



















Preview text:
TRƯỜNG ĐẠI HỌC THƯƠNG MẠI
VIỆN KẾ TOÁN-KIỂM TOÁN
ĐỀ TÀI THẢO LUẬN
HỌC PHẦN: KINH TẾ VI MÔ 1 ĐỀ TÀI
PHÂN TCH SỰ LỰA CHỌN SẢN LƯỢNG ĐỂ TỐI ĐA HÓA LỢI NHUẬN CỦA
CÔNG TY TRƯỜNG FOODS GIAI ĐOẠN TỪ 2021-2023 NHÓM: 8 LỚP HP: 241_MIEC0111_13
GIẢNG VIÊN HƯỚNG DẪN: NINH TH HONG LAN NĂM HỌC : 2024-2025 1
CỘNG HÒA XÃ HỘI CHỦ NGHĨA VIỆT NAM
Độc lập – Tự do – Hạnh phúc
BIÊN BẢN HỌP NHÓM THẢO LUẬN
Nhóm……8… Lớp…241-MIECO111-13………..
Thời gian: 9 giờ 00 phút, ngày 6 tháng 11 năm 2024 Địa điểm:
Tầng 6 thư viên Trường đại học Thương Mại
Thành phần: Toàn bộ thành viên nhóm…8…. học phần môn Có mặt: 9
Vắng mặt: …0…Trong đó: Vắng có phép: Vắng không phép:
Nội dung cuộc họp: Trình bày ý tưởng, thảo luận, thống nhất ý kiến Phân công công việc
Bàn luận để hiểu rõ hơn về các loại thị trường. Cụ thể, đi tìm hiểu thị trường cạnh tranh độc quyền.
Nghiên cứu về cách tối ưu hóa lợi nhuận trong ngắn hạn của thị trường cạnh tranh độc quyền.
– Lấy ví dụ và nghiên cứu sâu về Công ty Trường Foods, chứng minh cách tối
ưu hóa lợi nhuận của Công ty từ 20212024.
Rèn luyện ý thức trách nhiệm và tinh thần làm việcnhóm của mỗi thành viên trong nhóm.
Gắn kết mối quan hệ giữa các cá nhân. Từ đó, xây dựng một môi trường học
tập, thảo luận và làm việc nhóm lành mạnh. Kết luận 1. Lên ý tưởng
Nhóm trưởng nêu lại đề tài thảo luận
Các thành viên cùng nhau thảo luận và tìm hiểu thị trường cạnh tranh độc
quyền và cách tối ưu hóa lợi nhuận của thị trường cạnh tranh độc quyền trong ngắn hạn.
Tìm Công ty hay doanh nghiệp phù hợp với đề bài.
Tìm tài liệu và phác thảo nội dung cho đề tài thảo luận. 2
Thảo luận về phương pháp trình bày.
Lựa chọn phần sẽ thuyết trình trước lớp.
2. Thống nhất, phân công nhiệm vụ: a, Nội dung:
Mở đầu + Kết luận: Nguyễn Thu Phương
Chương 1: Nguyễn Thị Hương Quỳnh, Phạm Quang Thành Chương 2: 2.1: Hoàng Đức Thịnh
2.2, 2.3: Phạm Thị Mỹ Tâm, Nguyễn Thị Tú Quyên 2.4: Trần Phương Thanh 2.5: Nguyễn Duy Phúc
Chương 3: Trần Thu Thảo
Cuộc họp kết thúc vào lúc ……10.. giờ …30….. phút cùng ngày.
Hà Nội, ngày …6…. tháng …11…. Năm 2024 Nhóm trưởng Thư ký (Ký, ghi rõ họ và tên) (Ký, ghi rõ họ và tên)
Nguyễn Thị Hương Huỳnh Nguyễn Thu Phương 3
PHIẾU ĐÁNH GIÁ ĐIỂM CÁC THÀNH
VIÊN Nhóm…8….
Môn…… Kinh tế vi mô………
Lớp học phần: ……241-MIECO111-13…............ Điểm Điểm STT Lớp Số bu i cá Chữ cả Ghi H v ọ à tên sinh viên M SV tham gia nhân HC ký nh m ó chú h p nh ọ m ó tự chấm nhận 1 Nguyễn Duy Phúc 24D260034 K60EK1 2 Nguyễn Thu Phương 24D260035 K60EK1 3 Nguyễn Thị Tú Quyên 24D260036 K60EK1 4
Nguyễn Thị Hương Quỳnh 24D290042 K60DK1 5 Phạm Thị Mỹ Tâm 24D290043 K60DK1 6 Trần Phương Thanh 24D260037 K60EK1 7 Phạm Quang Thành 24D260038 K60EK1 8 Trần Thu Thảo 24D290044 K60DK1 9 Hoàng Đức Thịnh 24D260040 K60EK1
Hà Nội, ngày …6…. tháng …11…. năm 2024
Xc nhận ca thư ký
Xc nhận ca nhóm trưởng
Nguyễn Thu Phương Nguyễn Thị Hương Huỳnh 4 MỤC LỤC
Lời mở đầu .......................................................................................................................... 7
Chương 1: Một số lý luận cơ bản về sự lựa chọn sản lượng và lợi nhuận của hãng cạnh
tranh độc quyền trong ngắn hạn ........................................................................................ 8
1.1 THỊ TRƯỜNG CẠNH TRANH ĐỘC QUYỀN .................................................................. 8
1.1.2 Đường cầu và đường doanh thu cận biên của hãng cạnh tranh độc quyền ....... 8
1.2 LỰA CHỌN SẢN LƯỢNG VÀ LỢI NHUẬN CỦA HÃNG CTDQ TRONG NGẮN HẠN ....... 9
1.2.2 Khả năng sinh lợi của hãng CTDQ trong ngắn hạn .............................................. 9
1.2.3 Cạnh tranh độc quyền không tồn tại đường cung ............................................ 10
1.2.4 Sự mất mát phúc lợi xã hội do cạnh tranh độc quyền ...................................... 10
1.3 SỰ THAY ĐỔI SẢN LƯỢNG VÀ LỢI NHUẬN CỦA HÃNG CẠNH TRANH ĐỘC QUYỀN
TRONG NGẮN HẠN ......................................................................................................... 10
1.3.1 Sự thay đi sản lượng và lợi nhuận do chi phí thay đi ................................... 10
1.3.2 Sự thay đổi về sản lượng và lợi nhuận do cầu thay đổi .................................... 12
Chương 2:Phân tích sự lựa chọn sản lượng và lợi nhuận của công ty Trường foods
trong giai đoạn từ 2021-2023 2.1. GIỚI THIỆU VỀ CÔNG TY TRƯỜNG FOODS .............. 17
2.1.1 Lịch sử hình thành và phát triển ........................................................................ 17
2.1.2. Lĩnh vực sản xuất kinh doanh ........................................................................... 18
2.1.3 Tình hình hiện tại của công ty Trường Foods .................................................... 18
2.2. SẢN XUẤT VÀ CHI PHÍ SẢN XUẤT CỦA CÔNG TY TRƯỜNG FOODS ........................ 21
2.2.1. Các đầu vào và đầu ra ....................................................................................... 21
2.2.2. Mối quan hệ giữa đầu vào và đầu ra ................................................................ 24
2.2.3. Phân tích chi phí của Công ty Trường Foods .................................................... 25
2.2.4. Hàm chi phí của Công ty Trường Foods ............................................................ 26
2.3. CẦU CỦA SẢN PHẨM THỊT CHUA TRÊN ĐỊA BÀN VIỆT NAM GIAI ĐOẠN TỪ 2021
ĐẾN 2023 ........................................................................................................................ 30
2.3.1. Phân tích cầu sản phẩm thịt chua..................................................................... 30
2.3.2. Xây dựng hàm cầu ............................................................................................ 33
2.3.3. Tính toán hàm doanh thu cận biên .................................................................. 36 5
2.4. LỰA CHỌN GIÁ VÀ SẢN LƯỢNG CỦA CÔNG TY TRƯỜNG FOODS ĐỂ TỐI ĐA HÓA
LỢI NHUẬN TRONG GIAI ĐOẠN TỪ 2021 ĐẾN 2023...................................................... 36
2.4.1. Phân tích tình huống ......................................................................................... 36
2.4.2. Tìm sản lượng tối ưu ......................................................................................... 39
2.5. SỰ THAY ĐỔI SẢN LƯỢNG VÀ LỢI NHUẬN CỦA CÔNG TY TRƯỜNG FOODS KHI CHI
PHÍ VÀ CẦU THAY ĐỔI .................................................................................................... 39
2.5.1. Khi chi phí thay đổi ........................................................................................... 39
2.5.2. Khi cầu thay đổi ................................................................................................ 41
Chương 3. Một số kết luận và giải pháp .......................................................................... 43
3.1 MỘT SỐ KẾT LUẬN RÚT RA QUA NGHIÊN CỨU ....................................................... 43
3.1.1. Những thành công của công ty Trường Foods trong việc lựa chọn sản lượng và
giá để tối đa hóa lợi nhuận giai đoạn từ 2021 đến 2023 ........................................... 43
3.2. MỘT SỐ GIẢI PHÁP NHẰM GIA TĂNG LỢI NHUẬN CỦA CÔNG TY TRƯỜNG FOODS
TRONG THỜI GIAN TỚI ................................................................................................... 45 6
Lời mở đầu
Kinh tế vi mô 1 là một trong những môn học nền tảng trong lĩnh vực kinh tế học,
đóng vai trò quan trọng trong việc phân tích hành vi của các cá nhân và doanh
nghiệp trong nền kinh tế. Môn học này nghiên cứu các yếu tố ảnh hưởng đến
quyết định tiêu dùng của hộ gia đình, quy trình sản xuất của doanh nghiệp, và sự
tương tác giữa cung và cầu trên thị trường. Một số nội dung nghiên cứu của học
phần này bao gồm lý thuyết về cầu và cung, lý thuyết chi phí và sản xuất, cấu trúc
thị trường, cũng như các phương pháp tối ưu hóa trong kinh doanh.
Một trong những vấn đề quan trọng mà kinh tế vi mô 1 đề cập đến là lựa chọn sản
lượng nhằm tối đa hóa lợi nhuận của doanh nghiệp trong thời gian ngắn hạn.
Trong ngắn hạn, doanh nghiệp không thể thay đi tất cả các yếu tố sản xuất
(chẳng hạn như thiết bị, nhà xưởng), chỉ có thể thay đi mức độ sử dụng các yếu
tố biến đi (như lao động và nguyên liệu) để điều chỉnh sản lượng. Việc lựa chọn
sản lượng phù hợp sẽ giúp doanh nghiệp tối đa hóa lợi nhuận trong bối cảnh
những yếu tố cố định không thể thay đi.
-Về mặt lý thuyết, trong bối cảnh ngắn hạn, các yếu tố sản xuất có thể được
chia thành hai nhóm: yếu tố cố định (không thể thay đi), yếu tố biến đi (có
thể biến đi). Trong bối cảnh này doanh nghiệp cần quyết định sản lượng
sao cho tng lợi nhuận đạt được là cao nhất, với việc tối ưu hóa sự kết hợp
giữa các yếu tố biến đi.
-Về mặt thực tiễn, việc lựa chọn sản lượng tối ưu để tối đa hóa lợi nhuận
trong ngắn hạn có những yếu tố thực tiễn đặc biệt quan trọng: quy mô sản
xuất và chi phí biến đi, sự thay đi trong nhu cầu và cạnh tranh, khả năng
sử dụng nguồn lực hiệu quả, chi phí cố định và rủi ro tài chính.
Để hiểu rõ lý thuyết cũng như cách áp dụng lý thuyết vào thực tế, nhóm
nghiên cứu sẽ tập trung vào việc phân tích quy trình lựa chọn sản lượng để tối ưu
hóa lợi nhuận của doanh nghiệp TRƯỜNG FOODS từ năm 20212023. Giả sử, thịt
chua sản xuất trong ngắn hạn cũng phải điều chỉnh sản lượng món ăn dựa trên
lượng khách tiêu thụ và chi phí nguyên liệu. Nếu sản xuất quá nhiều món ăn mà
không có đủ khách, sẽ dẫn đến thừa thi, không thể tiêu thụ hết và giảm lợi nhuận.
Nếu sản xuất quá ít, Công ty giảm doanh thu. Từ việc nghiên cứu sự cân bằng giữa
các yếu tố trên để tối đa hóa lợi nhuận của Công ty Trường Food từ năm
20212023, từ đó rút ra những bài học và giải pháp thực tiễn cho hoạt động sản xuất và kinh doanh. 7
Chương 1: Một số lý luận cơ bản về sự lựa chọn sản lượng và lợi nhu n c ậ
a hãng cạnh tranh độc quyền trong ngắn h n ạ
1.1 THỊ TRƯỜNG CẠNH TRANH ĐỘC QUYỀN
1.1.1 Khi niệm thị trường cạnh tranh độc quyền
Thị trường cạnh tranh độc quyền là một hình thức thị trường mà ở đó có nhiều
doanh nghiệp cung cấp các sản phẩm tương tự nhau nhưng không hoàn toàn giống
nhau, tức là các sản phẩm này có sự khác biệt về tính năng, thiết kế, thương hiệu
hoặc chất lượng (khác biệt hóa sản phẩm). Mỗi doanh nghiệp trong thị trường này
có một mức độ quyền lực nhất định, cho phép họ có thể ảnh hưởng đến giá cả sản
phẩm của mình, mặc dù vẫn có sự cạnh tranh với các sản phẩm khác. Quyền lực thị
trường của mỗi doanh nghiệp không mạnh như trong thị trường độc quyền, nhưng
cũng không hoàn toàn vắng mặt như trong thị trường cạnh tranh hoàn hảo. Ví dụ:
-Thị trường nước giải khát có ga: Các sản phẩm từ CocaCola, Pepsi, Sprite,
mặc dù cùng loại nước giải khát có ga, nhưng mỗi loại có những đặc điểm
khác nhau về hương vị, bao bì, và chiến lược tiếp thị.
-Thị trường ô tô: Các hng như Toyota, Honda, Ford sản xuất các loại ô tô
khác nhau về thiết kế, chất lượng và tính năng, nhưng chúng đều thuộc nhóm sản phẩm ô tô.
1.1.2 Đường cầu và đường doanh thu cận biên ca hãng cạnh tranh độc quyền
Đường cầu: Đối với các hng trong thị trường cạnh tranh độc quyền, đường
cầu của mỗi hng thường có dạng dốc xuống. Điều này thể hiện mối quan hệ
nghịch giữa giá và lượng cầu, tức là khi giá bán của sản phẩm giảm xuống,
lượng cầu sẽ tăng lên. Tuy nhiên, để bán được nhiều hàng hơn, các hng
phải giảm giá, và điều này ảnh hưởng đến khả năng sinh lợi.
Doanh thu cận biên (MR): Trong thị trường cạnh tranh độc quyền, doanh
thu cận biên luôn thấp hơn đường cầu. Điều này xuất phát từ việc khi hng
giảm giá để bán thêm một đơn vị sản phẩm, không chỉ đơn vị sản phẩm mới
mà cả những đơn vị đ bán trước đó đều phải bán với giá thấp hơn. Vì vậy,
MR luôn nằm dưới đường cầu. 8
1.2 LỰA CHỌN SẢN LƯỢNG VÀ LỢI NHUẬN CỦA HÃNG CTDQ TRONG NGẮN HẠN
1.2.1 Điều kiện tối đa hóa lợi nhuận ca hãng CTDQ trong ngắn hạn
Để tối đa hóa lợi nhuận trong ngắn hạn, hng cạnh tranh độc quyền sẽ lựa chọn
mức sản lượng mà tại đó doanh thu cận biên (MR) bằng chi phí cận biên (MC), tức
là MR = MC. Đây là nguyên tắc chung trong việc xác định sản lượng tối ưu để đạt
được lợi nhuận cao nhất. Tuy nhiên, một đặc điểm ni bật trong thị trường cạnh
tranh độc quyền là P > MC, tức là giá bán của sản phẩm sẽ luôn cao hơn chi phí
biên, điều này khác biệt so với thị trường cạnh tranh hoàn hảo, nơi mà P = MC.
1.2.2 Khả năng sinh lợi ca hãng CTDQ trong ngắn hạn
Lợi nhuận kinh tế dương: Khi tng doanh thu của hng nằm trên tng chi
phí, hng sẽ đạt lợi nhuận kinh tế dương. Điều này có nghĩa là doanh thu
không chỉ bù đắp chi phí sản xuất mà còn vượt qua chi phí cơ hội của các nguồn lực đ bỏ ra.
Ví dụ:Một hng sản xuất nước giải khát có ga như Pepsi có thể đạt được lợi
nhuận kinh tế dương nếu doanh thu bán sản phẩm của họ (sau khi trừ đi tất
cả chi phí, bao gồm chi phí cố định và chi phí biến đi) cao hơn chi phí sản
xuất. Ví dụ, hng sản xuất 1 triệu lon Pepsi mỗi tháng, và tng doanh thu từ
việc bán số lon này là 10 triệu USD. Nếu tng chi phí bao gồm cả chi phí cố
định và chi phí biến đi là 8 triệu USD, thì hng sẽ có lợi nhuận kinh tế
dương là 2 triệu USD (10 triệu USD - 8 triệu USD).
Lợi nhuận kinh tế bằng không: Khi tng doanh thu cắt đường tng chi phí
tại điểm cao nhất, hng chỉ có thể bù đắp được tất cả các chi phí, bao gồm
chi phí cố định và chi phí biến đi, nhưng không có lợi nhuận kinh tế dương.
Điều này có nghĩa là hng không tạo ra được lợi nhuận thực sự mà chỉ đạt
được mức hoàn vốn tối thiểu.
Ví dụ:Một công ty sản xuất giày dép có thể ở trạng thái lợi nhuận bằng
không nếu tng doanh thu từ việc bán giày của họ đúng bằng tng chi phí
sản xuất và chi phí cố định. Nếu họ bán được 100.000 đôi giày với giá 50
USD/đôi, thu về 5 triệu USD, nhưng chi phí tng cộng (bao gồm chi phí sản
xuất, nhân công, chi phí cố định như nhà xưởng, máy móc) cũng là 5 triệu
USD, thì công ty sẽ không có lợi nhuận kinh tế, chỉ đạt được mức hòa vốn.
Lỗ nhưng vẫn sản xuất: Nếu tng doanh thu nằm dưới tng chi phí biến
đi nhưng vẫn cắt đường chi phí cố định, hng có thể sẽ chịu lỗ nhưng vẫn
tiếp tục sản xuất. Điều này thường xảy ra trong ngắn hạn khi một công ty cố 9
gắng giảm thiểu tn thất và cố gắng duy trì hoạt động để vượt qua giai đoạn khó khăn.
Ví dụ:Một nhà hàng trong khu vực bị ảnh hưởng bởi đại dịch có thể gặp
phải tình trạng này. Giả sử tng doanh thu của nhà hàng này chỉ đủ để bù
đắp chi phí biến đi như nguyên liệu, nhân công, nhưng không đủ để trang
trải chi phí cố định như tiền thuê mặt bằng. Trong trường hợp này, nhà hàng
vẫn tiếp tục mở cửa và sản xuất trong ngắn hạn vì việc ngừng hoạt động
hoàn toàn sẽ dẫn đến mất mát lớn hơn (chi phí cố định vẫn phải trả dù không có doanh thu).
1.2.3 Cạnh tranh độc quyền không tồn tại đường cung
Do sự khác biệt về đường cầu của mỗi hng trong thị trường cạnh tranh độc quyền,
mỗi doanh nghiệp có thể điều chỉnh giá của mình để tối ưu hóa lợi nhuận. Chính vì
vậy, không có một đường cung duy nhất cho toàn bộ ngành, như trong thị trường
cạnh tranh hoàn hảo, nơi mà đường cung phản ánh khả năng sản xuất của tất cả các doanh nghiệp trong ngành.
1.2.4 Sự mất mt phúc lợi xã hội do cạnh tranh độc quyền
Mất mt phúc lợi: So với thị trường cạnh tranh hoàn hảo, trong thị trường
cạnh tranh độc quyền, do hng hạn chế sản lượng và đẩy giá lên cao, người
tiêu dùng phải trả giá cao hơn và sản lượng thấp hơn, điều này dẫn đến mất
mát phúc lợi cho x hội và người tiêu dùng. Cạnh tranh độc quyền không thể
đạt được mức thặng dư tiêu dùng tối đa vì quyền lực thị trường của các
doanh nghiệp khiến họ có thể định giá cao hơn và sản xuất ít hơn.
Nguyên nhân mất mt phúc lợi: Khi hng CTDQ có quyền lực thị trường,
họ có thể quyết định giảm sản lượng để giữ giá cao, từ đó làm giảm thặng dư
tiêu dùng và tạo ra một khu vực mất mát phúc lợi x hội
1.3 SỰ THAY ĐỔI SẢN LƯỢNG VÀ LỢI NHUẬN CỦA HÃNG CẠNH TRANH
ĐỘC QUYỀN TRONG NGẮN HẠN
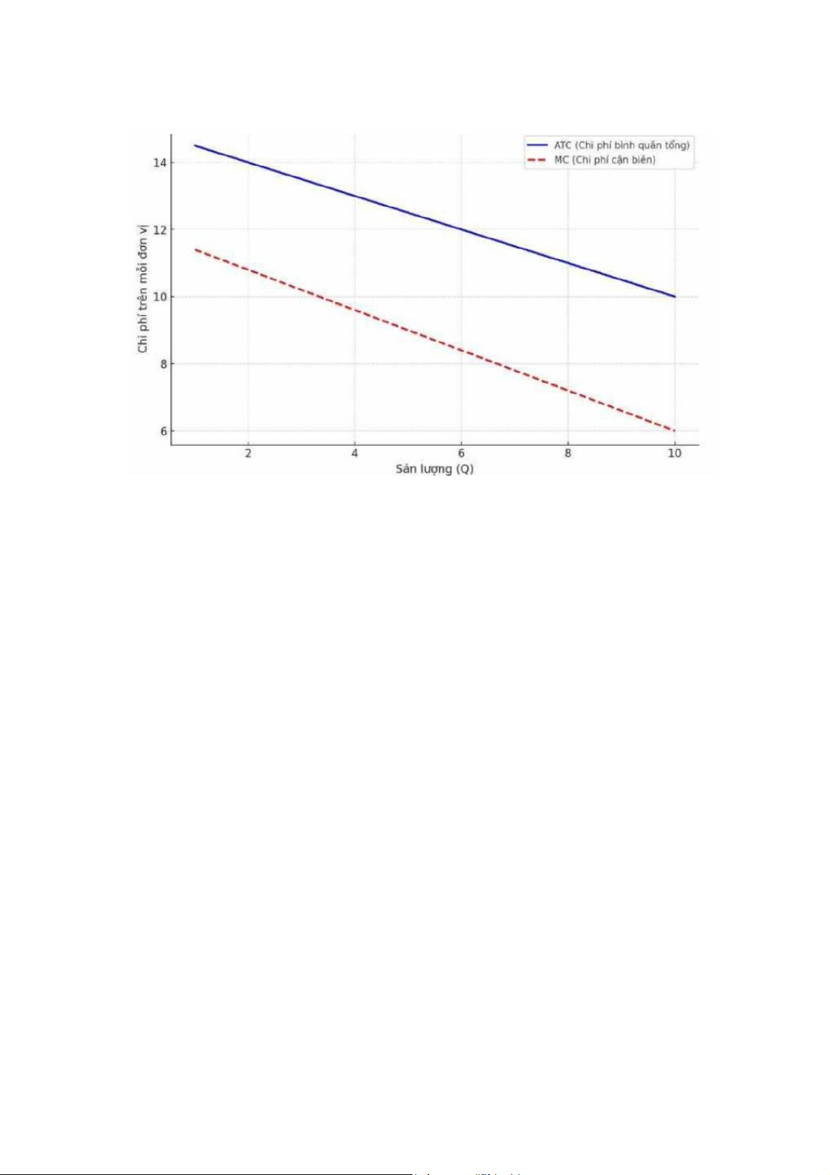
1.3.1 Sự thay đổi sản lượng và lợi nhuận do chi phí thay đổi
Khi chi phí thay đi, điều này sẽ dẫn đến nhiều sự thay đi trong quyết định sản
xuất và lợi nhuận của doanh nghiệp. Khi chi phí thay đi, các đường chi phí biên
(MC) và chi phí bình quân (ATC) sẽ dịch chuyển. Nếu chi phí giảm, đường MC và
ATC sẽ dịch chuyển xuống dưới, nghĩa là chi phí sản xuất mỗi đơn vị hàng hóa
giảm, giúp doanh nghiệp có thể tối đa hóa lợi nhuận ở mức sản lượng cao hơn hoặc
với giá bán thấp hơn, tùy thuộc vào tình hình thị trường và chiến lược giá cả của họ. 10
Dưới đây là hình minh hoạ :
Đối với đường MC và ATC khi dịch chuyển xuống dưới sẽ khuyến khích hng
cạnh tranh độc quyền tăng sản lượng sản xuất ra do chi phí sản xuất b sung thấp
hơn. Và với mức chi phí sản xuất giảm đi cũng sẽ làm cho chi phí của sản phẩm hạ
giá điều đó sẽ giúp lượng cầu tăng từ đó mà tăng được lượng sản phẩm bán ra. Đối
với lợi nhuận khi chi phí sản xuất giảm, mỗi đơn vị sản phẩm bán ra sẽ mang lại
lợi nhuận cao hơn do khoảng cách giữa giá bán và chi phí trung bình tăng lên, dẫn đến lợi nhuận tăng.
Khi chi phí có dấu hiệu tăng lên, đường MC, ATC sẽ có xu hướng tăng lên.
Dưới đây là hình minh hoạ : 11
Đối với đường MC và ATC khi dịch chuyển lên trên sẽ đem lại rất nhiều khó
khăn có hng CTĐQ, khi chi phí tăng lên sẽ khiến cho mỗi sản phẩm sẽ tiêu tốn
nhiều chi phí hơn và trong trường hợp này các hng CTĐQ sẽ có nhiều lựa chọn:
thứ nhất là tăng giá bán để phù hợp với chi phí sản xuất nhưng lại có thể khiến cho
lượng cầu giảm đi trong trường hợp sản phẩm không phải thiết yếu hoặc người dân
có thể tìm được thứ thay thế khác phù hợp hơn, thứ hai là hng CTĐQ giữ nguyên
giá thành sản phẩm để cạnh tranh với các hng khác nhưng điều đó sẽ làm giảm lợi
nhuận của các hng CTĐQ hoặc bên cạnh đó, các hng CTĐQ có thể giảm sản
lượng sản xuất ra để tối ưu hóa chi phí và lợi nhuận, giảm sản lượng cũng có thể là
cách để duy trì giá bán ở mức có thể chấp nhận được đối với người tiêu dùng.
1.3.2 Sự thay đổi về sản lượng và lợi nhuận do cầu thay đổi
Khi cầu thay đi, tác động của sự thay đi này đối với sản lượng và lợi nhuận của
hng cạnh tranh độc quyền là rất quan trọng. Sự thay đi này có thể là cầu tăng
hoặc cầu giảm, và mỗi trường hợp sẽ dẫn đến những thay đi rõ rệt trong đường
cầu, đường doanh thu cận biên (MR), cũng như chiến lược sản xuất và lợi nhuận
của các hng. Điều này không chỉ đơn giản là sự thay đi về số lượng sản phẩm mà
còn ảnh hưởng đến mức giá và tng doanh thu của các doanh nghiệp trong ngắn hạn. 12 a, Cầu tăng
Khi cầu đối với sản phẩm của một hng cạnh tranh độc quyền tăng, điều này có
nghĩa là người tiêu dùng sẵn sàng và có khả năng mua nhiều hơn sản phẩm đó tại
mỗi mức giá. Sự thay đi này dẫn đến đường cầu của hng dịch chuyển sang phải.
Mức cầu lớn hơn đồng nghĩa với việc hng có thể bán sản phẩm với số lượng nhiều
hơn mà không cần phải giảm giá quá mạnh, hoặc nếu có giảm giá, lượng cầu vẫn sẽ tăng mạnh.
Tc động đến đường cầu và MR:
Khi đường cầu dịch chuyển sang phải, đường doanh thu cận biên (MR) cũng
thay đi theo. Điều này là do MR không chỉ phụ thuộc vào mức giá bán của
sản phẩm mà còn liên quan đến sự thay đi về lượng cầu. Mỗi lần tăng sản
lượng để đáp ứng cầu cao hơn, doanh nghiệp sẽ thu được doanh thu cao hơn,
do đó MR cũng có xu hướng dịch chuyển lên hoặc ít nhất không bị giảm nhanh như khi cầu giảm.
Tc động đến sản lượng và lợi nhuận:
Do cầu tăng, hng sẽ có khả năng tăng sản lượng mà vẫn giữ được mức giá
bán tương đối n định, hoặc chỉ giảm nhẹ để thu hút thêm người mua. Sản
lượng tối ưu để tối đa hóa lợi nhuận sẽ tăng lên vì MR giờ đây cao hơn,
đồng thời lợi nhuận của hng sẽ tăng nếu chi phí sản xuất không thay đi
đáng kể. Sự tăng lên của sản lượng sẽ giúp hng đạt được lợi nhuận cao hơn
do doanh thu cao hơn trong khi chi phí cận biên (MC) có thể vẫn n định
hoặc tăng ở mức thấp. Ví dụ thực tế:
Giả sử hng sản xuất điện thoại di động như Samsung phát hiện ra rằng nhu
cầu đối với sản phẩm điện thoại của họ tăng mạnh trong mùa lễ hội. Sự tăng
trưởng về cầu khiến Samsung có thể sản xuất và bán được nhiều điện thoại
hơn mà vẫn duy trì được giá bán, hoặc có thể giảm giá một chút để thu hút
thêm khách hàng mà không lo lắng về việc giảm lợi nhuận. Doanh thu cận
biên tăng lên, khiến Samsung có thể tối đa hóa lợi nhuận bằng cách tăng sản lượng.
Dưới đây là đồ thị minh hoạ: 13
Khi cầu tăng ở mỗi mức giá, lượng cầu tăng lên, điều này có thể dẫn đến doanh thu
tng tăng điều này sẽ giúp cho hng CTĐQ bán được nhiều sản phẩm hơn và để
đáp ứng điều đó hng sẽ sản xuất và cung cấp nhiều sản phẩm hơn để đáp ứng nhu
cầu của thị trường và khi cầu tăng và hng có thể bán nhiều sản phẩm hơn hoặc
tăng giá, lợi nhuận của hng cũng sẽ tăng lên do doanh thu biên (MR) sẽ cao hơn
trong khi chi phí biên (MC) có thể không thay đi nhiều hoặc tăng ít hơn. Bên cạnh
đó, đường MR tăng do nhu cầu thị trường tăng cao, hng có thể duy trì hoặc thậm
chí tăng giá bán mà vẫn giữ được lượng khách hàng, vì nhu cầu mạnh mẽ hỗ trợ mức giá cao hơn. b, Cầu giảm
Ngược lại, khi cầu giảm, người tiêu dùng sẽ ít mua sản phẩm hơn tại mỗi mức giá.
Điều này sẽ khiến đường cầu của hng dịch chuyển sang trái, tức là lượng cầu
giảm xuống ở mọi mức giá. Khi cầu giảm, hng sẽ phải đối mặt với việc giảm sản
lượng, hoặc nếu vẫn tiếp tục sản xuất, hng có thể phải giảm giá để cố gắng duy trì
một lượng khách hàng nhất định. 14
Tc động đến đường cầu và MR:
Khi đường cầu dịch chuyển sang trái, đường MR cũng sẽ dịch chuyển xuống
dưới và sang trái. Doanh thu cận biên giảm khi sản lượng tăng lên, vì mỗi
đơn vị sản phẩm bán ra sẽ không đem lại nhiều doanh thu như trước. Đặc
biệt, nếu giảm giá để thúc đẩy cầu, mức doanh thu từ mỗi đơn vị bán ra sẽ
thấp hơn, dẫn đến MR giảm.
Tc động đến sản lượng và lợi nhuận:
Khi cầu giảm, để tối đa hóa lợi nhuận, hng sẽ phải giảm sản lượng để giảm
thiểu tn thất. Lượng sản phẩm bán ra sẽ ít hơn, và nếu hng không thể giảm
giá đủ sâu để thu hút khách hàng, doanh thu sẽ bị giảm mạnh. Điều này có
thể khiến hng phải đối mặt với việc lợi nhuận giảm hoặc thậm chí là thua
lỗ. Trong trường hợp này, doanh nghiệp phải đối diện với lựa chọn khó khăn
về việc có nên giảm giá để duy trì sản lượng hay không, hoặc có nên giảm
sản xuất để hạn chế tn thất. Ví dụ thực tế:
Một hng sản xuất xe hơi như Ford có thể gặp phải tình huống cầu giảm khi
nền kinh tế suy thoái. Khi người tiêu dùng hạn chế chi tiêu, họ có thể trì
hon việc mua xe mới, dẫn đến sự giảm sút mạnh trong cầu. Trong trường
hợp này, Ford sẽ phải giảm sản lượng và có thể phải giảm giá để thúc đẩy
nhu cầu. Tuy nhiên, mặc dù giảm giá có thể giúp bán được nhiều xe hơn,
nhưng do doanh thu cận biên giảm, lợi nhuận có thể vẫn bị giảm hoặc không
đủ để bù đắp chi phí cố định.
Dưới đây là đồ thị minh hoạ: 15
Khi cầu giảm, hng sẽ bán được ít sản phẩm hơn ở mỗi mức giá điều này sẽ
khiến cho hng CTĐQ buộc phải giảm sản lượng sản xuất để tránh tồn kho. Với
lượng cầu giảm, doanh thu tng của hng cũng sẽ giảm dẫn đến lợi nhuận giảm do
khoảng cách giữa MR và chi phí biên (MC) thu hẹp lại; nếu hng không điều chỉnh
được chi phí sản xuất tương ứng để cân bằng giữa lợi nhuận và chi phí sản xuất.
Và để có thể giữ được nhóm khách hàng khi cầu giảm thì các hng CTĐQ có thể
quyết định giảm giá bán sản phẩm. Tuy nhiên, điều này chỉ hiệu quả nếu cầu của
người tiêu dùng là co gin theo giá, tức là giá giảm sẽ giúp tăng lượng cầu đáng kể. 16
Chương 2:Phân tích sự lựa chọn sản lượng và lợi nhuận của
công ty Trường foods trong giai đoạn từ 2021-2023
2.1. GIỚI THIỆU VỀ CÔNG TY TRƯỜNG FOODS
2.1.1 Lịch sử hình thành và pht triển
Giới thiệu về công ty Trường Foods:
Công ty Trường Foods là một trong những thương hiệu ni bật trong ngành chế
biến thực phẩm tại Việt Nam, chuyên cung cấp các sản phẩm thực phẩm chế biến
sẵn, thực phẩm đông lạnh và thực phẩm tiêu dùng chất lượng cao đặc biệt là thịt
chua một sản phẩm ni tiếng từ Phú Thọ. Với hơn 20 năm phát triển, Trường
Foods đ khẳng định được vị thế vững chắc trong ngành thực phẩm Việt Nam và
từng bước mở rộng ra thị trường quốc tế. Thành lập:
Trường Foods có tiền thân cơ sở sản xuất thịt chua Nghị Thịnh. Một trong những
thương hiệu thịt chua đầu tiên và lâu đời tại Phú Thọ. Ban đầu là những công ty
nhỏ lẻ chủ yếu sản xuất để cung cấp cho các địa bàn lân cận, năng suất và doanh
thu thấp. Với sự đi mới và phát triển không ngừng ngày 02/06/2015, Trường
Foods được chính thức thành lập với tên đầy đủ là Công ty sản xuất và thương mại
Trường Foods , có trụ sở chính tại Phố Ba Mỏ Thị trấn Thanh Sơn Huyện Thanh Sơn Tỉnh Phú Thọ.
Giai đoạn phát triển của công ty Trường Foods: Giai đoạn thành lập:
Xác định mục tiêu phát triển: mục tiêu cung cấp các sản phẩm chế biến,
thực phẩm thịt chua đến thị trường trong nước, bắt đầu sản xuất các mặt hàng
chiến lược về thịt chua.Giai đoạn đầu chỉ là những cơ sở nhỏ chủ yếu bán cho
những vùng lân cận, doanh thu thấp, ít được người tiêu dùng chú ý và quan tâm.
Giai đoạn phát triển thương hiệu và mở rộng sản xuất:
Đẩy mạnh phát triển thương hiệu và quảng bá sản phẩm: Trường Foods
chú trọng vào việc xây dựng thương hiệu quảng bá và tạo dựng niềm tin người
tiêu dùng thông qua các mạng x hội, chất lượng sản phẩm và dịch vụ chăm
sóc khách hàng.Mở rộng sản xuất và phân phối: Với sự phát triển và không
ngừng, Trường Foods đ mở rộng quy mô sản xuất và phân phối không chỉ tập 17
trung vào những khu vực nhỏ lẻ nữa mà đ có mặt trên nhiều tỉnh thành của đất
nước, xây dựng các cơ sở sản xuất các kênh bán lẻ hiện đại như siêu thị, cửa
hàng tiện lợi.Đầu tư công nghệ hiện đại, nâng cao cơ sở hạ tầng: Trường Foods
đ đầu tư vào công nghệ sản xuất hiện đại, đảm bảo chất lượng sản phẩm và
năng suất luôn ở mức cao nhất.
Giai đoạn đưa sản phẩm ra thị thường trong nước và quốc tế:
Nghiên cứu thị trường quốc tế: Trường Foods bắt dầu nghiên cứu thị
trường tiềm năng xây dựng các mối quan hệ đối tác. Điều chỉnh sản phẩm
để: điều chỉnh cải tiến một số sản phẩm của mình để có thể phù hợp sở
thích và tiêu chuẩn chất lượng quốc tế. Chứng nhận quốc tế: TRường
Foods bắt đầu tiến hành các bước để đạt được các chứng nhận quốc tế để
sản phẩm của mình có thể xuất khẩu vào các thị trường yêu cầu nghiêm ngặt về chất lượng.
Giai đoạn định hướng phát triển bền vững:
Xác định tầm nhìn và sứ mệnh của công ty: đề ra mục tiêu dài hạn với công
ty, xác định sứ mệnh đối của công ty đối với sự phát triển bền vững của
nghành thực phẩm và sức khoẻ x hội. Phát triển bền vững gắn với trách
nghiệm x hội: xây dựng các chiến lược sản xuất bền vững nhưng không
quên bảo vệ môi trường, giảm rác thải sản xuất, sử dụng nguồn nguyên liệu sạch….
2.1.2. Lĩnh vực sản xuất kinh doanh
Sản phẩm chính: Trường food chuyên sản xuất các sản phẩm thịt chua đặc
biệt sản xuất 8 loại thịt chua khác nhau bao gồm: Thịt chua vị tỏi ớt, Thịt
chua vị truyền thống, Thịt chua ống nứa, Thịt chua bì sần sật, Nem sợi, Thịt
chua heo ăn chay, Thịt chua heo ăn ống nứa và nem chua đi mới
Dòng sản phẩm khc: Ngoài thịt chua, công ty cũng sản xuất một số sản
phẩm một số sản phẩm chế biến sn như giò chả cùng với các thực phẩm đông lạnh.
2.1.3 Tình hình hiện tại ca công ty Trường Foods
Công ty Trường Foods đ có một hành trình phát triển ấn tượng sau hơn 9 năm
thành lập và hoạt động trong ngành sản xuất và thương mại thực phẩm. Đến nay,
công ty đ đạt được những thành tựu đáng chú ý và cũng phải đối mặt với không ít
thách thức. Dưới đây là phân tích chi tiết về tình hình hiện tại của Trường Foods: 18
Thành tựu nổi bật ca Trường Foods:
Sản lượng tiêu thụ lớn: Trường Foods hiện nay bán trung bình khoảng
2.500.000 hộp thịt chua mỗi năm. Đây là con số ấn tượng, cho thấy mức độ
ph biến của sản phẩm và khả năng phân phối rộng ri trong thị trường.
Thành tựu này không chỉ chứng tỏ sự thành công trong việc xây dựng
thương hiệu mà còn là minh chứng cho chiến lược marketing và phân phối hiệu quả của công ty.
Hệ thống phân phối rộng khắp: Với 10.000 điểm bán trên toàn quốc,
Trường Foods đ xây dựng được một mạng lưới phân phối vững mạnh.
Mạng lưới này giúp công ty không chỉ giữ vững thị phần trong nước mà còn
mở rộng sự hiện diện của mình ở nhiều khu vực. Hệ thống phân phối rộng
khắp là yếu tố quan trọng giúp công ty duy trì vị thế cạnh tranh trong một
ngành có sự cạnh tranh khốc liệt.
Xuất khẩu quốc tế ngày càng mạnh mẽ: Trường Foods không chỉ thành
công trong thị trường trong nước mà còn khẳng định sự uy tín trên thị trường
quốc tế. Sản lượng xuất khẩu của công ty đang tăng trưởng mạnh mẽ, điều
này chứng tỏ sản phẩm của Trường Foods được người tiêu dùng quốc tế tin
tưởng và yêu thích. Sự phát triển này mở ra cơ hội lớn để công ty gia tăng
doanh thu và mở rộng thương hiệu toàn cầu.
Doanh thu cao và ổn định: Công ty duy trì được doanh thu hàng năm ở
mức cao, một yếu tố quan trọng chứng tỏ hiệu quả trong hoạt động sản xuất,
phân phối và quản lý. Đây là cơ sở giúp công ty tiếp tục phát triển và đầu tư
vào công nghệ, nghiên cứu và phát triển sản phẩm.
Chứng chỉ quốc tế và tiêu chuẩn chất lượng: Trường Foods đạt được các
chứng chỉ quốc tế như VietGap về nguyên liệu, ISO 22000 về vệ sinh an
toàn thực phẩm. Điều này không chỉ giúp nâng cao uy tín công ty mà còn
đảm bảo sản phẩm luôn đáp ứng các yêu cầu khắt khe về chất lượng và an
toàn thực phẩm. Những chứng chỉ này còn giúp công ty xây dựng được niềm
tin với người tiêu dùng và đối tác quốc tế.
Tình hình hiện tại ca công ty:
Tăng trưởng trong lĩnh vực thực phẩm chế biến sẵn:
Công ty đ nhận thấy sự thay đi lớn trong nhu cầu tiêu dùng, đặc biệt là xu
hướng tiêu thụ thực phẩm chế biến sẵn ngày càng tăng. Với nhịp sống hiện
đại và bận rộn, người tiêu dùng càng ngày càng ưa chuộng những sản phẩm 19
chế biến sẵn, tiện lợi mà vẫn đảm bảo chất lượng. Trường Foods đ nhanh
chóng nắm bắt xu hướng này và đẩy mạnh nghiên cứu, sản xuất và phân
phối những sản phẩm đáp ứng nhu cầu này. Công ty không chỉ sản xuất các
món ăn truyền thống mà còn chú trọng phát triển các sản phẩm mới, đa dạng
và dễ dàng sử dụng, tạo sự tiện lợi cho người tiêu dùng.
Đổi mới và đầu tư pht triển công nghệ:
Trường Foods luôn đầu tư vào công nghệ sản xuất hiện đại nhằm nâng cao
năng suất và chất lượng sản phẩm. Các dây chuyền sản xuất hiện đại được tự
động hóa giúp công ty không chỉ tiết kiệm chi phí nhân công mà còn nâng
cao hiệu quả sản xuất. Mặc dù vậy, việc áp dụng công nghệ cũng đòi hỏi chi
phí ban đầu cao, và công ty phải liên tục cải tiến để duy trì được lợi thế cạnh
tranh. Điều này cho thấy sự chú trọng của Trường Foods đối với việc nâng
cao hiệu quả sản xuất và tối ưu hóa quy trình để đảm bảo chất lượng sản phẩm luôn n định.
Chú trọng chất lượng và an toàn thực phẩm:
Trường Foods không chỉ tập trung vào sản xuất mà còn đặc biệt chú trọng
đến chất lượng và vệ sinh an toàn thực phẩm. Công ty đang tích cực nghiên
cứu và phát triển các sản phẩm sạch, không chứa chất bảo quản và phụ gia
hóa học. Trong bối cảnh người tiêu dùng ngày càng quan tâm đến sức khỏe,
việc sử dụng nguyên liệu tự nhiên và sạch sẽ là một yếu tố quan trọng giúp
công ty tạo ra sự khác biệt trên thị trường. Các quy trình kiểm tra chất lượng
đầu vào và trong suốt quá trình sản xuất được thực hiện nghiêm ngặt để đảm
bảo sự an toàn cho người tiêu dùng.
Chuyển đổi và mở rộng thị trường:
Ngoài việc phát triển mạnh mẽ trong thị trường trong nước, Trường Foods
còn mở rộng xuất khẩu sang các quốc gia như Mỹ, Úc và các nước châu Âu.
Việc này không chỉ giúp công ty nâng cao doanh thu mà còn giúp xây dựng
hình ảnh thương hiệu vững mạnh và tăng trưởng bền vững trên thị trường
quốc tế. Tuy nhiên, việc mở rộng thị trường quốc tế cũng mang lại thách
thức lớn, đặc biệt trong việc cạnh tranh với các thương hiệu đ có vị thế
vững chắc và đáp ứng các tiêu chuẩn quốc tế nghiêm ngặt.
Khó khăn và thách thức hiện tại của Trường Foods:
Cạnh tranh mạnh mẽ trong ngành thực phẩm:
Trường Foods đang đối mặt với sự cạnh tranh khốc liệt từ các đối thủ lớn
trong ngành thực phẩm chế biến sẵn như DH Food, Vinafood, Kido Group,... 20