



















Preview text:
TRƯỜNG ĐẠI HỌC THƯƠNG MẠI ----- ----- BÀI THẢO LUẬN MÔN: KINH TẾ VI MÔ
ĐỀ TÀI: PHÂN TÍCH SỰ LỰA CHỌN SẢN LƯỢNG ĐỂ TỐI ĐA HÓA LỢI
NHUẬN CỦA CÔNG TY SUNTORY PEPSICO VIỆT NAM GIAI ĐOẠN TỪ 2021 ĐẾN 2023
Giảng viên hướng dẫn: Cô Ninh Hoàng Lan
Mã lớp học phần: 24107MIEC0111 Nhóm thực hiện: Nhóm 8 Năm học: 2023-2024 Hà Nội, tháng 11 năm 2023
ĐỀ TÀI: PHÂN TÍCH SỰ LỰA CHỌN SẢN LƯỢNG ĐỂ TỐI ĐA HÓA LỢI
NHUẬN CỦA CÔNG TY SUNTORY PEPSICO VIỆT NAM GIAI ĐOẠN TỪ 2021 ĐẾN 2023 LỜI MỞ ĐẦU
Kinh tế học vi mô là một bộ phận của kinh tế học chuyên nghiên cứu và phân tích các
hành vi kinh tế của các tác nhân trong nền kinh tế: người tiêu dùng, các hãng sản xuất
kinh doanh và chính phủ. Mục tiêu để giải thích giá và lượng của một hàng hóa cụ thể.
Mỗi chủ thể kinh tế của một nền kinh tế đều có mục tiêu để hướng tới, đó là tối đa hóa lợi
ích kinh tế của họ: mục tiêu của các doanh nghiệp là tối đa hóa lợi nhuận, của các hộ tiêu
dùng là tối đa hóa mức độ tiêu dùng, của người lao động là tối đa hóa tiền công, của
chính phủ là tối đa hóa lợi ích xã hội. Từ đó có thể nói: trong xu thế toàn cầu hóa như
hiện nay, mỗi doanh nghiệp, mỗi công ty muốn tồn tại và phát triển cần phải có chiến
lược chọn đầu vào tối ưu để tối thiểu hóa chi phí sản xuất một mức sản lượng nhất định
hoặc tối đa hóa sản lượng với một mức chi tiêu nhất định, nhằm mục tiêu cuối cùng là tối
đa hóa lợi nhuận của công ty để đưa công ty phát triển lớn mạnh.
Hiện nay, nền kinh tế Việt Nam đang trong giai đoạn chuyển đổi từ nền kinh tế kế
hoạch tập trung sang nền kinh tế thị trường. Một số yếu tố bất hợp lý của mô hình kinh tế
trước đây vẫn còn tồn tại và đòi hỏi cần phải có những giải pháp cụ thể để giải quyết
trong thời gian tới. Như vậy có thể thấy hai vấn đề tối thiểu hóa chi phí và tối đa hóa sản
lượng là hai khía cạnh cốt yếu không thể thiếu trong quá trình tối đa hóa lợi nhuận của
một doanh nghiệp, có vai trò vô cùng quan trọng cho một nền kinh tế đang phát triển và
phát triển. Đặc biệt là sự lựa chọn sản lượng để tối đa hóa lợi nhuận vì đây là một trong
những nhân tố không thể thiếu quyết định tới sự phát triển hay trì trệ của một công ty hay
nói rộng hơn là một quốc gia. Các doanh nghiệp nên áp dụng chiến lược này trong quá
trình phát triển công ty để đạt được những hiệu quả kinh tế cao.
Với tầm quan trọng của việc lựa chọn sản lượng để tối đa hóa lợi nhuận của các doanh
nghiệp, sau đây nhóm 8 sẽ phân tích và làm rõ đề tài “Phân tích sự lựa chọn sản lượng để
tối đa hóa lợi nhuận của các công ty”
CHƯƠNG I. MỘT PHẦN NỘI DUNG
SỐ LÝ LUẬN CƠ BẢN VỀ SỰ LỰA CHỌN SẢN LƯỢNG VÀ LỢI NHUẬN CỦA
HÃNG CẠNH TRANH ĐỘC QUYỀN TRONG NGẮN HẠN
1.1. Thị trường cạnh tranh độc quyền
1.1.1. Khái niệm thị trường cạnh tranh độc quyền
Thị trường độc quyền là một cấu trúc thị trường được đặc trưng bởi một người bán duy
nhất, bán một sản phẩm duy nhất trên thị trường và có nhiều người mua. Trong thị trường
này, người bán không phải đối mặt với sự cạnh tranh, vì họ chính là người bán duy nhất,
bán sản phẩm duy nhất không có sản phẩm thay thế và không có đối thủ cạnh tranh. Do
đó, thị trường độc quyền là thị trường không cạnh tranh.
Trong một thị trường độc quyền, các yếu tố như giấy phép của chính phủ, quyền sở
hữu tài nguyên, bản quyền, bằng sáng chế, chi phí ban đầu cao... khiến một thực thể trở
thành một người bán hàng hóa duy nhất. Tất cả những yếu tố kể trên hạn chế sự gia nhập
của những người bán khác trên thị trường. Đồng thời, doanh nghiệp độc quyền cũng sở
hữu một số thông tin mà những người bán khác không biết. Các đặc điểm gắn liền với thị
trường độc quyền khiến người bán duy nhất trở thành người kiểm soát thị trường cũng
như người định giá. Họ có quyền định giá cả và số lượng cho sản phẩm, hàng hóa của mình.
1.1.2. Đường cầu và đường doanh thu cận biên của hãng cạnh tranh độc quyền
Đường cầu (D) của thị trường cạnh tranh độc quyền bán là đường dốc xuống.
Đường doanh thu biên của doanh nghiệp độc quyền bán cũng là đưỡng dốc xuống
nhưng nằm ở phía trong đường cầu.
Doanh thu cận biên (tên gọi tiếng anh: marginal revenue) là số tiền tăng thêm do doanh
nghiệp, chủ cửa hàng bán thêm được một lượng sản phẩm nhất định. Ký hiệu doanh thu cận biên là MR.
Trong điều kiện cạnh tranh hoàn hảo (không có người sản xuất hay người tiêu dùng
nào có quyền hay khả năng khống chế được thị trường, làm ảnh hưởng đến giá cả) thì
doanh thu cận biên sẽ bằng giá cả. Lợi nhuận của doanh nghiệp sẽ tăng theo phần doanh
thu bán thêm. Khi đó đường doanh thu trung bình (AR), đường cầu và đường doanh thu
cận biên trùng nhau như hình bên dưới:
1.2. Lựa chọn sản lượng và lợi nhuận của hãng cạnh tranh độc quyền trong ngắn hạn
1.2.1. Điều kiện tối đa hóa lợi nhuận của hãng cạnh tranh độc quyền trong ngắn hạn
* Điều kiện: Doanh thu cận biên (MR) của hãng cạnh tranh độc quyền là doanh thu thu
được từ việc bán thêm một đơn vị sản phẩm. Chi phí cận biên (MC) của hãng cạnh tranh
độc quyền là chi phí tăng thêm khi sản xuất thêm một đơn vị sản phẩm.
Khi hãng cạnh tranh độc quyền sản xuất ở mức sản lượng mà tại đó: MR = MC
Hãng sẽ thu được lợi nhuận tối đa
Biểu đồ dưới đây minh họa điều kiện tối đa hóa lợi nhuận của hãng cạnh tranh độc quyền trong ngắn hạn:
* Quy tắc định giá của hãng cạnh tranh độc quyền trong ngắn hạn
Biểu đồ dưới đây minh họa quy tắc định giá của hãng cạnh tranh độc quyền trong ngắn hạn:
Trong biểu đồ, đường cầu thị trường (D) thể hiện mối quan hệ giữa giá bán và lượng
cầu. Đường doanh thu cận biên (MR) thể hiện mối quan hệ giữa doanh thu cận biên và
lượng sản xuất. Đường chi phí cận biên (MC) thể hiện mối quan hệ giữa chi phí cận biên và lượng sản xuất.
Tại mức sản lượng Q*, MR = MC. Tại mức sản lượng này, hãng cạnh tranh độc quyền
đang bán được sản phẩm với giá cao nhất có thể mà vẫn thu được lợi nhuận. Mà ta đã chứng minh: MC 1 1 MR = P(1 + 1+1
ED ) => MC = P(1 + D ) => P = P EP EDP P P
Ta có: P – MC = P – (P + ED) = - D ¿0 P EP
- Hãng độc quyền luôn đặt giá cho sản phẩm của mình lớn hơn chi phí cận biên
- Hệ số Lerner (do Abba Lerner đưa ra vào năm 1934). Hệ số Lerner càng lớn thì sức
mạnh độc quyền càng lớn P−MC L = P ( 0 ≤ L ≤1 )
- Đo lường sức mạnh độc quyền D≤1 Ta có: L = P−MC => { 0≤ L=−1 E P P ¿>EPD<1
1.2.2. Khả năng sinh lợi của hãng cạnh tranh độc quyền trong ngắn hạn
- Khả năng sinh lợi của hãng độc quyền:
+ Hãng có lợi nhuận kinh tế dương khi P > ATC;
+ Hãng có lợi nhuận kinh tế bằng 0 khi P = ATC;
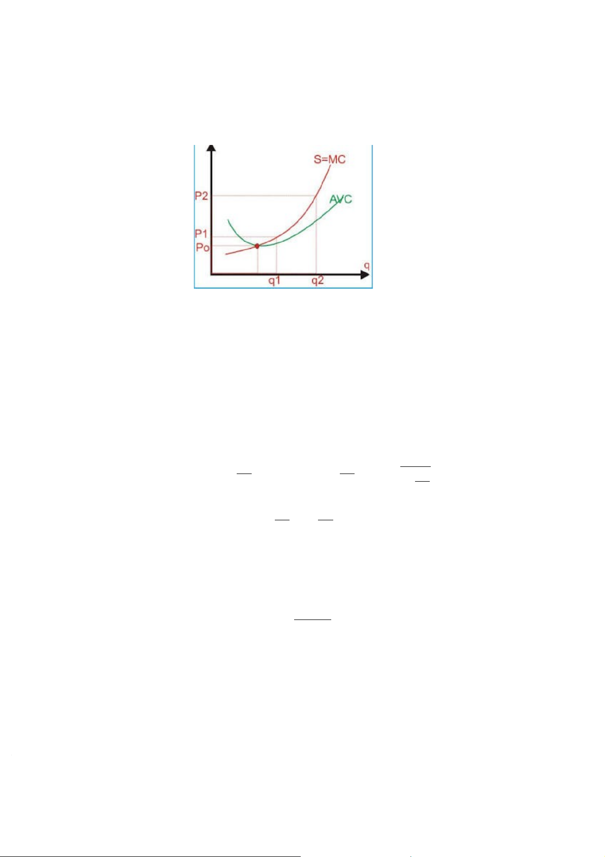
+ Hãng bị thua lỗ nhưng vẫn tiếp tục sản xuất khi AVC < P < ATC;
+ Hãng ngừng sản xuất khi P ≤ AVC
1.2.3. Cạnh tranh độc quyền không tồn tại đường cung
Không có đường cung trong thị trường độc quyền vì nhà độc quyền tìm kiếm đường
cầu thị trường để tìm mức giá tối đa hóa lợi nhuận, thay vì chỉ chấp nhận giá thị
trường. Bởi vì chỉ có một người bán, nhà độc quyền có sức mạnh thị trường.
Công ty độc quyền chỉ có một người bán. Các rào cản gia nhập cao như rào cản pháp
lý, yêu cầu vốn cao và lợi thế công nghệ ngăn cản các đối thủ cạnh tranh tham gia thị
trường. Nhà độc quyền xác định mức giá tối đa hóa lợi nhuận của mình, và sau đó cung
cấp một lượng hàng hóa cho phép họ đạt được mức giá đó.
1.2.4. Sự mất mát phúc lợi xã hội do cạnh tranh độc quyền
Trong thị trường cạnh tranh hoàn hảo, doanh nghiệp đặt giá P = MC đảm bảo mức sản
lượng đầu ra tối ưu cho xã hội. Nhưng trong độc quyền, doanh nghiệp đặt giá cao hơn chi
phí biên P > MC, mức sản lượng này chưa tối ưu hoá cho xã hội. Như vậy, sức mạnh độc
quyền đưa đến kết quả là giá bán sản phẩm cao hơn chi phí cận biên và sản lượng thấp
hơn sản lượng tối ưu hoá xã hội. Từ đó gây tổn thất đối với xã hội.
Các nhà kinh tế lý giải về sự chống đối thứ hai đối với độc quyền là sự méo mó trong
việc phân phối các nguồn lực. Tình trạng độc quyền hạn chế sản lượng để tối đa hoá lợi
nhuận. Sự chênh lệch giữa giá và chi phí biên ở mức tối đa hoá lợi nhuận của độc quyền
phản ánh người tiêu dùng phải trả giá cho mô zt đơn vị đầu ra cao hơn chi phí để sản xuẩt nó.
Đồ thị dưới đây phản ánh đầu ra được sản xuất trong thị trường cạnh tranh hoàn hảo và
đầu ra trong độc quyền. Trên đồ thị sản lượng của cạnh tranh hoàn hảo là Q*, ở đó P =
MC với giá là P*. Độc quyền cung ứng ở sản lượng Q** mà ở đó MR = MC, giá người
tiêu dùng phải trả là P **. Điều này sẽ gây ra một sự phân phối về nguồn lực. Chi phí cho
đầu vào sản xuất biểu hiện ở diện tích AEQ*Q ** được chuyển để sản xuất hàng hoá
khác. Thặng dư tiêu dùng biểu diễn ở diện tích P**BAP* được chuyển vào lợi nhuận của
độc quyền. Tổn thất của xã hội do độc quyền là diện tích ABE
1.3. Sự thay đổi sản lượng và lợi nhuận của hãng cạnh tranh độc quyền trong ngắn hạn
1.3.1. Sự thay đổi sản lượng và lợi nhuận do chi phí thay đổi
Nếu chi phí biến đổi của hãng tăng lên, đường MC sẽ dịch chuyển lên trên. Điều này sẽ
dẫn đến việc hãng sản xuất ít hơn và thu được lợi nhuận thấp hơn
Ngược lại, nếu chi phí biến đổi ngắn hạn của hãng giảm xuống, đường MC sẽ dịch
chuyển xuống dưới. Điều này dẫn đến việc hãng sản xuất nhiều hơn và thu được lợi nhuận cao hơn
1.3.2. Sự thay đổi sản lượng và lợi nhuận do cầu thay đổi
Nếu cầu thị trường tăng lên, đường cầu của hãng sẽ dịch chuyển lên trên. Điều này sẽ
dẫn đến việc hãng sản xuất nhiều hơn và thu được lợi nhuận cao hơn.
Ngược lại, nếu cầu thị trường giảm xuống, đường cầu của hãng cũng sẽ dịch chuyển
xuống dưới. Điều nãy sẽ dẫn đến việc hãng sản xuất ít hơn và thu được lợi nhuận thấp hơn
CHƯƠNG II. PHÂN TÍCH SỰ LỰA CHỌN SẢN LƯỢNG VÀ LỢI NHUẬN
CỦA CÔNG TY SUNTORY PEPSICO VIỆT NAM TRONG GIAI ĐOẠN TỪ 2021 ĐẾN 2023
2.1. Giới thiệu về công ty Suntory PepsiCo Việt Nam
Ngày 24/12/1991, Công ty Nước giải khát Quốc tế (IBC) được thành lập. Năm 1994,
Pepsico chính thức gia nhập thị trường Việt Nam khi liên doanh với công ty Nước giải
khát Quốc tế IBC. Năm 2003, Công ty được đổi tên thành Công ty Nước Giải khát Quốc
tế Pepsico Việt Nam. Năm 2004 thông qua việc mua bán, sáp nhập nhà máy Điện Bàn,
công ty mở rộng sản xuất và kinh doanh tại Quảng Nam. Năm 2007, SPVB phát triển
thêm ngành hàng sữa đậu nành. Tháng 2/2010, nhà máy mới tại Cần Thơ chính thức đi
vào hoạt động. Nhà máy PepsiCo có quy mô lớn nhất khu vực Đông Nam Á đã được
khánh thành tại Bắc Ninh vào tháng 10 năm 2012. Tháng 4/2013, liên minh nước giải
khát chiến lược Suntory Pepsico Việt Nam đã được thành lập giữa Suntory Holdings Limited và Pepsico Inc.
Công ty TNHH Nước Giải Khát Suntory Pepsico Việt Nam (SPVB), 100% vốn nước
ngoài, chuyên sản xuất đồ uống không cồn, nước khoáng. Những nguyên tắc kiểm soát
chất lượng về quy trình, nguyên vật liệu đầu vào theo tiêu chuẩn của tập đoàn Suntory
Holdings Limited - một trong những Tập đoàn đồ uống lớn nhất tại Nhật Bản và Pepsico
- một trong số tập đoàn nước giải khát hàng đầu thế giới, luôn được đề cao. Nhiệm vụ và
tầm nhìn của công ty là tiếp tục củng cố và duy trì vị trí hàng đầu trong ngành công
nghiệp nước giải khát trong khi vẫn sống với các giá trị của công ty. Bằng niềm đam mê
giữ vững “Cam kết chất lượng” và đáp ứng những yêu cầu ngày càng cao của thị trường,
công ty đã không ngừng cải tiến về quy trình sản xuất, mở rộng nhà máy và gây dựng
thành công niềm tin của người tiêu dùng dành cho SPVB. Trong tương lai, SPVB sẽ tiếp
tục theo đuổi mục tiêu phát triển bền vững, mang lại lợi ích cho nhân viên công ty và các
đối tác kinh doanh, cũng như đóng góp cho cộng đồng nơi công ty hoạt động kinh doanh.
2.2. Sản xuất và chi phí sản xuất của công ty Suntory PepsiCo
* Quy trình sản xuất PEPSI bao gồm một số bước chính:
Chuẩn bị nguyên liệu: Bước đầu tiên trong quy trình sản xuất là chuẩn bị các
nguyên liệu. Điều này bao gồm việc tìm kiếm và trộn các thành phần tạo nên công
thức PEPSI, như nước, siro fructose cao, màu caramel, axit phosphoric, caffeine
và hương liệu tự nhiên.
Carbon hóa: Sau khi chuẩn bị các nguyên liệu, chúng được carbon hóa. Carbon
hóa là quá trình thêm khí carbon dioxide vào chất lỏng để tạo ra bong bóng đặc trưng của soda.
Đóng chai và đóng gói: Sau khi carbon hóa, PEPSI sau đó được đổ vào lon hoặc
chai, thường ở tốc độ cao bằng cách sử dụng máy đóng gói tiên tiến . Các lon hoặc 1
chai sau đó được niêm phong và dán nhãn.
Kiểm soát chất lượng: Trước khi được vận chuyển đi, các sản phẩm phải qua các
kiểm tra kiểm soát chất lượng để đảm bảo đúng mức carbon hóa, mức độ đầy và độ bền của bao bì.
Phân phối và lưu trữ: Bước cuối cùng trong quá trình sản xuất là phân phối và
lưu trữ sản phẩm hoàn thiện. PEPSI được vận chuyển đến các kho và trung tâm
phân phối, nơi nó được lưu trữ cho đến khi được bán cho các nhà bán lẻ và người tiêu dùng. * Về mặt chi phí
Chi phí để sản xuất một chai PEPSI khá thấp. Cụ thể, nhà cung cấp trả khoảng 21 đô la
cho mỗi thùng, tương đương với khoảng 0,90 đô la cho mỗi chai, và mang lại cho nhà sản
xuất (Coca-Cola hoặc PEPSI) khoảng 0,60 đô la lợi nhuận gộp cho mỗi chai soda. Tuy
nhiên, cần lưu ý rằng chi phí này có thể thay đổi tùy thuộc vào các nhà đóng chai.
Ngoài ra, chi phí hàng hóa đã bán của PepsiCo cho năm 2022 là 40,576 tỷ đô la, tăng
9,44% so với năm 2021. Chi phí hoạt động hàng năm của PepsiCo cho năm 2022 là 74,88
tỷ đô la, tăng 9,61% so với năm 2021.
Chi phí cố định và chi phí biến đổi của PEPSI có thể bao gồm nhiều yếu tố khác nhau,
bao gồm chi phí nguyên liệu, chi phí sản xuất, chi phí nhân công, chi phí vận chuyển và
phân phối, cũng như chi phí quảng cáo và tiếp thị.
Tuy nhiên, thông tin cụ thể về chi phí cố định và chi phí biến đổi của PEPSI không
được công bố công khai. Để ước tính các hàm chi phí của hãng, chúng ta cần có thông tin
chi tiết hơn về cấu trúc chi phí của hãng, bao gồm tỷ lệ chi phí cố định và biến đổi, cũng
như các yếu tố khác có thể ảnh hưởng đến chi phí, như biến động giá cả nguyên liệu,
lương lao động, và chi phí vận chuyển.
Đây chỉ là một ví dụ giả định về hàm chi phí dựa trên thông tin có sẵn và các giả định
cụ thể. Để xây dựng một hàm chi phí chính xác hơn, cần có dữ liệu chi tiết và thông tin cụ thể hơn từ PepsiCo.
Để đưa ra hàm chi phí thực tế của PEPSI, chúng ta cần phải xem xét cả chi phí cố định
và chi phí biến đổi. Một hàm chi phí cơ bản có thể được biểu diễn như sau: Hàm chi phí của Pepsi:
Để xác định hàm chi phí cho Pepsi, chúng ta sẽ tập trung vào chi phí sản xuất chai Pepsi.
1. Chi phí cố định: Có thể giả định một số chi phí cố định như chi phí nghiên cứu và
phát triển công thức, chi phí quản lý nhà máy sản xuất, chi phí vận chuyển nguyên liệu,
và chi phí marketing chiến dịch quảng cáo Pepsi.
2. Chi phí biến đổi: Dựa trên thông tin từ nguồn tham khảo, giả định mức giá nguyên
liệu và chi phí sản xuất một chai Pepsi. Ví dụ:
- Giá nguyên liệu (chẳng hạn như nước, siro fructose cao, màu caramel, axit phosphoric,
caffeine và hương liệu tự nhiên) có thể ước lượng tương đối.
- Chi phí vận chuyển và đóng gói sản phẩm.
- Chi phí nhân công trực tiếp tham gia sản xuất.
Phương trình chi phí tổng cộng:
Chi phí tổng cộng = Chi phí cố định + (Chi phí biến đổi x Sản lượng)
Áp dụng công thức tính toán: Giả định:
- Chi phí cố định: 50 triệu đồng (bao gồm các chi phí quản lý, nghiên cứu, vận chuyển nguyên liệu)
- Chi phí biến đổi: 5.000 đồng/chai
- Sản lượng: 1 triệu chai Pepsi-Cola
Chi phí tổng cộng = 50,000,000 + (5,000 x 1,000,000)
Chi phí tổng cộng = 50,000,000 + 5,000,000,000
Chi phí tổng cộng = 5,050,000,000 đồng
Tuy nhiên, do thiếu thông tin cụ thể, không thể đưa ra một ước lượng chính xác về chi
phí cố định và chi phí biến đổi của PEPSI. Chúng ta cũng cần lưu ý rằng hàm chi phí trên
đây là một ước lượng đơn giản và có thể không phản ánh đầy đủ các yếu tố chi phí phức
tạp trong thực tế. Để có được một ước lượng chính xác hơn, chúng ta cần có thông tin chi
tiết hơn về cấu trúc chi phí của PEPSI.
2.3. Cầu của sản phẩm PEPSI trên địa bàn Việt Nam giai đoạn từ 2021 đến 2023
Dựa trên thông tin từ các nguồn tin cậy, Suntory PepsiCo tiếp tục giữ vị trí dẫn đầu
trong Top 10 “công ty đồ uống không cồn đáng tin cậy tại Việt Nam” vào năm 2021.
- Công ty TNHH Nước giải khát Suntory PepsiCo Việt Nam vẫn là công ty nước giải
khát lớn nhất Việt Nam xét về giá trị, được củng cố bởi vị trí dẫn đầu về nước giải khát
có ga, nước trái cây, nước đóng chai và đồ uống thể thao.
- Tại Việt Nam, với hơn 10 năm hoạt động trong lĩnh vực đồ ăn vặt, PepsiCo Foods Việt
Nam là một trong những công ty hàng đầu về sản xuất đồ ăn nhẹ với các thương hiệu
chính bao gồm Lay’s, Quaker, Poca'. PepsiCo Foods Việt Nam đã đầu tư hơn 500 triệu
USD vào Việt Nam và tạo ra khoảng 3.000 việc làm trên toàn quốc.
Dẫn đầu thị trường đồ uống không cồn, năm 2022 Suntory PepsiCo đạt doanh thu
hơn 23.700 tỷ đồng (tiêu thụ khoảng hơn 2.2 triệu lon) và hơn 3000 tỷ đồng lợi nhuận sau thuế.
Thị trường nước giải khát Việt Nam đang trở thành một thị trường tiềm năng và sôi động. Giá bán lẻ khoảng
một lon và thùng 24 lon nước ngọt Pepsi Cola 10.600 đồng
320ml khoảng 250.000 đồng. Nước ngọt Pepsi Cola chai 390ml: dạng chai nhựa
tiện lợi, lại tiết kiệm hơn, hương vị vẫn thơm ngon, có nắp vặn có thể bảo quản dễ
dàng khi chưa sử dụng hết mà không sợ ngã đổ, dễ mang theo bên mình.
Năm 2022, thu nhập bình quân 1 người 1 tháng theo giá hiện hành đạt khoảng
4,673 triệu đồng, tăng 11,1% so với năm 2021. Thu nhập bình quân/tháng năm
2022 ở khu vực thành thị đạt 5,945 triệu đồng. Con số này đã tăng gần 10,6% so
với năm 2018 và tăng 11% so với năm 2021.
Chúng ta có thể ước lượng hàm cầu của PEPSI dựa trên một số giả định. Giả sử rằng
cầu cho PEPSI tại Việt Nam phụ thuộc chủ yếu vào giá của PEPSI (P) và thu nhập bình
quân đầu người (Y). Khi đó, hàm cầu có thể được biểu diễn như sau: Qd= a x P^(−b) x Y^(c) Trong đó:
Qd là số lượng PEPSI được tiêu thụ (2,2 triệu lon)
P là giá của PEPSI (10,600đ)
Y là thu nhập bình quân đầu người (4,673 triệu đồng)
a, b, c là các hệ số cần được ước lượng dựa trên dữ liệu thực tế
=> Hàm cầu của PEPSI dựa trên số liệu tương đối, có dạng:
1,000,000đ = a x 10,600^(-b) x 4,673,000^(c)
Hàm doanh thu cận biên (MR) có thể được tính toán từ hàm cầu và hàm doanh thu tổng (TR): TR=P x Qd MR= d(TR) / d(Q)
2.4. Lựa chọn giá và sản lượng của PEPSI để tối đa hóa lợi nhuận trong giai đoạn từ 2021 đến 2023.
Để tối đa hóa lợi nhuận, PepsiCo cần xem xét cả giá và sản lượng.
Doanh thu của PepsiCo: Theo báo cáo, doanh thu của PepsiCo đã tăng lên
$91.617 tỷ vào cuối tháng 9 năm 2023, tăng 9.53% so với năm trước. Doanh thu
hàng năm của PepsiCo vào năm 2022 là $86.392 tỷ, tăng 8.7% so với năm 2021.
Vào năm 2021, doanh thu hàng năm của PepsiCo là $79.474 tỷ, tăng 12.93% so với năm 2020.
Thị trường Việt Nam: Doanh số bán lẻ thực phẩm và đồ uống tại Việt Nam dự
kiến sẽ đạt 66.3 tỷ đô la Mỹ vào năm 2023.
Dưới đây là một cách tiếp cận để phân tích và đưa ra quyết định cụ thể: Phân tích về giá:
1. Đánh giá giá cả hiện tại: So sánh giá của Pepsi tại Việt Nam với giá cả cạnh tranh và
giá trung bình của các đối thủ cạnh tranh trong ngành đồ uống không cồn tại Việt Nam.
Một giá cả hợp lý nhưng cạnh tranh có thể thu hút khách hàng.
2. Phân tích độ nhạy cảm của cầu đối với giá: Sử dụng dữ liệu thị trường và lịch sử bán
hàng để đánh giá mức độ phản ứng của người tiêu dùng khi có thay đổi về giá cả.
3. Xem xét chiến lược giá: Cân nhắc việc thực hiện các chiến lược giá như giảm giá theo
khối lượng mua, chiến lược giá tương quan với các sản phẩm cạnh tranh, hoặc chiến lược giá theo thời gian.
Phân tích về sản lượng:
1. Đánh giá nhu cầu thị trường: Xem xét sự thay đổi trong nhu cầu của người tiêu dùng
tại Việt Nam đối với đồ uống không cồn, bao gồm cả Pepsi và các sản phẩm cạnh tranh.
2. Phân tích nhu cầu lượng tiêu thụ: Dựa trên dữ liệu thị trường và nhu cầu thực tế, ước
tính số lượng Pepsi có thể được tiêu thụ tại Việt Nam trong giai đoạn này.
3. Dự đoán và điều chỉnh sản lượng: Dựa trên thông tin về nhu cầu, điều chỉnh sản lượng
sản phẩm để đáp ứng nhu cầu của thị trường.
Kết hợp giữa giá và sản lượng:
1. Phân tích biên lợi nhuận: Tính toán biên lợi nhuận dựa trên giá và sản lượng để tìm ra
sự kết hợp tối ưu giữa giá cả và sản lượng đem lại lợi nhuận cao nhất.
2. Thử nghiệm các chiến lược: Từ những phân tích trên, thực hiện thử nghiệm với các
chiến lược giá và sản lượng khác nhau để xác định chiến lược tối ưu nhất.
3. Đánh giá rủi ro: Đánh giá rủi ro của việc thực hiện chiến lược mới, đặc biệt là mức độ
ảnh hưởng đối với thị phần và lợi nhuận nếu chiến lược không thành công.
Phân tích và quyết định cụ thể về giá và sản lượng của Pepsi cần sự kết hợp giữa dữ
liệu thị trường, đánh giá nhu cầu, và việc áp dụng chiến lược cạnh tranh và tối ưu hóa lợi nhuận.
2.5. Sự thay đổi sản lượng và lợi nhuận của PEPSI khi chi phí và cầu thay đổi.
Đối với Pepsi hoặc bất kỳ công ty nào trong ngành công nghiệp đồ uống, thay đổi chi
phí và cầu có thể ảnh hưởng đáng kể đến sản lượng và lợi nhuận. Dưới đây là phân tích
cụ thể về cách mà Pepsi có thể phản ứng khi chi phí và cầu thay đổi:
2.5.1. Khi chi phí thay đổi Khi chi phí tăng:
1. Hiệu ứng sản xuất: Pepsi có thể đối mặt với áp lực giảm sản xuất nếu chi phí tăng đáng
kể. Điều này có thể do chi phí nguyên liệu hoặc chi phí sản xuất tăng cao.
2. Chiến lược giá cả: Để duy trì lợi nhuận, Pepsi có thể tăng giá. Tuy nhiên, điều này có
thể dẫn đến giảm cầu từ phía người tiêu dùng. Khi chi phí giảm:
1. Tăng lợi nhuận: Pepsi có thể tận dụng việc giảm chi phí để tăng lợi nhuận hoặc duy trì
giá cả để thu hút người tiêu dùng từ các đối thủ cạnh tranh.
2. Tăng sản xuất: Nếu chi phí giảm mạnh, Pepsi có thể xem xét tăng sản xuất để đáp ứng
nhu cầu tăng từ thị trường.
Tác động đến quyết định về giá và sản lượng: Khi chi phí tăng, việc tối đa hóa lợi
nhuận có thể đòi hỏi sự điều chỉnh về giá cả hoặc sản lượng sản phẩm. Pepsi có
thể cần điều chỉnh giá để bù đắp chi phí tăng, hoặc giảm sản lượng để giảm chi phí sản xuất.
Rủi ro và chiến lược: Điều chỉnh giá và sản lượng có thể ảnh hưởng đến thị phần
và sức cạnh tranh của Pepsi trên thị trường. Rủi ro và cơ hội sẽ xuất hiện khi thực
hiện các chiến lược mới. 2.5.2. Khi cầu thay đổi Khi cầu tăng:
1. Tăng sản lượng và giá cả: Pepsi có thể tăng sản lượng sản phẩm và điều chỉnh giá để
tận dụng nhu cầu tăng cao. Điều này có thể dẫn đến tăng lợi nhuận.
2. Cần quản lý sản xuất: Pepsi cần đảm bảo rằng họ có đủ khả năng sản xuất để đáp ứng nhu cầu tăng lên. Khi cầu giảm:
1. Giảm sản xuất và giảm giá: Pepsi có thể cần giảm sản xuất để tránh tình trạng tồn kho
dư thừa. Họ cũng có thể giảm giá để kích thích nhu cầu, mặc dù điều này có thể dẫn đến giảm lợi nhuận.
2. Chiến lược tiếp thị: Pepsi cần xem xét các chiến lược tiếp thị để duy trì hoặc tăng cầu
trong tình huống cầu giảm.
Tác động đến quyết định về giá và sản lượng: Nếu cầu tăng, Pepsi có thể tăng giá
để tối đa hóa lợi nhuận, hoặc tăng sản lượng để đáp ứng nhu cầu cao hơn. Nếu cầu
giảm, Pepsi có thể cần điều chỉnh giá hoặc giảm sản lượng để tránh lãng phí hàng tồn kho.
Phản ứng của thị trường: Việc thay đổi giá và sản lượng có thể ảnh hưởng đến thị
phần và hình ảnh của Pepsi trong mắt người tiêu dùng. Đôi khi, việc tối đa hóa lợi
nhuận không thể thực hiện mà vẫn duy trì lòng trung thành của khách hàng. Kết luận:
- Sự thay đổi về chi phí hoặc cầu sẽ đặt ra nhiều thách thức và cơ hội trong việc quản lý
giá và sản lượng của Pepsi để tối đa hóa lợi nhuận.
- Việc thay đổi chi phí hoặc cầu yêu cầu Pepsi phải linh hoạt và nhanh chóng thích ứng
để duy trì hoặc tối đa hóa lợi nhuận, đồng thời vẫn đảm bảo rằng các quyết định không
ảnh hưởng quá mức đến thị phần và uy tín của sản phẩm.
→ Đối với Pepsi, việc đưa ra quyết định sẽ phụ thuộc vào nhiều yếu tố như cấu trúc chi
phí của họ, mức độ đàn đoán về độ đàn hồi giá của sản phẩm và độ cạnh tranh trong thị
trường. Chúng cũng có thể cần sử dụng các chiến lược tiếp thị sáng tạo để duy trì hoặc
tăng cường thị phần khi chi phí hoặc cầu thay đổi.
Để phân tích sự thay đổi sản lượng và lợi nhuận của Pepsi khi chi phí và cầu thay đổi,
chúng ta có thể tiếp cận như sau:
CHƯƠNG III. MỘT SỐ KẾT LUẬN VÀ GIẢI PHÁP
3.1. Một số kết luận rút ra qua nghiên cứu
Qua nghiên cứu lựa chọn sản phẩm để lợi nhuận tối ưu, có thể rút ra một số kết luận sau:
Lợi nhuận tối đa hóa là mục tiêu quan trọng của doanh nghiệp. Doanh nghiệp cần
xác định rõ mục tiêu lợi nhuận tối đa hóa để đưa ra quyết định lựa chọn sản phẩm phù hợp.
Lựa chọn sản lượng để lợi nhuận tối đa hóa phụ thuộc vào nhiều yếu tố, bao gồm
nhu cầu thị trường, chi phí sản xuất, khả năng cạnh tranh,... Doanh nghiệp cần cân
nhắc các yếu tố này một cách cẩn trọng để đưa ra quyết định lựa chọn sản phẩm tối
Qua việc tìm hiểu về doanh nghiệp cạnh tranh độc quyền, chúng ta có thể hiểu rõ hơn
về các đặc trưng, đường cầu, doanh thu và cách thức mà doanh nghiệp lựa chọn sản
lượng để tối đa hóa lợi nhuận trong ngắn hạn
3.1.1. Những thành công của công ty Suntory PepsiCo trong việc lựa chọn sản lượng
và giá để tối đa hóa lợi nhuận giai đoạn từ 2021 đến 2023
Suntory PepsiCo Việt Nam (SPVB) là một trong những công ty nước giải khát hàng
đầu tại Việt Nam, với thị phần hơn 50%. Trong giai đoạn từ 2021 đến 2023, SPVB đã đạt
được những thành công đáng kể trong việc lựa chọn sản lượng và giá để tối đa hóa lợi nhuận.
Về sản lượng, SPVB đã có sự tăng trưởng ổn định, từ 17,2 nghìn tỷ đồng năm 2020
lên 23,7 nghìn tỷ đồng năm 2022, tương đương với mức tăng trưởng 36,3%. Sự tăng
trưởng này chủ yếu đến từ việc SPVB đã mở rộng danh mục sản phẩm, đồng thời đẩy
mạnh hoạt động tiếp thị và phân phối.
Về giá, SPVB đã có sự điều chỉnh linh hoạt, phù hợp với tình hình thị trường. Cụ thể,
trong năm 2022, khi giá nguyên vật liệu tăng cao, SPVB đã có sự điều chỉnh tăng giá một
số sản phẩm, nhưng mức tăng không quá lớn để không ảnh hưởng đến sức mua của người tiêu dùng.
Nhờ những thành công trong việc lựa chọn sản lượng và giá, SPVB đã đạt được những
kết quả kinh doanh ấn tượng trong giai đoạn từ 2021 đến 2023. Cụ thể, lợi nhuận sau thuế
của SPVB đã tăng từ 2,5 nghìn tỷ đồng năm 2020 lên 3 nghìn tỷ đồng năm 2021 và 3,3 nghìn tỷ đồng năm 2022.
Dưới đây là một số yếu tố chính góp phần vào thành công của SPVB trong việc lựa
chọn sản lượng và giá để tối đa hóa lợi nhuận:
Chiến lược phát triển sản phẩm đa dạng, đáp ứng nhu cầu ngày càng cao của người tiêu dùng.
Hoạt động tiếp thị và phân phối hiệu quả, giúp đưa sản phẩm đến tay người tiêu
dùng một cách nhanh chóng và thuận tiện.
Khả năng kiểm soát chi phí hiệu quả, giúp duy trì biên lợi nhuận cao.
Trong thời gian tới, SPVB tiếp tục đẩy mạnh chiến lược phát triển sản phẩm đa dạng,
đồng thời đầu tư cho hoạt động tiếp thị và phân phối. Bên cạnh đó, SPVB cũng sẽ tiếp tục
nâng cao năng lực sản xuất và kiểm soát chi phí để duy trì vị thế dẫn đầu trên thị trường
nước giải khát Việt Nam.
3.1.2. Những hạn chế và nguyên nhân của hạn chế
* Lựa chọn sản lượng để tối đa hóa lợi nhuận là một trong những mục tiêu quan trọng của
doanh nghiệp. Tuy nhiên, việc lựa chọn này cũng có những hạn chế sau:
- Hạn chế về mặt lý thuyết:
Khái niệm lợi nhuận tối đa hóa là một khái niệm tương đối mơ hồ và khó xác định. Lợi
nhuận có thể được đo lường theo nhiều cách khác nhau, chẳng hạn như lợi nhuận trước
thuế, lợi nhuận sau thuế, lợi nhuận trên vốn chủ sở hữu,... Doanh nghiệp có thể lựa chọn
cách đo lường lợi nhuận phù hợp với mục tiêu và chiến lược kinh doanh của mình. Tuy
nhiên, việc lựa chọn cách đo lường lợi nhuận khác nhau sẽ dẫn đến kết quả sản lượng tối
đa hóa lợi nhuận khác nhau.
- Hạn chế về mặt thực tế
Trong thực tế, doanh nghiệp thường phải đối mặt với nhiều yếu tố tác động đến việc
lựa chọn sản lượng, chẳng hạn như:
+ Yếu tố cạnh tranh: Doanh nghiệp phải cạnh tranh với các doanh nghiệp khác trên thị
trường để giành thị phần. Điều này có thể ảnh hưởng đến việc lựa chọn sản lượng của doanh nghiệp.
+ Yếu tố chi phí: Chi phí sản xuất là một yếu tố quan trọng ảnh hưởng đến lợi nhuận của
doanh nghiệp. Doanh nghiệp cần cân nhắc các yếu tố chi phí khi lựa chọn sản lượng.
+ Yếu tố nhu cầu thị trường: Nhu cầu thị trường là một yếu tố quan trọng ảnh hưởng đến
doanh số bán hàng của doanh nghiệp. Doanh nghiệp cần cân nhắc nhu cầu thị trường khi lựa chọn sản lượng.
* Nguyên nhân của hạn chế khi lựa chọn sản lượng để tối đa hóa lợi nhuận
Những hạn chế khi lựa chọn sản lượng để tối đa hóa lợi nhuận xuất phát từ nhiều nguyên nhân, bao gồm:
Sự phức tạp của thị trường: Thị trường là một hệ thống phức tạp, bao gồm nhiều
yếu tố tác động đến hoạt động của doanh nghiệp. Doanh nghiệp không thể kiểm
soát tất cả các yếu tố này, do đó, việc lựa chọn sản lượng để tối đa hóa lợi nhuận
cũng sẽ gặp nhiều khó khăn.
Sự không hoàn hảo của thông tin: Doanh nghiệp không thể có được tất cả thông
tin cần thiết về thị trường và hoạt động của doanh nghiệp. Điều này có thể dẫn đến
việc lựa chọn sản lượng không tối ưu.
Sự hạn chế về khả năng ra quyết định của con người: Con người là những chủ thể
có giới hạn về khả năng tư duy và ra quyết định. Do đó, việc lựa chọn sản lượng
để tối đa hóa lợi nhuận cũng có thể bị ảnh hưởng bởi yếu tố này.
3.2. Một số giải pháp nhằm gia tăng lợi nhuận cho công ty Suntory PepsiCo Việt Nam trong thời gian tới
* Tăng cường nghiên cứu thị trường: Doanh nghiệp cần tăng cường nghiên cứu thị trường
để hiểu rõ hơn về nhu cầu thị trường, xu hướng cạnh tranh,... Điều này sẽ giúp doanh
nghiệp đưa ra quyết định lựa chọn sản lượng phù hợp hơn.
* Tăng cường thu thập thông tin: Doanh nghiệp cần thu thập thông tin một cách đầy đủ
và chính xác về hoạt động của doanh nghiệp, bao gồm chi phí sản xuất, doanh số bán
hàng,... Điều này sẽ giúp doanh nghiệp đưa ra quyết định lựa chọn sản lượng chính xác hơn.
* Tăng cường đào tạo và phát triển nguồn nhân lực: Doanh nghiệp cần đào tạo và phát
triển nguồn nhân lực để nâng cao khả năng tư duy và ra quyết định của con người. Điều
này sẽ giúp doanh nghiệp đưa ra quyết định lựa chọn sản lượng hiệu quả hơn.
* Đề cao tính đổi mới và yếu tố văn hóa trong sản phẩm
Kể từ khi chính thức gia nhập thị trường Việt Nam vào năm 1994, Suntory PepsiCo
Việt Nam liên tục cho ra mắt các nhãn hàng nước giải khát có hương vị mới lạ. Không
chỉ mang đến trải nghiệm vị giác độc đáo, nhãn hàng của công ty còn cổ vũ người dùng
phát huy các giá trị văn hóa truyền thống, tự tin thể hiện phong cách khác biệt hay theo
đuổi lối sống lành mạnh.
Trong đó, Pepsi là nhãn hiệu nước giải khát hương cola có gas nổi tiếng toàn cầu,
mang giá trị lịch sử lâu đời nhất của Suntory PepsiCo. Với thông điệp “Cứ trẻ, cứ chất,
cứ Pepsi”, nhãn hàng không ngừng ra mắt sản phẩm mới, mang đến những trải nghiệm
sảng khoái, cổ vũ người trẻ sống hết mình và tận hưởng trọn vẹn mọi khoảnh khắc thú vị của cuộc sống.