu nổi bật đối với sức ảnh hưởng của lạm phát của Việt Nam năm 2022
IV. Mối quan hệ giữ lạm pháp và tác nghiệp V. Giải pháp:
4.1. Đề xuất đối với Chính phủ
4.2. Đề xuất với các Bộ quản lý các ngành 3 LỜI MỞ ĐẦU
Lạm phát vốn dĩ là vấn đề nhạy cảm của các quốc gia. Là một trong số tiêu đề
đánh giá trình độ kinh tế phát triển của một quốc giá trình độ kinh tế phát triển
của một quốc gia song lạm pháp cũng chính là công cụ gây trở ngại trong công
việc xây dựng và đổi mới đất nước. Chính sách tiền tệ và chính sách tài chính
của nhà nước là nguyên nhân sâu xa dẫn đến tình trang lạm pháp và làm ảnh
hưởng đến toàn bộ nền kinh tế quốc dân, đến đời sống xã hội. Cùng với các
nước khác trên thế giới, Việt Nam cũng đang tìm kiếm giải pháp phù hợp với
nền kinh tế đất nước để kìm hãm lạm pháp giúp phát triển toàn diện nước nhà.
Thông qua các phương tiện truyền thông để tìm hiểu và đưa ra những giải pháp
hợp lý để giảm tỉ lệ lạm pháp với đề tài nhóm 3 “ Phân tích thực trạng lạm pháp
và nêu ra giải pháp hạn chế lam pháp ở Viêt Nam’’
Do kiến thức và thời gian còn hạn chế nên không thể tránh được sai sót. Chúng
em mong sẽ nhận được những ý kiến của cô. 4 I. Khái niệm: 1.1. Lạm phát là gì:
Lạm phát là sự gia tăng mức giá chung của hàng hóa và dịch vụ trong một nền
kinh tế. Khi mức giá chung tăng lên, mỗi đơn vị tiền tệ sẽ mua được ít hàng hóa
và dịch vụ hơn; do đó, lạm phát tương ứng với việc giảm sức mua của đồng tiền. 1.2. Lạm phát có 3 loại:
- Lạm phát vừa phải: Tỉ lệ lạm phát ở mức dưới 10% một năm. Lạm pháp này
không gây ra tác động đáng kể đối với nền kinh tế.
- Lạm phát phi mã: Xảy ra khi giá cả tăng tương đối nhanh với tỉ lệ 2-3 con số
một năm => Những biến dạng về nền kinh tế vô cùng quan trọng.
- Siêu Lạm phát: Xảy ra khi giá cả tăng lên đột biến với tốc độ cao, vượt xa lạm
phát phi mã và gây ra những thiệt hại nghiệm trong và vô cùng sâu sắc đối với những kinh tế.
1.3. Tổng quan về số liệu lạm phát ở Việt Nam trong 3 năm qua: 5 Giải thích: Tóm tắt biểu đồ :
Tỷ lệ lạm phát hàng năm ở Việt Nam đã tăng lên 4,89% vào tháng 1 năm 2023
từ mức 4,55% vào tháng 12 năm 2022. Đây là tỷ lệ lạm phát cao nhất kể từ
tháng 3 năm 2020, do giá của cả hàng ăn và dịch vụ ăn uống tăng nhanh hơn
(6,08% so với 5,21% trong tháng 12) và dệt may, giày dép và mũ nón (2,80% so
với 2,43% trong khi giá giao thông tăng nhẹ (0,05% so với -0,16%). Trong khi
đó, giá cả nhà ở và vật liệu xây dựng tiếp tục tăng (6,94% so với 7,14%) và giáo
dục (11,60% so với 11,80%). từ mức giảm 0,01 phần trăm trong tháng 12
Trong năm 2021thì lạm phát có dấu hiệu tăng trưởng âm khoảng 1% .Việc lạm
phát tăng trưởng âm 1% cho thấy được sức ảnh hưởng của dịch covid 19 lớn
đêns mức nào.Các Hộ gia đình hoãn chi tiêu chờ giảm giá sâu hơn, doanh
nghiệp ngừng đầu tư và tuyển dụng nhằm tiết kiệm chi phí,do ảnh hưởng của
dịch covid 19 tác động rất xấu đến thi trg tiêu dùng.
Năm 2020 lạm phát chạm đỉnh ở mức 6,08% cao nhất trong 3 năm gần đây. 6
Lạm phát hiện tại của Việt Nam tính đến tháng 2/2023:
II. Nguyên nhân lạm phát ở Việt Nam: 2.1. Nguyên nhân:
Lạm phát được sinh ra do một số điều kiện cụ thể và mang tính liên tục với những đặc điểm như:
Lạm phát không phải một sự kiện ngẫu nhiên, sự tăng giá cả của hiện tượng này
bắt đầu và tăng liên tục, đột ngột. Tuy nhiên cũng có một vài trường hợp sự tăng
giá đột ngột không phải là lạm phát mà là sự biến động giá tương đối. Hiện
tượng này chỉ xảy ra khi vấn đề cung, cầu không ổn định trong một thời gian
ngắn. Tình trạng giá cả sẽ ổn định hơn khi cung tăng để đáp ứng được cầu. Còn
lạm phát thì là sự tăng giá liên tục và không dừng lại ở mức độ ổn định;
- Lạm phát là sự ảnh hưởng chung của tất cả các hàng hóa và dịch vụ của một
nền kinh tế chứ không phải riêng một mặt hàng nào cả. Biến động giá tương đối
chỉ là một hoặc hai hàng hóa cố định.
- Lạm phát là hiện tượng lâu dài, ảnh hưởng nghiêm trọng đến nền kinh tế của
một quốc gia hoặc khu vực trong vài năm liền. Các quốc gia hiện đại đều tiến
hành các vấn đề đo lường hàng năm để có thể hạn chế khả năng lạm phát thấp nhất có thể.
2.2. Đánh giá về diễn biến giá cả thị trường năm 2019 – 2020: 7 T L L Ỷ M PH Ệ Ạ ÁT C A ỦVI T Ệ NAM NĂM 2017-2020 4 3.53 3.54 3.5 3.23 3 2.79 2.5 2 1.5 1 0.5 0 2017 2018 2019 2020
*Đánh giá về diễn biến giá cả thị trường năm 2019, Tổng cục Thống kê cho
biết, có hai yếu tố ảnh hưởng tới mục tiêu kiểm soát CPI cả năm:
- Thứ nhất là điều hành của Chính phủ, liên quan đến việc điều chỉnh giá điện,
giá dịch vụ y tế và thực hiện lộ trình tăng học phí.
- Thứ hai là yếu tố thị trường. Liên quan đến vấn đề này, Tổng cục Thống kê
cho biết, nhu cầu tiêu dùng dịp Tết Nguyên đán Kỷ Hợi tăng cao vào hai tháng
đầu năm và các tháng cuối năm 2019, làm tăng giá một số mặt hàng tiêu dùng
thuộc nhóm thực phẩm, dịch vụ ăn uống, đồ uống, dịch vụ giao thông công
cộng, dịch vụ du lịch…
Bình quân năm 2019 so với năm trước, giá thực phẩm tăng 5,08%, giá các mặt
hàng đồ uống, thuốc lá tăng khoảng 1,99%; quần áo may sẵn các loại tăng
1,70%; giá dịch vụ giao thông công cộng tăng 3,02%; giá du lịch trọn gói tăng
3,04%, trong đó mặt hàng thịt lợn bình quân năm 2019 tăng 11,79%... Đây là
một trong những nguyên nhân chính làm CPI các tháng cuối năm tăng cao.
*Đánh giá về diễn biến giá cả thị trường năm 2020:
Lạm phát năm 2020 chịu ảnh hưởng trực tiếp bởi dịch bệnh. Đà tăng cao chỉ số
giá tiêu dùng (CPI) hằng tháng bắt đầu từ tháng 10/2019 (nguy cơ lạm phát cao
quay trở lại) chỉ kéo dài đến tháng 01/2020, mà chủ yếu do nhu cầu tăng cao dịp
Tết đã bị chặn đứng từ tháng 02/2020 cùng thời điểm làn sóng thứ nhất dịch
bệnh Covid-19 bùng phát ở Việt Nam. Thị trường tiêu dùng gần như đóng băng
khiến cho CPI hằng tháng sụt giảm liên tiếp 4 tháng (từ tháng 02 đến tháng 8
5/2020), thậm chí sụt giảm kỷ lục tới 1,54% vào tháng 4/2020. Tổng mức bán lẻ
hàng hóa và doanh thu dịch vụ tiêu dùng tháng 4/2020 giảm 20,5% so với tháng
trước và giảm 26% so với cùng kỳ năm 2019. CPI tháng 6/2020 đột ngột tăng
cao 0,66% do giai đoạn cách ly xã hội chấm dứt và thị trường bắt đầu có dấu
hiệu phục hồi. Tổng mức bán lẻ hàng hóa và doanh thu dịch vụ tiêu dùng tháng
6/2020 đã tăng 6,2% so với tháng trước và tăng 5,3% so với cùng kỳ năm trước.
Nếu chỉ nhìn vào con số CPI bình quân năm 2020 tăng 3,23% so với bình quân
năm 2019 để cho rằng lạm phát năm 2020 cao hơn so với con số tương ứng
2,79% của năm 2019 là sai lầm, vì mặt bằng giá cao năm 2020 được thiết lập
trên nền giá tăng vọt đã tạo ra trong giai đoạn từ tháng 10/2019 đến tháng
01/2020 nhưng hầu như đứng yên suốt 11 tháng còn lại của năm 2020 do yếu tố
tăng mạnh giá thực phẩm nói chung, giá thịt lợn nói riêng không còn, trong khi
giá hàng loạt hàng hóa và dịch vụ khác không những không tăng mà còn giảm,
thậm chí giảm mạnh dưới tác động của Covid-19. Nói cách khác, lạm phát cao
biểu hiện bởi CPI bình quân kỳ năm 2020 là hệ quả của CPI tăng vọt 3 tháng
cuối năm 2019 và tháng đầu tiên năm 2020, còn thực tế 2020 là năm thiểu phát
chứ không phải lạm phát.
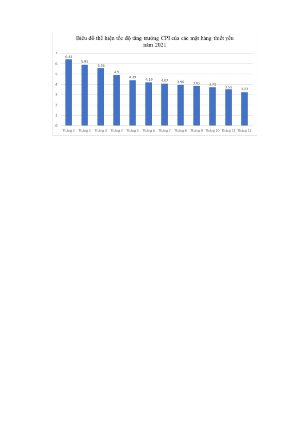
2.3. Đánh giá về diễn biến giá cả thị trường năm 2021: 9
Theo Tổng cục Thống kê, chỉ số giá tiêu dùng (CPI) tháng 12/2021, tăng 0,1%
so với tháng trước và tăng 0,19% so với cùng kỳ năm trước. Bình quân năm
2021, chỉ số giá tiêu dùng tăng 3,23% so với năm 2020. Tính chung quý
IV/2021, CPI tăng 0,22% so với quý trước và tăng 1,38% so với quý IV/2020.
Lý giải chỉ số CPI tháng 12 tăng, theo Tổng cục Thống kê thì giá xăng dầu, giá
gas trong nước tăng theo giá nhiên liệu thế giới; giá gạo tăng theo giá gạo xuất
khẩu và nhu cầu tiêu dùng vào dịp cuối năm tăng là những yếu tố làm cho chỉ số CPI tăng 0,1%.
Lạm phát cơ bản bình quân năm 2021 tăng 2,31% so với bình quân năm 2020,
đạt mục tiêu Quốc hội đề ra là dưới 4%. Ở góc độ điều hành vĩ mô, Chính phủ
luôn chỉ đạo đúng đắn, kịp thời nhằm khống chế đà tăng CPI ngay từ đầu năm.
Cụ thể, Chính phủ triển khai hàng loạt gói hỗ trợ doanh nghiệp và người lao
động, khắc phục tác động tiêu cực của dịch COVID-19 như giảm giá điện; bảo
đảm cung – cầu thịt lợn, kiềm chế đà tăng giá… góp phần đáng kể vào mục tiêu khống chế lạm phát.
CPI bình quân năm 2021 tăng do một số nguyên nhân chủ yếu sau: (i) Giá các
mặt hàng lương thực tăng 4,51% so với năm trước (làm CPI chung tăng 0,17%),
trong đó giá gạo tăng 5,14% do giá gạo xuất khẩu và nhu cầu tiêu dùng trong
nước tăng; (ii) Giá các mặt hàng thực phẩm tăng 12,28% so với năm trước (làm
CPI chung tăng 2,61%), trong đó riêng giá thịt lợn tăng 57,23% do nguồn cung 10
chưa được đảm bảo (làm CPI chung tăng 1,94%), theo đó, giá thịt chế biến tăng
21,59%, mỡ lợn tăng 58,99%, bên cạnh đó, do ảnh hưởng của mưa bão, lũ lụt
tác động làm cho diện tích rau màu ngập nặng, nhiều ao, hồ, chuồng trại bị hư
hỏng, cuốn trôi,…làm cho giá rau tươi, khô và chế biến tăng; (iii) Giá thuốc và
thiết bị y tế tăng 1,35% do dịch Covid-19 trên thế giới vẫn diễn biến phức tạp
nên nhu cầu về mặt hàng này ở mức cao; (iv) Tiếp tục thực hiện lộ trình tăng
học phí theo Nghị định số 86/2015/NĐ-CP làm chỉ số giá nhóm dịch vụ giáo
dục năm 2021 tăng 4,32% so với năm 2020.
Bên cạnh đó có một số yếu tố góp phần kiềm chế tốc độ tăng CPI năm 2021: (i)
Giá các mặt hàng thiết yếu như xăng, dầu giảm 23,03% so với năm trước (làm
CPI chung giảm 0,83%); giá dầu hỏa giảm 31,21%; giá gas trong nước giảm
0,95% do ảnh hưởng của giá nhiên liệu thế giới; (ii) Nhu cầu đi lại, du lịch của
người dân giảm do ảnh hưởng của dịch Covid-19 làm giá của nhóm du lịch trọn
gói giảm 6,24% so với năm trước; giá cước vận tải của các loại phương tiện như
tàu hỏa, máy bay giảm[2]; (iii) Chính phủ triển khai các gói hỗ trợ cho người
dân và người sản xuất gặp khó khăn do dịch Covid-19 như gói hỗ trợ của Tập
đoàn Điện lực Việt Nam (EVN) triển khai giảm giá điện, tiền điện cho khách
hàng nên giá điện tháng 5 và tháng 6 năm nay giảm lần lượt là 0,28% và 2,72%
so với tháng trước; (iv) Các cấp, các ngành tích cực triển khai thực hiện nhiều
giải pháp đồng bộ để ngăn chặn diễn biến phức tạp của dịch bệnh Covid-19, bảo
đảm cân đối cung cầu và ổn định thị trường. *So sánh:
Giá xăng dầu, giá gas trong nước tăng theo giá nhiên liệu thế giới; giá gạo tăng
theo giá gạo xuất khẩu và nhu cầu tiêu dùng vào dịp cuối năm tăng là những yếu
tố làm cho chỉ số giá tiêu dùng (CPI) tháng 12/2020 tăng 0,1% so với tháng
trước và tăng 0,19% so với cùng kỳ năm trước. Bình quân năm 2021, chỉ số giá
tiêu dùng tăng 3,23% so với năm 2019. Tỷ giá thương mại hàng hóa năm 2021
giảm 0,74% so với năm 2020 phản ánh giá xuất khẩu hàng hóa Việt Nam ra
nước ngoài không thuận lợi so với giá nhập khẩu hàng hóa từ nước ngoài về Việt Nam.
III. Ảnh hưởng của lạm phát đối với nền kinh tế Việt Nam:
3.1. Ảnh hưởng tiêu cực của lạm phát: 11
- Lạm phát tác động lên lãi suất:
Lạm phát của các quốc gia trên thế giới khi xảy ra cao và triền miên có ảnh
hưởng xấu đến mọi mặt của đời sống kinh tế, chính trị và xã hội của một quốc
gia. Trong đó, tác động đầu tiên của lạm phát là tác động lên lãi suất. Nhằm duy
trì hoạt động ổn định cân bằng, ngân hàng cần ổn định lãi suất thực. Trong khi
đó, lãi suất thực = lãi suất danh nghĩa - tỷ lệ lạm phát.
Do đó khi tỷ lệ lạm phát tăng cao, nếu muốn cho lãi suất thật ổn địnhvà thực
dương thì lãi suất sanh nghĩa phải tăng lên theo tỷ lệ lạm phát. Việc tăng lãi suất
danh nghĩa sẽ dẫn đến hậu quả mà nền kinh tế phải gánh chịu là suy thoái kinh
tế và thất nghiệp gia tăng.
- Lạm phát khiến thu nhập thực tế bị giảm đi:
Thu nhập thực tế và thu nhập danh nghĩa của người lao động có quan hệ với
nhau qua tỷ lệ lạm phát. Khi lạm phát tăng lên mà thu nhập danh nghĩa không
thay đổi thì làm cho thu nhập thực tế của người lao động sẽ bị giảm xuống.
Lạm phát không chỉ làm giảm giá trị thật của những tài sản không có lãi mà nó
còn làm hao mòn giá trị của những tài sản có lãi, tức là làm giảm thu nhập thực
từ các khoản lãi, các khoản lợi tức. Đó là do chính sách thuế của nhà nước được
tính trên cơ sở của thu nhập danh nghĩa. Khi lạm phát tăng cao, những người đi
vay tăng lãi suất danh nghĩa để bù vào tỷ lệ lạm phát tăng cao mặc dù thuế suất vẫn không tăng.
Từ đó, thu nhập ròng (thực) của của người cho vay bằng thu nhập danh nghĩa
trừ đi tỷ lệ lạm phát bị giảm xuống sẽ ảnh hưởng rất lớn đến nền kinh tế xã hội.
Như suy thoái kinh tế, thất nghiệp gia tăng, đời sống của người lao động trở nên
khó khăn hơn sẽ làm giảm lòng tin của người dân đối với Chính phủ.
- Lạm phát khiến cho mất cân bằng giữa giàu – nghèo:
Khi lạm phát tăng lên, có thể làm mất cân đối trong quan hệ cung – cầu hàng
hoá trên thị trường. Tình trạng lạm phát như vậy sẽ có thể gây ra những sự khó
khăn trong nền kinh tế và tạo ra khoảng cách ngày càng lớn về thu nhập, về mức
sống giữa người giàu - người nghèo.
Lạm phát tăng lên thì giá trị của đồng tiền giảm xuống, người đi vay sẽ có lợi
trong việc vay vốn để đầu cơ kiếm lợi. Do vậy càng tăng thêm nhu cầu tiền vay
trong nền kinh tế, đẩy lãi suất lên cao.
Lạm phát tăng cao còn khiến những người thừa tiền và giàu có, dùng tiền của
mình vơ vét và thu gom hàng hoá, tài sản, nạn đầu cơ xuất hiện, tình trạng này
càng làm mất cân đối nghiêm trọng quan hệ cung - cầu hàng hoá trên thị trường,
giá cả hàng hoá cũng lên cơn sốt cao hơn. Cuối cùng, những người dân nghèo 12
vốn đã nghèo càng trở nên khốn khó hơn. Họ thậm chí không mua nổi những
hàng hoá tiêu dùng thiết yếu, trong khi đó, những kẻ đầu cơ đã vơ vét sạch hàng
hoá và trở nên càng giàu có hơn. Tình trạng lạm phát như vậy sẽ có thể gây
những rối loạn trong nền kinh tế và tạo ra khoảng cách lớn về thu nhập, về mức
sống giữa người giàu và người nghèo.
- Lạm phát ảnh hưởng đến các khoản nợ của quốc gia:
Lạm phát đã làm đồng tiền trong nước trở nên mất giá nhanh hơn so với đồng
tiền nước ngoài được tính trên các khoản nợ. Điều này được chứng tỏ qua việc
khi lạm phát cao làm cho Chính phủ được lợi do thuế thu nhập đánh vào người
dân, nhưng những khoản nợ nước ngoài sẽ trở nên trần trọng hơn. Chính phủ
được lợi trong nước nhưng sẽ bị thiệt với nợ nước ngoài.
3.2. Ảnh hưởng tích cực của lạm phát:
Có thể thấy lạm phát là mô †
t vấn đề đang gây ảnh hưởng tới nền kinh tế Viê † t
Nam, bên cạnh đó nó cũng có những tác đô †
ng tích cực đối với nền tăng trưởng kinh tế.
Lạm phát không phải bao giờ cũng gây nên những tác hại cho nền kinh tế. Khi
tốc độ lạm phát vừa phải đó là từ 2-5% ở các nước phát triển và dưới 10% ở các
nước đang phát triển sẽ mang lại một số lợi ích cho nền kinh tế như sau:
- Kích thích tiêu dùng, vay nợ, đầu tư giảm bớt thất nghiệp trong xã hội.
- Cho phép chính phủ có thêm khả năng lựa chọn các công cụ kích thích đầu tư
vào những lĩnh vực kém ưu tiên thông qua mở rộng tín dụng, giúp phân phối lại
thu nhập và các nguồn lực trong xã hội theo các định hướng mục tiêu và trong
khoảng thời gian nhất định có chọn lọc. Tuy nhiên, đây là công việc khó và đầy
mạo hiểm nếu không chủ động thì sẽ gây nên hậu quả xấu. - Tỉ lê † thất nghiê †
p giảm, tiêu dùng tăng, vay nợ và đầu cơ an toàn hơn
- Chính phủ có them nhiều sự lựa chọn kích thích đầu tư vào nô † i tê †
Tóm lại, lạm phát là căn bệnh mãn tính của nền kinh tế thị trường, nó vừa có tác
hại lẫn lợi ích. Khi nền kinh tế có thể duy trì, kiềm chế và điều tiết được lạm
phát ở tốc độ vừa phải thì nó thúc đẩy tăng trưởng kinh tế.
3.3. Số liệu nổi bật đối với sức ảnh hưởng của lạm phát của Việt Nam năm 2022: 13
Kể từ khi dịch Covid-19 bùng phát đến nay, thế giới đã phải đối mặt với nhiều
khó khăn, thách thức, các yếu tố rủi ro, bất định gia tăng cùng với sự thay đổi
chính sách rất nhanh của các nền kinh tế lớn. Sang năm 2022, mặc dù tình hình
dịch Covid-19 có xu hướng được kiểm soát nhưng vẫn tiếp tục diễn biến phức
tạp, kết hợp với xung đột Nga – Ucraina và sự xuất hiện nhiều yếu tố mới đã
làm tăng thêm khó khăn, thách thức như căng thẳng năng lượng, giá dầu và
hàng hóa thế giới tăng cao; chuỗi cung ứng sản xuất, tiêu dùng tiếp tục bị đứt
gãy trong thời gian dịch Covid-19 bùng phát toàn cầu; chính sách tài khóa, tiền
tệ được nhiều nền kinh tế điều chỉnh theo hướng thắt chặt để kiềm chế lạm phát
đã tác động tới khả năng phục hồi và tăng trưởng kinh tế, một số nền kinh tế có
dấu hiệu suy thoái; thiên tai, lũ lụt, hạn hán, biến đổi khí hậu diễn biến phức tạp,
gây nguy cơ mất an ninh năng lượng, an ninh lương thực…
Trong bối cảnh đó tình hình lạm phát thế giới tiếp tục tăng cao, đặc biệt tại khu
vực châu Âu và Mỹ. Tại Châu Á, lạm phát tháng 11/2022 của Thái Lan tăng
5,6% so với cùng kỳ năm trước; Hàn Quốc tăng 5%; Indonesia tăng 5,4%;
Trung Quốc tăng 1,6%; Nhật Bản tăng 3,8%. Việt Nam thuộc nhóm các nước có
mức lạm phát thấp so với mặt bằng chung khi CPI tháng 12/2022 tăng 4,55% so
với cùng kỳ năm trước nhưng vẫn cao hơn mức lạm phát của Nhật Bản và Trung Quốc.
Trong nước, kinh tế phục hồi, nhu cầu sản xuất hàng hóa phục vụ tiêu dùng và
xuất khẩu cùng với tác động của giá hàng hóa thế giới đã đẩy giá hàng hóa và
dịch vụ thiết yếu tăng nhưng nhìn chung mặt bằng giá cơ bản được kiểm soát.
Chỉ số giá tiêu dùng bình quân năm 2022 tăng 3,15% so với năm trước, đạt mục
tiêu Quốc hội đề ra trong bối cảnh một năm nhiều biến động khó lường. Để chủ
động ứng phó với áp lực lạm phát gia tăng, thời gian qua Chính phủ đã chỉ đạo
các bộ, ngành, địa phương ban hành kịp thời nhiều chính sách, thực hiện đồng
bộ các giải pháp nhằm hạn chế những tác động tiêu cực đến phát triển kinh tế –
xã hội. Các chính sách phù hợp cùng với sự quyết liệt, sát sao trong chỉ đạo,
điều hành đã giúp giảm áp lực đáng kể lên mặt bằng giá, ổn định hoạt động sản
xuất kinh doanh của doanh nghiệp và đời sống của nhân dân. Một số chính sách
hiệu quả nhằm giảm áp lực lạm phát như: Giảm thuế giá trị gia tăng với một số
nhóm hàng hóa và dịch vụ từ 10% xuống 8% từ ngày 01/02/2022; giảm 50%
mức thuế bảo vệ môi trường đối với nhiên liệu bay từ ngày 01/01/2022 đến hết
ngày 31/12/2022; giảm mức thu 37 khoản phí, lệ phí trong 6 tháng đầu năm
2022; giảm thuế bảo vệ môi trường đối với xăng dầu; thực hiện chính sách hỗ
trợ tiền thuê nhà cho người lao động; quy định mức lương tối thiểu đối với
người lao động làm việc theo hợp đồng lao động… 14 PHẦN I: CHỈ SỐ GIÁ TIÊU DÙNG :
Giá xăng dầu trong nước giảm theo giá nhiên liệu thế giới là nguyên nhân chính
làm cho chỉ số giá tiêu dùng (CPI) tháng 12/2022 giảm 0,01% so với tháng
trước, tăng 4,55% so với tháng 12/2021. CPI bình quân quý IV/2022 tăng
4,41% so với cùng kỳ năm trước. Tính chung cả năm 2022, CPI tăng 3,15% so
với năm 2021, đạt mục tiêu Quốc hội đề ra.
PHẦN II: CHỈ SỐ GIÁ SẢN XUẤT, CHỈ SỐ GIÁ NGUYÊN NHIÊN VẬT
LIỆU DÙNG CHO SẢN XUẤT, CHỈ SỐ GIÁ XUẤT KHẨU, NHẬP KHẨU QUÝ IV VÀ NĂM 2022 :
Kinh tế nước ta năm 2022 phục hồi nhanh, nhu cầu sản xuất hàng hóa phục vụ
tiêu dùng và xuất khẩu tăng cao, cùng với tác động của giá nguyên nhiên vật
liệu trên thị trường thế giới đã đẩy giá sản xuất hàng hóa và dịch vụ trong nước
tăng. Chỉ số giá sản xuất, chỉ số giá nguyên nhiên vật liệu dùng cho sản xuất,
chỉ số giá xuất khẩu, nhập khẩu quý IV và năm 2022 đều tăng so với cùng kỳ năm 2021.
IV. Mối quan hệ giữ lạm pháp và tác nghiệp:
Mối liên hệ giữa lạm phát và thất nghiệp được biểu thị thông qua đường
Phillips. Đường Phillips được phát hiện bởi nhà kinh tế học người anh vào năm
1958. Khi đó, ông phát hiện ra rằng, khi tỷ lệ thất nghiệp giảm, lương của người
dân cao hơn sẽ khiến tiêu dùng nhảy vọt. Bởi lẽ đó mà giá cả hàng hóa và lạm
phát cũng tăng cao lên. Tương tự, khi tỷ lệ thất nghiệp tăng, chi tiêu giảm, giá
và lạm phát cũng sẽ giảm theo.
Trong ngắn hạn, đường cong Phillips cho thấy tỷ lệ lạm phát cao hơn sẽ kéo
theo thất nghiệp thấp hơn, và ngược lại. Từ đó, chúng ta rút ra một kết luận: lạm
phát và thất nghiệp tỷ lệ nghịch với nhau. Như vậy, một quốc gia có thể giảm tỷ
lệ thất nghiệp nếu sẵn sàng chấp nhận tăng tỷ lệ lạm phát hoặc ngược lại. Việc
lựa chọn hy sinh yếu tố nào sẽ phụ thuộc vào độ dốc của đường Phillips. 15
Trong dài hạn, không có sự đánh đổi giữa tỷ lệ thất nghiệp và lạm phát. Bởi lúc
này, đường Phillips sẽ là đường thẳng đứng cắt trục hoành tại điểm thất nghiệp
tự nhiên. Điều này có nghĩa là nền kinh tế sẽ quay trở lại tỷ lệ thất nghiệp tự
nhiên dù lạm phát là bao nhiêu. Bên cạnh đó, lạm phát luôn có xu hướng tăng
lên trong thời gian dài hạn. Với sự thay đổi của dòng tiền, cung – cầu lao động
trên thị trường sẽ trở về vị trí cân bằng. Điều này nghĩa là mức sản lượng cung
ứng trên thị trường sẽ bằng mức sản lượng tiềm năng.
V. Giải pháp hạn chế lạm pháp ở Việt Nam:
Để có thể đạt được mục tiêu Quốc hội đã đặt ra trước mắt cho năm 2022 là giữ
tốc độ tăng chỉ số CPI ở mức trên dưới 4%, đồng thời hướng tới mục tiêu dài
hạn cho giai đoạn 2021-2025, cần thực thi các giải pháp ổn định thị trường tài
chính tiền tệ, đẩy mạnh phòng chống dịch bệnh COVID-19, tạo tiền đề tốt cho
ổn định sản xuất, ổn định thị trường, bình ổn giá cả các mặt hàng, cụ thể như sau: 16
4.1. Đề xuất đối với Chính phủ:
- Tiếp tục điều hành chính sách tài khóa chủ động, chặt chẽ phối hợp với chính
sách tiền tệ linh hoạt để tạo sự hài hòa, hiệu quả, hợp lý với các chính sách kinh
tế vĩ mô chung; qua đó hỗ trợ, tháo gỡ khó khăn cho sản xuất - kinh doanh và
đời sống của người dân chịu ảnh hưởng của đại dịch COVID-19, kiểm soát lạm
phát cơ bản và tạo cơ sở cho việc kiểm soát lạm phát chung.
- Theo dõi chặt chẽ diễn biến giá cả, lạm phát trên thế giới, kịp thời cảnh báo
các nguy cơ ảnh hưởng đến giá cả, lạm phát của Việt Nam. Đặc biệt, cần đánh
giá, nhận định các mặt hàng, nguyên vật liệu nào có khả năng thiếu hụt tạm thời
hay trong dài hạn để từ đó đưa ra được chính sách phù hợp.
- Đối với các mặt hàng do Nhà nước quản lý, nên tận dụng các tháng có CPI
tăng thấp để điều chỉnh giá các mặt hàng do Nhà nước quản lý nhằm hạn chế
lạm phát kỳ vọng. Việc điều chỉnh giá các mặt hàng do Nhà nước quản lý không
nên dồn vào các tháng cuối năm do các tháng cuối năm thường có nhu cầu tiêu
dùng cao, nếu CPI liên tục tăng cao sẽ tạo ra lạm phát kỳ vọng rất lớn và số liệu
CPI so cùng kỳ sẽ cao, tạo áp lực điều hành lạm phát cho năm sau.
- Nỗ lực thực hiện các biện pháp ngoại giao để đảm bảo nguồn nguyên liệu thô
thông qua tăng cường hợp tác với Chính phủ các nước giàu tài nguyên, hỗ trợ
các doanh nghiệp ký hợp đồng nhập khẩu nguyên liệu dài hạn, đảm bảo nguồn
nguyên liệu đầu vào, ổn định giá thành sản xuất để kiểm soát lạm phát.
- Tiếp tục đẩy mạnh công tác thông tin, tuyên truyền, đảm bảo kịp thời, minh
bạch thông tin về giá và công tác điều hành giá của Chính phủ, Ban chỉ đạo điều
hành giá, nhất là diễn biến giá cả các vật tư quan trọng, các mặt hàng thiết yếu
liên quan đến sản xuất và đời sống người dân để ổn định tâm lý người tiêu dùng,
kiểm soát lạm phát kỳ vọng; tăng cường chỉ đạo các cơ quan chức năng chủ
động có kế hoạch hoặc lồng ghép vào các kế hoạch nhiệm vụ chuyên môn để
tăng cường công tác thanh tra, kiểm tra việc chấp hành các quy định của pháp
luật về quản lý giá, xử lý nghiêm các hành vi vi phạm theo quy định của pháp luật.
- Chú trọng phát triển kinh tế số - xã hội số; cải thiện mạnh mẽ, thực chất môi
trường đầu tư - kinh doanh; nâng cao hiệu quả cơ cấu lại nền kinh tế, qua đó
góp phần quan trọng trong việc nâng cao năng suất, chất lượng và hiệu quả của
nền kinh tế, từ đó giảm áp lực lạm phát trong trung - dài hạn. 17
4.2. Đề xuất đối với các Bộ quản lý các ngành: - Bộ Công Thương:
+ Chủ động phối hợp chặt chẽ với các Bộ quản lý các ngành theo dõi sát diễn
biến kinh tế thế giới, tình hình lạm phát chung, diễn biến giá cả của các mặt
hàng thiết yếu (lương thực, thực phẩm, xăng dầu, gas,…) để có giải pháp ứng
phó trong điều hành sản xuất trong nước, cân đối cung cầu và chính sách xuất
nhập khẩu phù hợp, tạo điều kiện cho công tác quản lý, điều hành giá nhằm
kiểm soát lạm phát trong nước, cụ thể: (i) Phối hợp với Bộ Tài chính theo dõi
sát diễn biến giá xăng dầu thế giới, đồng thời kết hợp Quỹ bình ổn xăng dầu để
hạn chế mức tăng giá của mặt hàng này đối với CPI chung; (ii) Phối hợp với Bộ
Nông nghiệp và Phát triển nông thôn tiếp tục theo dõi sát diễn biến tình hình thị
trường, cung cầu mặt hàng thịt lợn, nông sản,… để có các biện pháp điều tiết
cung cầu phù hợp, tránh tình trạng giá có biến động đột biến khi nguồn cung gián đoạn.
+ Chủ động chuẩn bị sẵn sàng các điều kiện thúc đẩy sản xuất - kinh doanh, bảo
đảm nguồn cung và lưu thông hàng hóa, giảm áp lực lạm phát. Đặc biệt, thông
tin kịp thời, chính xác và rõ ràng các chính sách, giải pháp chỉ đạo, điều hành
của Chính phủ nhằm loại bỏ thông tin sai lệch về giá cả thị trường, không để
xảy ra hiện tượng lạm phát do tâm lý.
+ Chỉ đạo Sở Công Thương các địa phương xây dựng, thực hiện Chương trình
bình ổn thị trường, trong đó yêu cầu các doanh nghiệp phân phối, bán buôn, bán
lẻ đẩy mạnh xây dựng và triển khai chương trình bình ổn thị trường; chỉ đạo lực
lượng Quản lý thị trường phối hợp với các cơ quan chức năng liên quan tăng
cường kiểm tra, giám sát hoạt động của các thương nhân mua bán các mặt hàng
thiết yếu nhằm tránh tình trạng đầu cơ, trục lợi.
- Bộ Xây dựng cần phối hợp với các Bộ, ngành tăng cường việc theo dõi, cập
nhật biến động giá vật liệu xây dựng để kịp thời đề xuất các biện pháp bình ổn
thị trường vật liệu xây dựng, thúc đẩy tăng năng lực sản xuất trong nước, ưu
tiên cung ứng cho thị trường trong nước.
- Bộ Giao thông Vận tải cần tăng cường công tác kiểm tra, giám sát việc kê
khai, niêm yết giá và việc bán vé đúng giá niêm yết đối với các đơn vị kinh
doanh vận tải; tiếp tục theo dõi tình hình dịch bệnh, rà soát biến động chi phí
đầu vào đối với các dịch vụ do Bộ Giao thông vận tải quản lý.
- Bộ Giáo dục và Đào tạo cần chủ động xây dựng cụ thể kịch bản giá dịch vụ
giáo dục trong năm 2022 và các năm tiếp theo, đồng thời phối hợp với Tổng cục
Thống kê tính toán, đánh giá mức điều chỉnh và tác động của giá dịch vụ giáo
dục đến CPI trong từng năm để kiểm soát lạm phát. 18
-Thứ nhất, theo dõi sát diễn biến kinh tế và lạm phát thế giới tác động đến Việt
Nam để có những giải pháp ứng phó phù hợp; cập nhật sát tình hình để có chỉ
đạo bảo đảm cân đối cung cầu trong nước.
-Thứ hai, thực hiện chính sách tiền tệ thận trọng, bảo đảm tính chủ động, hiệu
quả, phối hợp với điều hành chính sách tài khóa mở rộng hợp lý, có trọng tâm,
trọng điểm và các chính sách khác để góp phần ổn định kinh tế vĩ mô, kiểm soát
lạm phát theo mục tiêu đề ra, bảo đảm các cân đối lớn của nền kinh tế…
-Thứ ba, đối với các mặt hàng Nhà nước định giá, các dịch vụ công đang triển
khai lộ trình thị trường (dịch vụ khám bệnh, chữa bệnh, dịch vụ giáo dục, điện),
các bộ, ngành, địa phương chủ động trong việc tính toán, chuẩn bị các phương
án giá để triển khai điều chỉnh vào thời điểm phù hợp với quy định và bối cảnh chung.
-Thứ tư, đối với các mặt hàng cụ thể, các bộ, ngành, địa phương có trách nhiệm
tổ chức, theo dõi sát diễn biến cung cầu, giá cả thị trường các mặt hàng thuộc
lĩnh vực quản lý để có biện pháp điều hành phù hợp. Chủ động tiếp tục tháo gỡ
khó khăn cho sản xuất kinh doanh, trong lưu thông để chuẩn bị các nguồn hàng
dự trữ, bình ổn giá cả thị trường. 19