


















Preview text:
TRƯỜNG ĐẠI HỌC THƯƠNG MẠI KHOA MARKETING -------- -------- BÀI THẢO LUẬN MÔN: KINH TẾ VI MÔ 1
Đề tài: Phân tích và lấy ví dụ về sự lựa chọn đầu vào tối ưu để tối đa hóa
sản lượng với một mức chi tiêu nhất định” Nhóm thực hiện: Nhóm 3
Lớp học phần: 2167MIEC0111
Tên học phần: Kinh tế vi mô 1
Giáo viên hướng dẫn: Hồ Thị Mai Sương Niên khóa: 2021-2022 MỤC LỤC 1
LỜI MỞ ĐẦU.................................................................................4
CHƯƠNG 1: CÁC CƠ SỞ LÝ THUYẾT....................................5
1.1. Các khái niệm liên quan.........................................................................5
1.1.1. Yếu tố đầu vào là những của cải được cung ứng cho sản xuất..........5
1.1.2. Hàm sản xuất.....................................................................................5
1.1.3. Sản phẩm cận biên của vốn và lao động............................................5
1.1.4. Đường đồng lượng.............................................................................6
1.1.5. Đường đồng phí..................................................................................7
1.2 Lựa chọn đầu vào tối ưu để tối đa hóa sản lượng.................................7
CHƯƠNG 2. GIỚI THIỆU SƠ LƯỢC VỀ CÔNG TY BAO
BÌ DẦU THỰC VẬT......................................................................8
2.1. Quá trình hình thành và phát triển:.....................................................8
2.2. Lĩnh vực kinh doanh...............................................................................8
CHƯƠNG 3. PHÂN TÍCH TÌNH HÌNH SẢN XUẤT CỦA
CÔNG TY DẦU THỰC VẬT TRONG GIAI ĐOẠN 2014-
2015..................................................................................................9
3.1. Doanh thu, lợi nhuận (sau thuế)...........................................................9
3.2. Sản lượng...............................................................................................10
CHƯƠNG 4. PHÂN TÍCH LỰA CHỌN ĐẦU VÀO TỐI ƯU
ĐỂ TỐI ĐA HÓA SẢN LƯỢNG CỦA CÔNG TY DẦU
THỰC VẬT TRONG NĂM 2015...............................................10
4.1. Tình hình sử dụng vốn và lao động của doanh nghiệp trong năm
2015...............................................................................................................10
4.1.1. Tình hình sử dụng lao động..............................................................10
4.1.2. Tình hình sử dụng vốn Bao bì Dầu thực vật - VMPACK.................11 2
4.2. Các yếu tố ảnh hưởng đến lựa chọn chi phí sản xuất để sản lượng
đầu ra tối ưu.................................................................................................12
4.2.1. Yếu tố khách quan............................................................................12
4.2.1 Yếu tố chủ quan.................................................................................13
4.3. Phân tích lựa chọn đầu vào để tối đa hóa sản lượng.........................14
4.3.1. Ước lượng hàm sản xuất tại công ty Bao bì dầu thực vật................14
4.3.2. Phân tích sự lựa chọn chi phí sản xuất để tối đa hóa hóa sản lượng
đầu ta tại Công ty Bao bì Dầu thực vật......................................................15
4.3.3. Giải pháp..........................................................................................17
TÀI LIỆU THAM KHẢO...........................................................18
KẾT LUẬN...................................................................................18 3 LỜI MỞ ĐẦU
Những năm gần đây xu hướng quốc tế hóa và toàn cầu hóa diễn ra mạnh mẽ dẫn đến
sự cạnh tranh ngày càng khốc liệt trên thế giới cũng như trong nước ta có ảnh hưởng
đến sự tồn tại và phát triển và chỗ đứng của các doanh nghiệp Việt Nam trên thương
trường. Đặc biệt, hai năm trở lại đây tình hình kinh thế thế giới có nhiều bất lợi, khủng
hoảng, lạm phát…tác động mạnh mẽ đến nền kinh tế và doanh nghiệp Việt Nam. Nền
kinh tế trong nước chịu sự suy thoái dẫn đến hàng loạt những những biến động khôn
lường về thị trường đầu ra cũng như những giới hạn về nguồn lực đầu vào. Trước
những yêu cầu của tình hình mới, đồng thời để thích ứng tốt hơn với những biến động
trên thế giới và trong nước, các doanh nghiệp Việt Nam phải tự hoàn thiện mình, cải
tiến sản xuất đổi mới tư duy, cách thức quản lí và đặc biệt là sử dụng các yếu tố đầu vào.
Đối với một nền kinh tế dù là nước giàu hay các nước nghèo cũng phải đối mặt với
khan hiếm. Khi đối mặt với khan hiếm, các doanh nghiệp bắt buộc phải lựa chọn… Vì
vậy vấn đề lựa chọn chi phí sản xuất và sản lượng đầu vào sao cho tối ưu nhất, để đạt
được lợi nhuận cao nhất càng trở nên quan trọng. Nó mang tính sống còn của doanh
nghiệp, giúp các doanh nghiệp có thể đứng vững và tạo được vị thế của mình trên
thương trường trong thời điểm khó khăn hiện tại và cả tương lai.Vì vậy, hãy cùng
nhóm 3: “ Phân tích và lấy ví dụ về sự lựa chọn đầu vào tối ưu để tối đa hóa sản
lượng với một mức chi tiêu nhất định”. 4
CHƯƠNG 1: CÁC CƠ SỞ LÝ THUYẾT
1.1. Các khái niệm liên quan
1.1.1. Yếu tố đầu vào là những của cải được cung ứng cho sản xuất.
Các yếu tố đầu vào bao gồm nhiều loại, để đơn giản người ta chia ra:
Lao động (L): là những của cải bị tiêu hao trong quá trình sản xuất, nguyên liệu, vật liệu.
Vốn (K): tương ứng với những của cải vật chất lâu bền có nghĩa là chúng vẫn tồn tại
sau mỗi quá trình sản xuất. 1.1.2. Hàm sản xuất
Các yếu tố đầu vào được kết hợp với nhau trong quá trình sản xuất và tạo ra những
sản phẩm thường được kí hiệu Q.
Một doanh nghiệp có thể sản xuất ra một hoặc nhiều sản phẩm khác nhau.
- Quan hệ giữa đầu vào và đầu ra của quá trình sản xuất kinh doanh của doanh nghiệp
được thể hiện bằng một hàm sản xuất.
- Hàm sản xuất chỉ rõ mối quan hệ giữa sản lượng tối đa Q mà doanh nghiệp có thể
đạt được từ tập hợp khác nhau của các yếu tố đầu vào ( lao động, vốn..) với một trình
độ công nghệ nhất định.
- Hàm sản xuất khai quát các phương pháp có hiệu quả về mặt kỹ thuật khi kết hợp
các đầu vào để tạo ra các sản lượng đầu ra.
⇒Như vậy, khi các đầu vào có biến đổi về chất hay nói cách khác khi hãng đổi mới
các thiết bị áp dụng công nghệ hiện đại hơn thì tất yếu hàm sản xuất cũng biến đổi.
- Nếu một doanh nghiệp sử dụng K đơn vị vốn và L đơn vị lao động , kết quả thu
được đơn vị sản phẩm bằng cách khai thác tốt nhất kỹ thuật có sẵn.Ta có thể biểu diễn
hàm sản xuất như sau: Q=f(K,L)
1.1.3. Sản phẩm cận biên của vốn và lao động Sản phẩm cận biên (MP)
-Sản phẩm cận biên của lao động (MPL): Là mức sản phẩm tăng thêm khi thuê thêm
một đơn vị đầu vào lao động. MP ¿∆ Q L ∆ L =Q' L
-Sản phẩm cận biên của vốn (MPK): Là mức sản phẩm tăng thêm khi thuê thêm một đơn vị đầu vào vốn. MP ¿∆Q K ∆ K =Q 'K
Ý nghĩa: Phản ánh lượng sản phẩm do riêng từng đơn vị đầu vào tạo ra. 5
Quy luật sản phẩm cận biên giảm dần (hay hiệu suất sử dụng các yếu tố đầu vào giảm dần)
Giả định các đầu vào lao động là có trình độ ngang nhau: - Nội dung quy luật:
Khi gia tăng liên tiếp những đơn vị của một đầu vào biến đổi trong khi cố định các đầu
vào khác thì số lượng sản phẩm đầu ra sẽ tăng dần, tuy nhiên tốc độ tăng sẽ ngày càng
giảm (khi đó MP dương và sẽ giảm), đạt đến một điểm nào đó số lượng sản phẩm đầu
ra sẽ đạt cực đại (MP = 0) rồi sau đó giảm xuống (khi đó MP âm). - Giải thích quy luật:
Năng suất của một yếu tố đầu vào phụ thuộc vào số lượng của các yếu tố đầu vào khác
cùng sử dụng với nó. Khi gia tăng yếu tố đầu vào biến đổi trong khi cố định các đầu
vào khác, tỷ lệ đầu vào biến đổi so với đầu vào cố định giảm dần làm cho năng suất
của yếu tố đầu vào biến đổi giảm dần.
⇒ Hiệu suất giảm đi là do những hạn chế khi sử dụng các yếu tố cố định chứ không
phải do sự giảm sút về chất lượng của người lao động.
1.1.4. Đường đồng lượng
- Khái niệm: Là tập hợp các điểm trên đồ thị thể hiện tất cả những sự kết hợp có thể
có của các yếu tố đầu vào có khả năng sản xuất một lượng đầu ra nhất định. - Tính chất:
Đường đồng lượng càng xa gốc tọa độ thể hiện các cách kết hợp đầu vào tạo ra nhiều sản lượng hơn.
Đường đồng lượng có độ dốc âm.
Là đường cong lồi về phía gốc toạ độ.
Hai đường đồng lượng không cắt nhau.
⇒ Tương tự với đường bàng quan, chỉ khác là: Mỗi đường đồng lượng ứng với mức
sản lượng cụ thể còn mỗi điểm trên đường bàng quan chỉ có ý nghĩa xếp hạng theo
thứ tự vì không đo lường được một mức thoả dụng cụ thể. 6 H ình 1.1 : Đường đồng lượng 1.1.5. Đường đồng phí
- Khái niệm: là đường bao gồm các tập hợp tối đa về đầu vào mà doanh nghiệp có
thể mua hoặc thuê với một lượng chi phí nhất định và giá của đầu vào là cho trước.
- Phương trình đường đồng phí: C = wL + rK
Trong đó: C : mức chi phí sản xuất
L, K: số lượng lao động và vốn dùng trong sản xuất
w, r : giá thuê 1 đơn vị lao động và 1 đơn vị vốn ∆ L =−w
- Độ dốc đường đồng phí = ∆ K r K C r K 1 Δ K K 2 ∆ C 0 L C 1 L 2 L w
Hình 1.2 Đường đồng phí
1.2 Lựa chọn đầu vào tối ưu để tối đa hóa sản lượng -Nguyên tắc:
Tập hợp đầu vào đó phải nằm trên đường đồng phí C0
Tập hợp đó nằm trên đường đồng lượng xa gốc tọa độ nhất có thể. 7
Hình 1.3: Đồ thị minh họa sự lựa chọn đầu vào tối ưu để tối đa hóa sản lượng
Điểm đầu vào tối ưu để tối đa hóa sản lượng là điểm mà tại đó đường đồng phí
tiếp xúc với đường đồng lượng
Tại E, độ dốc 2 đường bằng nhau
Độ dốc đường đồng phí = độ dốc đường đồng lượng. -
Điều kiện cần và đủ để tối đa hóa sản lượng:
CHƯƠNG 2. GIỚI THIỆU SƠ LƯỢC VỀ CÔNG TY BAO BÌ DẦU THỰC VẬT
2.1. Quá trình hình thành và phát triển:
- Ngày 09/12/2002, Công ty Cổ phần Bao bì Dầu thực vật được thành lập. Viết tắt là VMPACK.
- Tháng 10/2003, Công ty bắt đầu khởi công xây dựng nhà xưởng, mua sắm máy móc trang thiết bị.
- Ngày 1/10/2004, Công ty chính thức đi vào hoạt động với số vốn điều lệ đăng kí
ban đầu 76 tỷ đồng, nhưng thực tế công ty mới huy động được số vốn góp là
45.376.100.000 đồng từ các cổ động. Đến cuối tháng 09 năm 2006, công ty hoàn tất
việc tăng vốn điều lệ 76 tỷ đồng. 8
- Ngày 21/12/2006, chính thức niêm yết và giao dịch phiên đầu tiên (Mã chứng
khoán: VPK) tại Trung tâm Giao dịch chứng khoán thành phố Hồ Chí Minh.
- Cuối tháng 10 năm 2009, công ty hoàn tất việc bổ sung vốn điều lệ 80 tỷ đồng.
- Năm 2012 là năm công ty có doanh thu và lợi nhuận cao nhất kể từ khi chính thức đi
vào hoạt động sản xuất kinh doanh. Công ty vinh dự được Chính phủ trao tặng cờ
“Đơn vị có thành thích xuất sắc trong công tác năm 2012”. 2.2. Lĩnh vực kinh doanh.
- Sản xuất và mua bán bao vì cho ngành thực phẩm
- Mua bán máy móc thiết bị, vật tư nguyên liệu cho ngành bao bì - Dịch vụ thương mại - In bao bì - Mua bán thực phẩm
CHƯƠNG 3. PHÂN TÍCH TÌNH HÌNH SẢN XUẤT CỦA
CÔNG TY DẦU THỰC VẬT TRONG GIAI ĐOẠN 2014-2015
Bảng 3.1 Kết quả hoạt động kinh doanh của doanh nghiệp giai đoạn 2014-2015. Đơn vị: đồng Năm 2014 Năm 2015 Doanh thu 298 tỷ 295 tỷ Lợi nhuận(sau thuế) 23 tỷ 25,7 tỷ Thu nhập bình quân 7.200.000/người/tháng 7.500.000/người/tháng Sản lượng: Khoảng 16 triệu kilogram Khoảng 16,6 triệu Bao bì giấy(carton, kilogram offset)
(Nguồn: Báo cáo thường niên 2015 – công ty Bao bì dâu thực vật) 9
3.1. Doanh thu, lợi nhuận (sau thuế)
- Năm 2015 do cạnh tranh gay gắt nên về doanh thu không đạt kế hoạch và giảm so
với thực hiện năm 2014, tuy nhiên lợi nhuận sau thuế vượt kế hoạch 3% và tăng
trưởng so với năm trước 5%, tỷ suất lợi nhuận sau thuế/vốn điều lệ 30,8% vẫn ở mức
cao, ổn định sản xuất công ăn việc làm, thu nhập cho người lao động.
- Thùng carton chiếm tỷ trọng cao nhất trong cơ cấu doanh thu theo sản phẩm với
88% vào năm 2015, giá trị tuyệt đối 258,4 tỷ đồng. Theo sau đó là doanh thu từ chai
nhựa pet và nắp nút chỉ với 8,6% và 2,1%, doanh thu từ các hoạt động khác chiếm
1,60%. Thùng carton là sản phẩm mang lại lợi nhuận cao nhất so với các sản phẩm
khác của công ty trong những năm vừa qua.
Năm 2014 tỷ số chi phí trên 1 đồng doanh thu giảm xuống còn 0,85 đồng
mang lại 2.103 triệu đồng lợi nhuận gộp cho công ty. Năm 2015 tỷ số chi phí trên 1
đồng doanh thu giảm xuống còn 0,71 đồng mang lại 7.195 triệu đồng lợi nhuận gộp cho công ty.
Năm 2015 tỷ số chi phí trên 1 đồng doanh thu giảm xuống còn 0,71 đồng
mang lại 7.195 triệu đồng lợi nhuận gộp cho công ty hoạt động kinh doanh nắp nút của
công ty chưa mang lại hiệu quả cao, doanh thu thuần từ sản phẩm này đã giảm 7% trong năm qua. 3.2. Sản lượng
Năm 2014 là 16 triệu kg. Nhưng đến năm 2015, sản lượng mà doanh nghiệp sản xuất
ra đã tăng lên 16,6 triệu kg. Trong năm 2015, công ty đã đầu tư khoản chi phí không
nhỏ khá nhiều để mua nguyên vật liệu, thuê nhân công với chi phí không nhỏ, cùng
với đó đầu tư mạnh mẽ vào hạ tầng thiết bị kỹ thuật bảo đảm sản lượng và chất lượng
cao, đáp ứng được nhu cầu tiêu thụ và đòi hỏi chất lượng ngày càng cao của người tiêu
dùng, phát triển Công ty trở thành Công ty hàng đầu trong ngành bao bì tại thị trường Việt Nam. 10
CHƯƠNG 4. PHÂN TÍCH LỰA CHỌN ĐẦU VÀO TỐI ƯU ĐỂ
TỐI ĐA HÓA SẢN LƯỢNG CỦA CÔNG TY DẦU THỰC VẬT TRONG NĂM 2015
4.1. Tình hình sử dụng vốn và lao động của doanh nghiệp trong năm 2015
4.1.1. Tình hình sử dụng lao động
- Số lượng nhân viên: 237 người
- Công ty rất chú trọng đến công tác tuyển dụng, đào tạo nguồn nhân lực có chất lượng
phù hợp để đáp ứng được những yêu cầu ngày căng cao của sản xuất và kinh doanh.
Trình độ đại học: 27 người, chiếm 11%
Trình độ cao đẳng: 14 người, chiếm 6%
Trình độ trung cấp: 38 người, chiếm 16%
Trình độ phổ thông: 158 người, chiếm 67%
- Một lao động của VMPack tạo ra 1,24 tỷ đồng doanh thu cho công ty trong năm
2015. Nguồn lao động có chất lượng là yếu tố nội tại quan trọng đảm bảo cho sự phát
triển bền vững của công ty trong tương lai.
- Thu nhập bình quân đầu người:
Năm 2014, doanh thu mặc dù cao hơn năm 2015 nhưng lợi nhuận mang về cho doanh
nghiệp chỉ 23 tỷ đồng. Vậy nên thu nhập của người lao động cũng có sự biến đổi. Từ
7.200.000 đồng/tháng, người lao động được tăng lương với mức thu nhập 7.500.000
đồng/tháng, cho thấy tình hình phát triển khả quan của công ty trong thời gian qua.
4.1.2. Tình hình sử dụng vốn Bao bì Dầu thực vật - VMPACK
Trong năm 2015 vừa qua công ty có sử dụng nguồn vốn vay dài hạn để
đầu tư dự án mở rộng nhà máy. Chủ yếu dùng vốn vay ngắn hạn, nguồn nội lực
từ vốn tự có, vận dụng vốn lưu động và tranh thủ nguồn vốn từ các nguồn phải
trả nhà cung cấp… để luân chuyển vốn kinh doanh. Và điều này đã mang về
hiệu quả cho công ty trong 2 năm vừa qua.
Tài sản ngắn hạn 143.223.694.934
Tiền và các khoản tương đương tiền 20.146.911.306
Các khoản đầu tư tài chính ngắn hạn - -
Các khoản phải thu 82.902.255.187 Hàng tồn kho 34.404.079.864 11
Tài sản ngắn hạn khác 5.770.448.577
Tài sản dài hạn 156.494.297.405
Tài sản cố định 96.845.221.078
Tài sản cố định cố định hữu hình 90.942.151.270
Tài sản cố định cố định vô hình 5.903.069.808
Chi phí xây dựng cơ bản dở dang 33.793.758.848
Tài sản dài hạn khác 25.855.317.479
Tổng tài sản: 299.717.992.339
Bảng 4.1: Cơ cấu nguồn vốn 2014 2015 Nợ phải trả/tổng vốn 0,28 0,43
Nguồn vốn chủ sở hữu/tổng vốn 0,72 0,56
Nợ phải trả/vốn chủ sở hữu 0,40 0,78
(Nguồn: Báo cáo thường niên 2015 – công ty Bao bì dâu thực vật)
Năm 2015, nguồn vốn chủ sở hữu của công ty vẫn duy trì ở mức tăng trưởng tốt, trong
năm có chia cổ tức 20% cho năm 2014 và chia tạm ứng cổ tức 10% cho năm 2015
nhưng nguồn vốn chủ sở hữu không biến động nhiều so với năm 2014 và ở mức 168 tỷ
đồng. Trong năm vừa qua công ty có sử dụng nguồn vốn vay dài hạn để đầu tư dự án
mở rộng nhà máy. Chủ yếu dùng vốn vay ngắn hạn, nguồn nội lực từ vốn tự có, vận
dụng vốn lưu động và tranh thủ nguồn vốn từ các nguồn phải trả nhà cung cấp để luân
chuyển vốn kinh doanh. Và điều này đã mang về hiệu quả cho công ty trong 2 năm vừa qua.
4.2. Các yếu tố ảnh hưởng đến lựa chọn chi phí sản xuất để sản lượng đầu ra tối ưu 4.2.1. Yếu tố khách quan Đối thủ cạnh tranh
Đây là nhân tố ảnh hưởng đến sản lượng tiêu thụ đầu ra của doanh nghiệp. Hiện nay
trên thị trường có rất nhiều đối thủ cạnh tranh ngày càng mạnh và tiềm lực của họ cũng
không thua kém gì CTCP Bao bì Dầu thực vật hay còn mạnh hơn. 12
Hiện nay, bao bì nhựa, chai PET và thùng carton ngày càng được sử dụng rộng rãi
trong sản xuất do những đặc điểm nổi trội như: độ bền, sự tiện dụng, khả năng vận
chuyển tốt, vệ sinh, có khả năng tái chế và thân thiện với môi trường. Theo đó, môi
trường cạnh tranh sẽ khốc liệt hơn về mặt giá cả, chất lượng và chủng loại sản phẩm.
Các doanh nghiệp trong nước sẽ gặp phải đối đầu với sự cạnh tranh gay gắt từ phía các
doanh nghiệp có vốn đầu tư nước ngoài với tiềm lực tài chính mạnh và công nghệ hiện
đại như: Công ty bao bì Tân Á (Thái Lan), Công ty bao bì Akamax, Công ty bao bì
Box.Pak (Malaysia), Công ty Ornapaper Vietnam (Malaysia), Các công ty của các tập đoàn Đài Loan. Khách hàng
- Khó khăn chung của nền kinh tế làm nhu cầu bao bì của một số khách hàng giảm
sút. - Về phía doanh nghiệp đặc biệt năm 2014 tình hình cạnh tranh ngày càng gay gắt
để chiếm thị phần, nhất là phân khúc hàng giá rẻ ngày càng phát triển do thu nhập
người tiêu dùng còn ở mức thấp. Việc cạnh tranh cung cấp sản phẩm cho khách hàng
công nghiệp ngày càng quyết liệt làm cho giá bán giảm và hiệu quả kinh doanh không cao Tình hình kinh tế
- Năm 2014, kinh tế thế giới nói chung và kinh tế Việt Nam nói riêng tiếp tục gặp
nhiều khó khăn. Tăng trưởng kinh tế thế giới phục hồi chậm sau suy thoái toàn cầu,
tình hình chính trị còn nhiều bất ổn.
- Chính sách thắt chặt tiền tệ nhằm kiềm chế lạm phát trong thời gian vừa qua đã làm
GDP tăng trưởng thấp, ảnh hưởng trực tiếp đến nhiều ngành sản xuất kinh doanh trong
đó có công nghiệp chế biến thực phẩm. Đây là ngành sử dụng nhiều sản phẩm bao bì
nhựa và carton, do đó đã ảnh hưởng không nhỏ đến hoạt động của các công ty sản xuất kinh doanh bao bì.
Giá cả các yếu tố đầu vào
Sản lượng nội địa hầu như không đáp ứng đủ nhu cầu của ngành, hầu hết các công ty
đều phải phụ thuộc vào nguyên liệu giấy, nhựa nhập khẩu, trong khi giá cả trên thị
trường thế giới thường cao vào biến động thất thường. Hiện nay Công ty đang dùng
nguyên liệu đầu vào là hạt nhựa và giấy cuộn nhập từ nước ngoài nên công ty vẫn sẽ
chịu rủi ro về tỷ giá. Việc giá trị đồng USD so với VND tăng sẽ gây sức ép làm tăng
giá cả hàng hóa nhập khẩu, do đó sẽ tác động đến hoạt động nhập khẩu nguyên vật liệu của Công ty. 13 4.2.1 Yếu tố chủ quan
Cơ sơ vật chất trang thiết bị
Nợ phải trả tăng 14.620 triệu đồng (tăng 28%) do vay dài hạn đầu tư cho dự án nhà
máy bao bì carton mới KCN Nam Tân Uyên – Bình Dương và nguồn vốn chủ sở hữu tăng. Vốn
Lãi suất ngân hàng mặc dù ổn định nhưng vẫn ở mức cao, tỷ giá USD/VND biến động tăng.
Đặc điểm sản xuất kinh doanh công ty
Ngành bao bì carton phụ phụ thuộc khá nhiều vào tình hình tăng trưởng nhanh của sản
xuất công nghiệp nhất là công nghiệp chế biến. Nhu cầu sử dụng bao bì carton tập
trung vào các ngành công nghiệp chính như thực phẩm, hóa mỹ phẩm, hàng tiêu dùng,
điện tử, da giầy, chế biến thủy hải sản,…Trong đó các ngành này đều phát triển tập
trung chủ yếu tại khu vực miền Nam, đặc biệt là khu vực Đông Nam Bộ.
4.3. Phân tích lựa chọn đầu vào để tối đa hóa sản lượng
4.3.1. Ước lượng hàm sản xuất tại công ty Bao bì dầu thực vật
- Việc lựa chọn chi phí sản xuất của doanh nghiệp chịu sự ràng buộc vào sản lượng
sản xuất ra. Dó đó để đánh giá, phân tích được chi phí sản xuất và sản lượng đầu ta cần
đi ước lượng hàm sản xuất của công ty Bao bì dầu thực vật.
- Ở đây ta sử dụng hàm sản xuất Cobb Douglas để ước lượng hàm sản xuất của công
ty với hai yếu tố đầu vào biến đổi là vốn (K) và lao động (L). Dạng hàm sẽ ước lượng là: Q=A . Kα. Lβ
Trong đó: {A,α,βlàcáchệsốdương(0≤α,β≤1)
Q là sản lượng đầu ra (triệu kg)
K , L là yếu tố đầu vào(K:vốn , L :lao động)
Khi đó sản phẩm cận biên của lao động là: MP αQ L= Q’L= L
Sản phẩm biên của vốn là: MP βQ K= Q’K= K -
Biến đổi về dạng tuyến tính bằng cách lấy log hai vế để sử dụng phương pháp bình
phương nhỏ nhất (OLS), ta được kết quả hàm sản xuất có dạng: ln Q=ln A+αln L+βln K -
Thu thập số liệu về sản lượng, lao động, mức vốn của công ty bao bì trong năm 2015 14 Kết quả ước lượng:
Giả định hàm sản xuất tìm được là: Q=0.5 K0.5 L0.6 Ta có
α=0.5 ;β=0.6=¿α+β=1.1>1
Do đó, hàm sản xuất tăng theo quy mô, tức là giả sử sản lượng đầu vào tăng n lần thì
sản lượng đầu ra tăng hơn n lần. Điều này là do trong giai đoạn 2013-2015 công ty đã
vận dụng được nguồn đầu vào giá rẻ, và có sự chuyên môn hóa.
α=0.5>0 do đó khi tăng vốn lên 1 triệu đồng thì sản lượng sản xuất ra tăng lên
0,5 triệu kg bao bì giấy khi các yếu tố khác trong mô hình không đổi.
β=0.6 >0 do đó khi tăng lao động lên 1 người thì sản lượng sản xuất ra tăng lên
0.6 triệu kg bao bì giấy khi các yếu tố khác trong mô hình không đổi.
4.3.2. Phân tích sự lựa chọn chi phí sản xuất để tối đa hóa hóa sản lượng đầu ta
tại Công ty Bao bì Dầu thực vật
Ta có hàm sản xuất giả định: ∆L=Q 'L=Q 0 = .50.5 ×0 K .6 0. ×5 L K0 0..56L−0.4 MPL=∆Q
∆K=Q 'K=0.5 ×0.5 ×K−0.5 L0.6 MPK=∆Q {
Việc sản xuất lượng đầu ra tối ưu của mỗi công ty đều chịu sự ràng buộc bởi mức ngân
sách của công ty. Vấn đề đặt ra ở đây là lựa chọn đầu vào để tạo ra mức sản lượng đầu w=MLk
ra tối ưu cho công ty. Áp dụng điều kiện dùng đầu ra ta có: MPL r C0=wL+rK
Ta có bảng theo tháng như sau: Đơn vị: triệu đồng Tổng chi phí 4811.8 Giá/đơn vị lao động 7.500 Giá/đơn vị vốn 14.200 15
Bài toán: Tìm (K,L) sao cho Q=0.5 K0.5 L0.6 đạt giá trị tối đa thỏa mãn điều kiện g(K,L)=7.5 L+14.2 K=24976.5
Đặt g(K,L) =7.5 L+14.2 K−4811.8 Hàm Lagrange: { ( )=0.5 K f K , L ,λ
0.5 L0.6−λ (7.5 L+14.2 K−24976.5)
¿0.5 K0.5 L0.6 +λ(24976.5−7.5 L−14.2 K ) Ta có: f λ=24976.5−7.5 L−14.2 K '
{ f'K=0.5×0.5×K−0.5L0.6−14.2λ {
f'L=0.5×0.6 ×K0.5 L−0.4−7.5 λ Giải hệ:
f λ=24976.5−7.5 L−14.2 K=0 ' 7.5 L+14.2 K=4811.8 {
f' K=0.5 ×0.5 ×K−0.5 L0.6 −14.2 λ=0 ≤¿ 0.25 K−0.5 L0.6=14.2 λ
f'L=0.5×0.6 ×K0.5 L−0.4−7.5 λ=0 0.3 K0.5 L−0.4 =7.5 λ K=350 | | ¿> L=154 λ=0.01 ( ) Giả sử ( )
K ,L,λ =¿ 0.01) là một điểm dừng của hàm Lagrang Ta có: | |0g(K,L) ( ) K | | ' H = 'g(K,L)L g(K,L)K '' 'fKK ' fKL g(K ,L)L '' 'fKL ' f¿ ( ) K,L,λ | | 0 14.2 7.5 =0.41457 H = 14.2 fKK ' '' fKL 7.5 fKL ' '' f¿ (K,L,λ )
Vì | |>0,dođó HàmQ=0.5 K ) H
0.5 L0.6 đạt cựcđại tại (K ,L =(350,154)
Vậy lượng đầu ra tối ưu mà công ty có thể đạt được là:
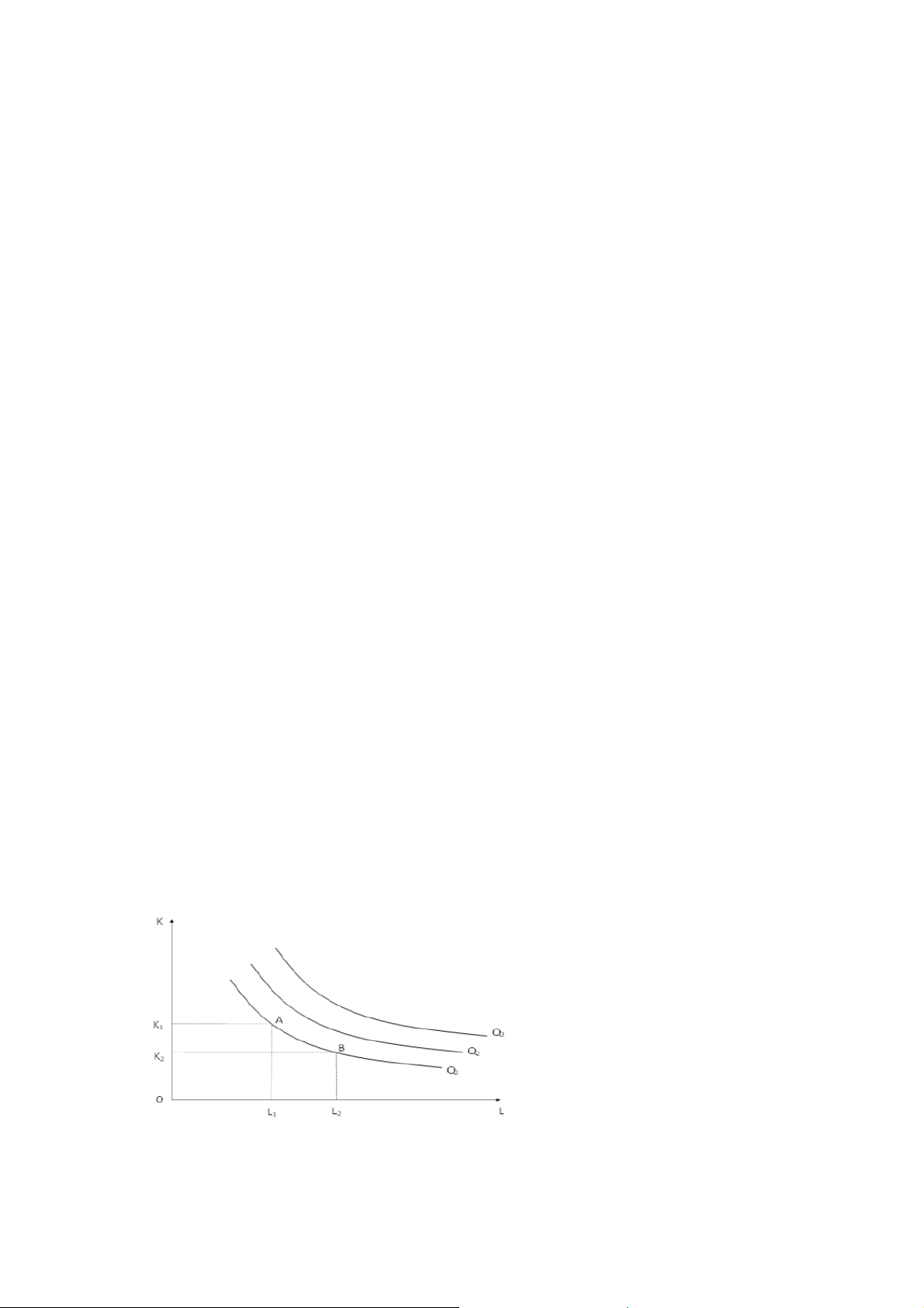
Q=0.5 K0.5 L0.6=0.5 ×3500.5 ×1540.6 =192.095 (triệu kg) 16 Hình 4.1 Lựa chọn
đầu vào tối ưu để tối đa hóa sản lượng của công ty Bao bì dầu thực vật 2015.
Với mức chi phí là C , doanh nghiệp 0
có thể lựa chọn rất nhiều tập hợp vốn và lao động
khác nhau để tạo ra mực sản lượng khác nhau. Dựa vào số liệu thực tế và số liệu đã
ước lương, ta chia làm 3 nhóm Q 0, Q 1, Q
2, với Q2 nằm ngoài đường đồng phí, Q1 cắt
đường đồng phí tại hai điểm A, B, Q tiếp xúc với đường đồng phí tại điểm C. 0
Q2 nằm xa gốc tọa độ nhất do đó có mức sản lượng lớn nhất, tuy nhiên dù bất kì điểm
D nào trên Q 2thì cũng sẽ không sản xuất được lượng đầu ra với mức chi phí C .0 Do
đó, ta loại bỏ trường hợp này.
Tại ba điểm A, B, C cùng nằm trên đường đồng phí do đó đều tốn mức chi phí là C . 0
Và vì Q0 nằm xa gốc tọa độ hơn so với Q1 nên ta có Q0 > Q1.
Từ đó ta suy ra điểm C chính là điểm tối đa hóa sản lượng.
Qua phân tích trên ta có hai số liệu cần so sánh như sau:
-Lượng vốn và lao động đang được doanh nghiệp sử dụng hiện tại (K , L)= (237 ,30343) 142 -
Lượng vốn và lao động tối ưu hóa lợi nhuận (K , L)= (350 ,154 ) 4.3.3. Giải pháp
Ta thấy việc sử dụng đầu vào của doanh nghiệp chưa hợp lý dẫn đến chưa tối ưu hóa
được sản lượng đầu ra. Qua số liệu cho thấy lượng vốn K của doanh nghiệp sử dụng 17
hiện tại cao hơn lượng vốn khi tối ưu hóa lợi nhuận, trong khi lượng lao động công ty
thuê lại ít hơn nhiều so với lượng lao động tối ưu hóa lợi nhuận.
Từ đó ta đặt ra các giải pháp như sau: - Về lao động:
Cần có sự chuyên môn hóa lao động
Tuyển dụng thêm lao động, đồng thời đổi mới công tác tuyển dụng (lao
động có trình độ tay nghề cao hơn, …) để tăng chất lượng lao động và tăng hiệu suất trong sản xuất. - Về vốn:
Quản lý nguồn vốn một cách chặt chẽ để tránh tư lợi cá nhân
Sử dụng nguồn vốn hợp lý: Chú trọng đầu tư vào máy móc, thiết bị hiện
đại để tăng hiệu suất lao động. 18 TÀI LIỆU THAM KHẢO
1. Giáo trình Kinh tế vi mô, trường Đại học Thương mại-PGS, TS Phan Thế Công, NSB Thống kê 2017.
2. Báo cáo thường niên 2015-Công ty Bao bì Dầu thực vật.
3. Luận văn: “ Lựa chọn chi phí sản xuất và sản lượng đầu ra tối ưu để tối đa hóa lợi
nhuận tại công ty TNHH ô tô Hoa Mai” của tác giả Bùi Thị Huệ, trường Đại học Thương mại.
4. Bài giảng Kinh tế vi mô- ThS Hồ Thị Mai Sương- Trường Đại học Thương mại. KẾT LUẬN
Tóm lại, muốn đạt được lợi nhuận cao nhất, doanh nghiệp luôn phải lựa chọn đầu vào
để tối đa hóa sản lượng với mức chi tiêu nhất định trong khi vẫn đảm bảo được chất
lượng sản phẩm. Bên cạnh đó, sự lựa chọn đầu vào tối ưu của doanh nghiệp ngày càng
được xem xét và tinh toán một cách kĩ lưỡng để đảm bảo lợi ích của doanh nghiệp điển
hình như Công ty Bao bì Dầu thực vật đã biết vận dụng và sử dụng các yếu tố đầu vào
để tối đa hóa sản lượng cũng như những có những giải pháp tối ưu nhất về lao động và
vốn để có thể mang lại mức lợi nhuận cao nhất cho công ty của mình. 19