



















Preview text:
TRƯỜNG ĐẠI HỌC THƯƠNG MẠI
KHOA HỆ THỐNG THÔNG TIN KINH TẾ VÀ
THƯƠNG MẠI ĐIỆN TỬ
---------------- BÀI THẢO LUẬN
HỌC PHẦN : KINH TẾ VI MÔ 1 Đề tài:
XÂY DỰNG VÀ PHÂN TÍCH SỰ LỰA CHỌN TIÊU DÙNG TỐI ƯU CỦA MỘT
NGƯỜI TIÊU DÙNG TRONG VIỆC LỰA CHỌN CÁC LOẠI HÀNG HÓA TẠI
MỘT THỜI ĐIỂM NHẤT ĐỊNH Nhóm : 8
Lớp học phần: 241_MIEC0111_07
Giảng viên hướng dẫn : ThS. Nguyễn Thị Yến Hạnh MỤC LỤC
LỜI MỞ ĐẦU................................................................................................................... 4
CHƯƠNG 1 : MỘT SỐ LÝ LUẬN CƠ BẢN.................................................................5 1.1.
Sở thích của người tiêu dùng.............................................................................5 1.1.1.
Các giả thuyết cơ bản..............................................................................5 1.1.2.
Lợi ích và quy luật lợi ích cận biên giảm dần..........................................5 1.1.3.
Đường bàng quan....................................................................................6 1.1.4.
Tỷ lệ thay thế cận biên trong tiêu dùng ( MRS).......................................6 1.1.5.
Một số trường hợp đặc biệt của đường bàng quan...................................7 1.2.
Sự ràng buộc về đường ngân sách.....................................................................7 1.2.1.
Đường ngân sách.....................................................................................7 1.2.2.
Tác động của sự thay đổi thu nhập đến đường ngân sách........................8 1.2.3.
Tác động của sự thay đổi giá cả đến đường ngân sách............................8 1.3.
Lựa chọn tiêu dùng tối ưu..................................................................................9 1.3.1.
Điều kiện lựa chọn tiêu dùng tối ưu.........................................................9 1.3.2.
Sự lựa chọn tiêu dùng tối ưu khi thu nhập thay đổi...............................11 1.3.3.
Lựa chọn tiêu dùng tối ưu khi giá cả thay đổi........................................12
CHƯƠNG 2: PHÂN TÍCH, ĐÁNH GIÁ THỰC TRẠNG VỀ SỰ LỰA CHỌN
TIÊU DÙNG TỐI ƯU....................................................................................................14
2.1. Tình huống nghiên cứu.........................................................................................14
2.2. Phân tích lựa chọn tiêu dùng tối ưu......................................................................15
2.2.1. Phân tích sự lựa chọn tối ưu bằng bảng lợi ích.............................................15
2.2.2. Phân tích sự lựa chọn tối ưu bằng đường bàng quan và đường ngân sách....16
2.3. Sự lựa chọn tiêu dùng tối ưu khi thu nhập của người tiêu dùng thay đổi..............17
2.4. Sự lựa chọn tiêu dùng tối ưu khi giá của một loại hàng hóa thay đổi..................19
2.5 Sự lựa chọn tiêu dùng tối ưu khi cả mức thu nhập của người tiêu dùng và giá cả
hàng hóa thay đổi........................................................................................................20
2.5.1. Phân tích sự lựa chọn tối ưu bằng bảng lợi ích.............................................20
2.5.2. Phân tích sự lựa chọn tối ưu bằng đường bàng quan và đường ngân sách....22
CHƯƠNG 3: CÁC ĐỀ XUẤT VỚI VẤN ĐỀ NGHIÊN CỨU....................................24 2
3.1. Khi khách hàng có một khoản ngân sách nhất định..............................................24
3.2. Khi giá cả hàng hóa thay đổi................................................................................25
3.3. Khi thu nhập khách hàng thay đổi........................................................................25
KẾT LUẬN.....................................................................................................................27 3 LỜI MỞ ĐẦU
Tiêu dùng và mua sắm là hành vi và là nhu cầu thiết yếu của con người trong cuộc
sống. Nó là hành động nhằm thỏa mãn nhu cầu và sở thích của con người, nhưng thu
nhập hiện có luôn là vấn đề quyết định chi tiêu của mỗi người tiêu dùng. Nhu cầu về
tiêu dùng của con người ngày càng lớn, đòi hỏi họ phải biết cân nhắc khi ra quyết định
chi tiêu, làm sao cho cân đối, hợp lý phù hợp với túi tiền của bản thân. Khi sử dụng
ngân sách của mình để mua bất cứ hàng hóa hay dịch vụ nào người tiêu dùng luôn
hướng tới lợi ích đạt được khi tiêu dùng và lợi ích càng nhiều thì càng tốt.
Với mỗi hàng hóa, nếu càng tiêu dùng nhiều thì lợi ích càng tăng, và người tiêu
dùng luôn muốn hướng tới giá trị lợi ích cao nhất.Và ngày nay khi hàng hóa càng ngày
càng phát triển đa dạng về chủng loại kéo theo sự lựa chọn hàng hóa trong mua sắm của
người tiêu dùng ngày càng nhiều hơn.
Đời sống ngày càng cải thiện và nâng cao theo đó chi tiêu cho tiêu dùng ngày
càng nhiều,nó đã đem lại nguồn thu không hề nhỏ cho kinh tế nước ta. Vì vậy việc tìm
hiểu sự lựa chọn hàng hóa của người tiêu dùng hiện nay là rất cần thiết, nó sẽ giúp
chúng ta khái quát về cách thức ra quyết định chi tiêu của người tiêu dùng, sự đánh đổi
trong việc chọn lựa hàng hóa, cũng như phản ứng của họ trước sự thay đổi của hoàn
cảnh bên ngoài như thu nhập bản thân người tiêu dùng, giá cả hàng hóa. Để từ đó có cái
nhìn thực tế hơn trong việc lựa chọn tiêu dùng hàng hóa. Hiểu hơn về những hành vi và
lựa chọn của người tiêu dùng trong việc lựa chọn các loại hàng hóa, sản phẩm tại một
thời điểm tiêu dùng nhất định để tối ưu hóa lợi ích. Từ đó rút ra ý nghĩa của thuyết lựa
chọn tiêu dùng tối ưu với các lý thuyết khác trong kinh tế vi mô và rút ra những bài học
cho các hãng trong việc tiêu dùng trong thực tế. 4
CHƯƠNG 1 : MỘT SỐ LÝ LUẬN CƠ BẢN
1.1. Sở thích của người tiêu dùng
1.1.1. Các giả thuyết cơ bản
Lý thuyết về hành vi của người tiêu dùng bắt đầu với 3 giả thiết cơ bản về thị hiếu
của con người về một giỏ hàng hóa trong mối quan hệ so sánh với giỏ hàng hóa khác. Ba
giả thiết này sở dĩ được lựa chọn bởi nó đúng với hầu hết các tình huống tiêu dùng.
Thứ nhất, sở thích người tiêu dùng là hoàn chỉnh. Điều đó có nghĩa là,
người tiêu dùng có thể so sánh và phân biệt tất cả các tập hợp hàng hóa theo sự ưa thích của mình.
Thứ hai, sở thích người tiêu dùng có tính chất bắc cầu. Điều đó có nghĩa là,
khi A được ưa thích hơn B, B được ưa thích hơn C thì A được ưa thích hơn C.
Thứ ba, mọi hàng hóa đều tốt ( đều được mong muốn), nếu bỏ qua chi phí
thì người tiêu dùng có xu hướng thích nhiều hơn thích ít. Ví dụ, đối với quần áo, dù người
tiêu dùng đã có bao nhiêu quần áo đi nữa thì việc có thêm một đơn vị quần áo vẫn mang lại lợi ích cho họ.
1.1.2. Lợi ích và quy luật lợi ích cận biên giảm dần Khái niệm lợi ích - Lợi ích tiêu dùng (U) là
sự hài lòng, thỏa mãn của người tiêu dùng do tiêu dùng
một số lượng hàng hóa, dịch vụ nhất định mang lại. Sự hài lòng (thỏa mãn) càng cao
chứng tỏ lợi ích mang lại từ việc tiêu dùng càng lớn. -
Tổng lợi ích (TU) là tổng sự hài lòng, thỏa mãn khi tiêu dùng một lượng hàng hóa
hay dịch vụ nhất định.
- Hàm tổng lợi ích có dạng: TU= f(X,Y)
-Công thức tính: TU=f(X,Y, Z...) hoặc TU = TUX + TUY + TUZ +...
Khái niệm lợi ích cận biên 5
- Lợi ích cận biên (MU) là sự thay đổi trong tổng lợi ích khi tiêu dùng thêm một đơn
vị hàng hóa hay dịch vụ. - Công thức tính: ∆TU MU = = TU’(Q) ∆Q
Quy luật lợi ích cận biên giảm dần
- Nội dung quy luật: Lợi ích cận biên của một hàng hóa có xu hướng giảm đi khi
lượng hàng hóa đó được tiêu dùng nhiều hơn trong một giai đoạn nhất định.
- Do lợi ích cận biên (MU) có xu hướng giảm dần vì vậy tổng lợi ích (TU) sẽ tăng
lên nhưng tốc độc tăng ngày càng chậm và sau đó giảm đi.
1.1.3. Đường bàng quan
Khái niệm: Đường bàng quan (U) là tập hợp các điểm phản ánh những lô hàng hóa
khác nhau nhưng được người tiêu dùng ưa thích như nhau (hay mang lại lợi ích như
nhau đối với người tiêu dùng).
Các tính chất của đường bàng quan :
- Các đường bàng quan không bao giờ cắt nhau
- Không có đường bàng quan có độ dốc dương
- Các đường bàng quan càng xa gốc tọa độ biểu thị mức độ thỏa mãn càng cao
1.1.4. Tỷ lệ thay thế cận biên trong tiêu dùng ( MRS) 6
Khái niệm: Tỷ lệ thay thế cận biên của hàng hóa X cho hàng hóa Y cho biết lượng
hàng hóa Y mà người tiêu dùng sẵn sàng từ bỏ để có thể có thêm một đơn vị hàng hóa X
mà lợi ích trong tiêu dùng không thay đổi.
Để có thêm ∆X đơn vị hàng hóa X người tiêu dùng phải từ bỏ ∆Y đơn vị hàng hóa
Y. Như vậy để có thêm 1 đơn vị hàng hóa X thì người tiêu dùng phải từ bỏ ∆Y/∆X đơn vị hàng hóa Y. MRSx/y = - ∆Y/ ∆X.
MRSX/Y = |độ dốc đường bàng quan|
- Trên đường bàng quan đi từ trên xuống dưới MRS giảm dần ( độ dốc của đường
bàng quan giảm dần) => đường bàng quan có dạng cong lồi về phía gốc tọa độ.
1.1.5. Một số trường hợp đặc biệt của đường bàng quan
1.2. Sự ràng buộc về đường ngân sách
1.2.1. Đường ngân sách
Khái niệm: Đường ngân sách tập hợp các điểm mô tả các phương án kết hợp tối đa
về hàng hóa hay dịch vụ mà người tiêu dùng có thể mua được với mức ngân sách là nhất
định và giá hàng hóa hay dịch vụ là biết trước.
Phương trình và đồ thị đường ngân sách: I = X.PX + Y.PY 7
Độ dốc đường ngân sách Để có thêm ∆X đơn vị hàng hóa X phải từ bỏ ∆Y đơn vị hàng hóa Y.
=> Để có thêm 1 đơn vị hàng hóa X phải từ bỏ ∆Y / ∆X đơn vị hàng hóa Y. Độ dốc −PX
đường ngân sách = - tgα = ∆Y ∆X=¿ PY
=> Độ dốc đường ngân sách phụ thuộc vào giá hai loại hàng hóa.
1.2.2. Tác động của sự thay đổi thu nhập đến đường ngân sách
Khi thu nhập thay đổi với điều kiện giá cả không đổi thì độ dốc đường NS không
đổi, mà sẽ dịch chuyển song song ra ngoài khi thu nhập tăng, còn dịch chuyển vào trong khi thu nhập giảm.
Khi thu nhập tăng, đường ngân sách di chuyển ra ngoài, cho phép người tiêu dùng
mua được nhiều hàng hóa hơn. Đường ngân sách mới song song và xa hơn so với đường cũ.
Khi thu nhập giảm, đường ngân sách di chuyển vào trong, giới hạn khả năng mua
sắm của người tiêu dùng. Đường ngân sách mới vẫn song song nhưng gần hơn so với đường cũ.
1.2.3. Tác động của sự thay đổi giá cả đến đường ngân sách
Chỉ có giá hàng hóa X thay đổi:
Khi PX giảm đường ngân sách xoay ra ngoài 8
Khi PX tăng đường ngân sách xoay vào trong
Chỉ có giá hàng hóa Y thay đổi:
Khi PY giảm đường ngân sách xoay ra ngoài
Khi PY tăng đường ngân sách xoay vào trong Kết luận :
Khi giá cả của một hàng hóa tăng, đường ngân sách xoay vào trong quanh điểm cắt
của hàng hóa kia. Người tiêu dùng phải bỏ nhiều tiền hơn để mua cùng lượng hàng hóa
đó, giảm khả năng mua sắm.
Khi giá cả của một hàng hóa giảm, đường ngân sách xoay ra ngoài, cho phép người
tiêu dùng mua được nhiều hàng hóa hơn với cùng mức ngân sách. Điểm cắt của hàng hóa kia không thay đổi.
Giá hàng hóa X và Y cùng thay đổi:
- Giá hàng hóa X và Y thay đổi cùng một tỷ lệ
Giá hàng hóa X và Y tăng, giảm cùng một tỷ lệ
=> Khi giá của cả hai sản phẩm thay đổi cùng tỷ lệ (cùng tăng hoặc cùng giảm),
đường ngân sách sẽ dịch chuyển song song, nhưng vẫn giữ nguyên độ dốc. Điều này
ảnh hưởng đến khả năng tiêu dùng tổng thể mà không làm thay đổi sự tương quan giữa hai sản phẩm.
- Giá hàng hóa X và Y thay đổi khác tỷ lệ:
Giá hàng hóa X giảm nhiều hơn giá hàng hóa Y
=> Khi giá của hai sản phẩm thay đổi khác tỷ lệ, đường ngân sách sẽ xoay quanh
một điểm cố định, làm thay đổi độ dốc. Điều này ảnh hưởng đến sự phân bổ ngân sách
giữa hai sản phẩm, buộc người tiêu dùng phải điều chỉnh cách chi tiêu để tối ưu hóa lợi
ích từ các sản phẩm với giá mới.
1.3. Lựa chọn tiêu dùng tối ưu
1.3.1. Điều kiện lựa chọn tiêu dùng tối ưu
Cách tiếp cận thứ nhất là từ khái niệm TU và MU
Trong điều kiện yếu tố giá cả không bị ảnh hưởng, người tiêu dùng chỉ chọn loại
hàng hóa nào mang lại lợi ích cận biên lớn nhất. Tuy nhiên mọi hàng hóa đều có giá của
nó, người tiêu dùng phải trả tiền để có hàng hóa nên nguyên tắc tối đa hóa lợi ích không 9
thể chỉ so sánh giữa lợi ích cận biên của hai hàng hóa mà còn phải gắn với chi phí bỏ ra
(chi phí ở đây chính là giá của hai loại hàng hóa).
Kết luận lại, điều kiện ràng buộc để người tiêu dùng lựa chọn giỏ hàng hóa tối ưu để
tối thiểu hóa chi tiêu tại mức ngân sách nhất định là:
Giả sử, một người tiêu dùng có mức ngân sách là 10 USD chi tiêu cho 2 loại hàng
hóa Cola (X) và Pepsi (Y). giá hàng hóa X là 1 USD/ lon và giá hàng hóa Y là 2 USD/
lon. Lợi ích cận biên do việc tiêu dùng hai loại hàng hóa X và Y đối với người tiêu dùng
này được cho ở bảng dưới đây:
Với số liệu lợi ích cận biên cho ở bảng trên người tiêu dung sẽ lựa chọn hàng hóa Y
vì lợi ích cận biên của việc tiêu dùng đơn vị thứ nhất của Y (24) lớn hơn so với lợi ích cận
biên của việc tiêu dùng hàng hóa X (10). Đơn vị thứ 2,3,4,5 họ vẫn chọn là hàng hóa Y vì
lợi ích cận biên của việc tiêu dùng đơn vị thứ năm của hàng hóa Y vẫn lớn hơn lợi ích cận
biên của việc tiêu dùng đơn vị thứ nhất hàng hóa X. Đến khi quyết định đơn vị hàng hóa
thứ sáu, họ mới chuyển sang hàng hóa X. Do đơn vị đầu tiên người tiêu dùng chọn là
hàng hóa Y. Lúc này số tiền ngân sách của người tiêu dùng: = 10 – 2 = 8 USD.
Do (đơn vị thứ nhất của hàng hóa X) = (đơn vị thứ hai của hàng hóa Y) nên người
tiêu dùng sẽ mua cả hai, ngân sách còn lại: = 8 – ( 1 + 2 ) = 5 USD. So sánh lợi ích cận
biên hàng hóa X thứ hai và đơn vị hàng hóa Y thứ ba, người tiêu dùng sẽ chọn hàng hóa
Y vì hơn một đơn vị, tổng ngân sách còn lại = 5 – 2 = 3 USD.
Tương tự, ( đơn vị thứ tư của hàng hóa X ) = ( đơn vị thứ năm của hàng hóa Y nên
người tiêu dung lại chọn mua cả hai, ngân sách: = 3 – (1 + 2) = 0 USD 10
Khi MU/P của hai hàng hóa bằng nhau, người tiêu dùng sẽ không còn cách nào để
tăng lợi ích từ việc thay thế tiêu dùng giữa hai loại hàng hóa. Do vậy, nguyên tắc để tối ưu
hóa lợi ích là: Phải nnm trên đường ngân sách
Cách tiếp cận thứ hai là từ đường bàng quan và đường ngân sách:
Để đạt được sự lựa chọn tiêu dùng tối ưu với một khoản ngân sách nhất định, tập
hợp hàng hóa phải thỏa mãn 2 điều kiện:
Tập hợp hàng hóa nằm trên đường ngân sách: người tiêu dung chỉ có thể tiêu dùng
một tập hợp hàng hóa mà họ có thể thanh toán, những tập hợp hàng hóa nằm ngoài
đường ngân sách (khách hàng không có khả năng thanh toán) không phải lựa chọn ưu
tiên của người tiêu dùng. Họ cũng sẽ không lựa chọn các điểm nằm dưới đường ngân
sách vì lúc này nguồn ngân sách còn dư nên người tiêu dùng có thể mua thêm nhiều
hàng hóa hơn để đạt mức lợi ích cao hơn.
Tập hợp hàng hóa phải mang lại mức lợi ích cao nhất cho cá nhân: Tập hợp hàng
hóa mà cá nhân sẽ lựa chọn phải nằm trên đường bang quan cao nhất đồng nghĩa đây là
tập hợp hàng hóa được ưu thích nhất bởi cá nhân tiêu dùng trong số tập hợp hàng hóa nằm trên đường ngân sách Ví dụ:
Điểm G nằm trên đường bàng quan là đường bàng quan xa nhất gốc tọa độ, tức là
độ thọa dụng cao nhất. Tuy nhiên nó không thuộc đường ngân sách nên vượt quá khả năng của.
Người tiêu dùng sẽ không chọn giỏ hàng hóa G vì không đủ ngân sách để thanh toán. 11
Điểm C và Điểm B đều nằm trên đường bàng quan và nằm, nhưng không phải là
đường bàng quan có độ thỏa dụng cao nhất.
Người tiêu dùng bỏ qua giỏ hàng C và B vì chưa phải sự lựa chọn tối ưu. Dễ thấy, E
là tiếp điểm của đường bàng quan và đường ngân sách. Độ dốc đường bàng quan bằng độ
dốc của đường ngân sách (điều kiện cần cho sự lựa chọn tiêu dùng tối ưu)
Ở điểm E, người tiêu dùng đạt được độ thỏa dụng lớn nhất .Giỏ hàng E là phương án
tối ưu. Suy ra, điều kiện cần và đủ để tối đa hóa lợi ích: Gio hàng hóa tối ưu phải mang
lại sự thoa mqn cao nhst cho người tiêu dùng.
1.3.2. Sự lựa chọn tiêu dùng tối ưu khi thu nhập thay đổi
Khi Q1, Q2 là hai hàng hóa thông thường
Khi thu nhập tăng thì người tiêu dùng có xu hướng mua hàng hóa thông thường
nhiều hơn , khi thu nhập giảm thì người tiêu dùng có xu hướng mua hàng hóa thông thường ít hơn
Ví dụ hàng hóa thông thường : thực phẩm, quần áo và đồ gia dụng….
Sự dịch chuyển của của đường cầu đối với hàng hóa thông thường:
Khi thu nhập liên tục tăng thì cầu của một loại hàng hóa thông thường cũng theo đó
tăng lên, dần dần có thể khiến loại hàng hóa thông thường đó trở thành hàng hóa thứ cấp
Khi Q1 và Q2 là hàng hóa thứ cấp:
Khi thu nhập tăng thì người tiêu dùng có xu hướng mua hàng hóa thứ cấp ít hơn ,
khi thu nhập giảm thì người tiêu dùng có xu hướng mua loại hàng hóa thứ cấp nhiều hơn
Ví dụ về hàng hóa thông thường: mì ăn liền, hamburger, đồ hộp, đồ đông lạnh… 12
Cả hai hàng hóa Q1, Q2 không thể đồng thời là hàng hóa thứ cấp bởi vì khi thu nhập
tăng,người tiêu dùng không thể mua hai loại hàng hóa ít đi. Khi thu nhập tăng cầu đối với
Q2 tăng-> là hàng hóa thông thường và cầu đối với Q1 giảm -> Q1là hàng hóa thứ cấp
1.3.3. Lựa chọn tiêu dùng tối ưu khi giá cả thay đổi
Khi giá X thay đổi, X và Y là hai hàng hóa không liên quan
Khi giá X thay đổi, X và Y là hai hàng hóa thay thế
Hàng hóa thay thế: là những loại hàng hóa cùng thỏa mãn một nhu cầu (nhưng có
thể mức độ thỏa mãn là khác nhau). Thông thường, hàng hóa thay thế là những loại hàng
hóa cùng công dụng và cùng chức năng nên người tiêu dùng có thể chuyển từ mặt hàng
này sang mặt hàng khác khi giá của các mặt hàng này thay đổi. Nếu các yếu tố khác là
không đổi, cầu đối với một loại hàng hóa nào đó sẽ giảm (tăng) đi khi giá của hàng hóa
thay thế của nó giảm (tăng)
Ví dụ một số hàng hóa thay thế: chè và cà phê, nước cam và nước chanh, thịt gà và thịt bò…
Khi giá X thay đổi, X và Y là hai hàng bổ sung
Hàng hóa bổ sung: là những hàng hóa được sử dụng song hành với nhau để bổ sung
cho nhau nhằm thỏa mãn một nhu cầu nhất định nào đó. Nếu yếu tố khác không đổi, cầu
đối với một loại hàng hóa nào đó sẽ giảm (tăng) khi giá của hàng hóa bổ sung của nó tăng (giảm).
Ví dụ về một số hàng hóa bổ sung: xe máy và mũ bảo hiểm, máy ảnh và phim, mực in và máy in… 13 14
CHƯƠNG 2: PHÂN TÍCH, ĐÁNH GIÁ THỰC TRẠNG VỀ SỰ LỰA CHỌN TIÊU DÙNG TỐI ƯU
2.1. Tình huống nghiên cứu
Bạn Ly tiêu dùng sử dụng mức thu nhập hàng tháng là I - 15 USD và để mua 2 loại
hàng hóa là trà sữa (X) và nước ép (Y). Giá của 1 ly nước ép là Px – 1 USD ; giá của cốc
trà sữa là Py – 2 USD. Cho bảng tổng lợi ích của 2 loại hàng hóa bên dưới vậy bạn Ly nên
lựa chọn kết hợp tiêu dùng hàng hóa X,Y như thế nào để bạn ấy có được lợi ích tối đa? Số lượng (X) TU(X) Số lượng (Y) TU(Y) 1 12 1 40 2 23 2 76 3 33 3 108 4 42 4 138 5 50 5 166 6 57 6 192 7 63 7 216 8 68 8 236 9 72 9 254 10 75 10 266 SL TU(X) MU(X) MU(X)/Px TU(Y) MU(Y) MU(Y)/PY 1 12 12 12 40 40 20 2 23 11 11 76 36 18 3 33 10 10 108 32 16 15 4 42 9 9 138 30 15 5 50 8 8 166 28 14 6 57 7 7 192 26 13 7 63 6 6 216 24 12 8 68 5 5 236 20 10 9 72 4 4 254 18 9 10 75 3 3 266 12 6
Phương trình đường ngân sách I: 1X+2Y=15 (USD)
2.2. Phân tích lựa chọn tiêu dùng tối ưu
2.2.1. Phân tích sự lựa chọn tối ưu bằng bảng lợi ích
Ta có điều kiện cần là và đủ để tối ưu hóa lợi ích là: {MUX=MUY PX PY
I=X .PX+Y .Py
Áp dụng phương trình cân bằng trong tiêu dùng:
Kết hợp với bẳng lợi ích ta có các tập hàng hóa tiêu dùng tối ưu là: (1X,7Y) ; (3X,8Y) ; (4X,9Y) ; (7X,10Y)
Để tối đa hóa lợi ích thì số tiền mua hàng phải bằng đúng số thu nhập cho trước là
15 USD, thay lần lượt các cặp giá trị X,Y vào phương trình đường ngân sách
- Với cặp (1X,7Y) ta thu được 1x1+2x7=15
- Thỏa mãn đường ngân sách
- Với các cặp (3X,8Y) ; (4X,9Y) ; (7X,10Y)
- Không thỏa mãn đường ngân sách 16
=>Vậy với mức thu nhập 15 USD và giá của 2 loại hàng hóa nước ép, trà sữa lần
lượt là 1 USD, 2 USD thì bạn Ly nên 1 cốc nước ép và 7 cốc trà sữa để có được lợi ích tối đa.
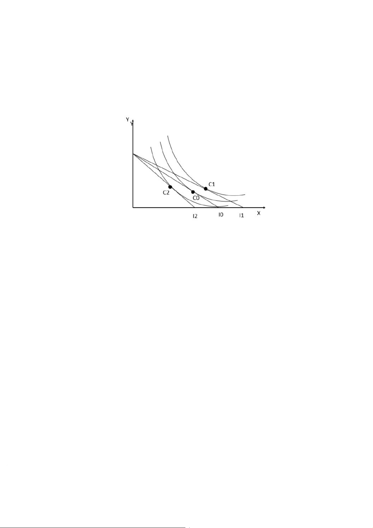
2.2.2. Phân tích sự lựa chọn tối ưu bằng đường bàng quan và đường ngân sách
Ta có hình của đường bàng quan và đường ngân sách như hình dưới đây: Theo hình vẽ: Ta có - Điểm A (9X,3Y) thuộc U3 - Điểm B (1X,7Y) thuộc U2 - Điểm C (7X,8Y) thuộc U1
- Tại điểm C ta có giỏ hàng đem
lại lợi ích lớn nhất nhưng bạn Ly không thể mua được
- Tại điểm A ta có giỏ hàng bạn Ly
có thể mua được nhưng lại chưa phải
là giỏ hàng có lợi ích lớn nhất.
- Tại điểm B ta có giỏ hàng mà bạn Ly có thể mua được và đem lại mức độ lợi ích lớn nhất
Tại C: Độ dốc đường bàng quan = Độ dốc đường ngân sách (điều kiện cần)
Điểm lựa chọn tiêu dùng phải nằm trên đường ngân sách
=>Vậy với mức thu nhập 15 USD thì tại điểm B bạn Ly có thể mua được giỏ hàng
gồm 1 ly nước ép và 7 cốc trà sữa có mức độ lợi ích lớn nhất.
2.3. Sự lựa chọn tiêu dùng tối ưu khi thu nhập của người tiêu dùng thay đổi
Trong trường hợp ngân sách để mua 2 loại hàng hóa là trà sữa và nước ép của bạn
Ly tăng lên thành 22 USD và các mức giá của hàng hóa là không đổi thì bạn Ly nên lựa
chọn kết hợp tiêu dùng 2 loại hàng hóa trà sữa và nước ép như thế nào để có được lợi ích tối đa? 17
Ta thấy: Giá cả các loại hàng hóa không đổi và lợi ích của các loại hàng hóa không
đổi, nên ta có bảng tổng lợi ích và lợi ích cận biên vẫn giữ nguyên như tình huống. SL TU(X
MU(X) MU(X)/Px TU(Y) MU(Y) MU(Y)/PY ) 1 12 12 12 40 40 20 2 23 11 11 76 36 18 3 33 10 10 108 32 16 4 42 9 9 138 30 15 5 50 8 8 166 28 14 6 57 7 7 192 26 13 7 63 6 6 216 24 12 8 68 5 5 236 20 10 9 72 4 4 254 18 9 10 75 3 3 266 12 6
Khi ngân sách của bạn Ly tăng lên thành 22 USD, ta cần tìm sự lựa chọn tối ưu thỏa mãn hệ sau: {MUX=MUY PX PY 2 2 .1 .2 =X +Y 18
Theo bảng, chỉ có cặp hàng hóa (4X, 9Y) thỏa mãn hệ phương trình. Do đó, bạn Ly
sẽ có sự lựa chọn tiêu dùng tối ưu khi tiêu thụ 4 cốc trà sữa và 9 ly nước ép với mức ngân sách là 22 USD.
Nhận thấy, khi ngân sách của bạn Ly tăng lên, bạn Ly có cơ hội tiêu dùng nhiều trà
sữa và nước ép hơn, do đó sự gia tăng thu nhập làm dịch chuyển đường ngân sách ra
ngoài. Do giá tương đối của 2 sản phẩm trà sữa và nước ép không thay đổi, độ dốc của
đường giới hạn ngân sách vẫn bằng độ dốc đường ngân sách ban đầu. Vì vậy, sự gia tăng
thu nhập của bạn Ly sẽ làm đường ngân sách dịch chuyển song song sang bên phải.
Ta có đồ thị biểu thị sự dịch chuyển của đường ngân sách và đường bàng quan khi
thu nhập bạn Ly thay đổi:
Ban đầu khi chưa tăng giá trà sữa thì đường ngân sách được biểu thị là đường I1 và
đường bàng quan là U1 với điểm A là điểm mà tại đó bạn Ly đạt lợi ích tối đa.
Khi tăng giá trà sữa thì đường ngân sách được biểu thị là đường I2 và đường bàng
quan là U2 với điểm B là điểm mà tại đó bạn Ly đạt lợi ích tối đa.
Khi thu nhập tăng lên mà giá của 2 sản phẩm không thay đổi, khi đó đường ngân
sách sẽ dịch chuyển song song ra ngoài, điểm lựa chọn tiêu dùng tối ưu cũng thay đổi từ
A sang B và lợi ích lớn nhất của người tiêu dùng cũng có xu hướng tăng từ U1 đến U2
(càng xa gốc tọa độ thì lợi ích càng tăng).
Vậy, hai hàng hoá trà sữa và nước ép, khi thu nhập của người tiêu dùng tăng lên, đồ
thị đường ngân sách dịch chuyển song song ra ngoài, đồng thời làm tăng lợi ích tối đa. 19
2.4. Sự lựa chọn tiêu dùng tối ưu khi giá của một loại hàng hóa thay đổi
Giả sử giá của trà sữa tăng lên 3 USD/cốc, trong khi đó giá của nước ép và ngân
sách tiêu dùng không đổi thì bạn Ly nên lựa chọn kết hợp tiêu dùng hàng hóa X, Y như
thế nào để bạn có được lợi ích tối đa?
Điều kiện cần và đủ để bạn Ly tối đa hóa lợi ích tại mức ngân sách I= 15, Px= 1 và P’y= 3 là: {MUX=MUY'(1) PX PY 15=1.X+3.Py
Do giá cả hàng hóa thay đổi nên lợi ích cận biên trên mỗi đơn vị tiền tệ của hàng hóa
thay đổi. Qua đó, ta có bảng dưới đây để biểu thị lợi ích cận biên trên mỗi đơn vị tiền tệ
của hàng hóa sau khi giá của 1 cốc trà sữa thay đổi: SL TU(X)
MU(X) MU(X)/PX TU(Y) MU(Y) MU(Y)/P’Y 1 12 12 12 40 40 13.33 2 23 11 11 76 36 12 3 33 10 10 108 32 10.67 4 42 9 9 138 30 10 5 50 8 8 166 28 9.33 6 57 7 7 192 26 8.67 7 63 6 6 216 24 8 8 68 5 5 236 20 6.67 9 72 4 4 254 18 6 10 75 3 3 266 12 4
Kết hợp bảng số liệu trên với (1) ta thấy rằng: chỉ có cặp hàng hóa (3X,4Y) là thỏa
mãn điều kiện tối đa hóa lợi ích => Tập hàng hóa tối ưu trong tiêu dùng là (3X,4Y) 20