



















Preview text:
Tailieumontoan.com
Điện thoại (Zalo) 039.373.2038
PHIẾU BÀI TẬP TUẦN MÔN TOÁN LỚP 8
Tài liệu sưu tầm, ngày 21 tháng 8 năm 2021
Website:tailieumontoan.com
PHIẾU BÀI TẬP TUẦN 1 MÔN TOÁN| LỚP 8
PHIẾU SỐ 1: NHÂN ĐƠN THỨC VỚI ĐA THỨC
Bài 1: Thực hiện phép tính
a) 3𝑥(4𝑥2 − 3𝑥 + 5)
b) (𝑥2 + 3𝑥𝑦 − 4)(−2𝑥𝑦2)
Bài 2: Rút gọn các biểu thức
a) 𝐴 = 2𝑥(𝑥 + 𝑦) − 𝑦(2𝑥 − 𝑦)
b) 𝐵 = 𝑥2(11𝑥 − 2) + 𝑥2(𝑥 − 1) − 3𝑥(4𝑥2 − 𝑥 − 2)
c) 𝐶 = (𝑥2 − 𝑥𝑦 + 𝑦2)𝑥 + 𝑦(𝑥2 − 𝑥𝑦 + 𝑦2). Tính giá trị của C với 𝑥 = 5, 𝑦 = −2.
d) 𝐷 = 4𝑎2(5𝑎 − 3𝑏) − 5𝑎2(4𝑎 + 𝑏). Tính giá trị của D với 𝑎 = −2, 𝑏 = −3.
Bài 3: Tìm x thỏa mãn:
a) 2𝑥(𝑥 − 1) − 𝑥(3 + 2𝑥) = 25
b) 𝑥(𝑥 − 1) − 𝑥2 + 2𝑥 = 5
c) 10(3𝑥 − 2) − 3(5𝑥 + 2) + 5(11 − 4𝑥) = 25
Bài 4: Chứng minh các biểu thức sau không phụ thuộc vào giá trị của biến số
a) 𝐴 = 3𝑥(𝑥 − 5𝑦) + (𝑦 − 5𝑥)(−3𝑦) − 3(𝑥2 − 𝑦2) − 1
b) 𝐵 = 𝑥(𝑥2 + 𝑥 + 1) − 𝑥2(𝑥 + 1) − 𝑥 + 5
c) 𝐶 = 𝑥3(𝑥3 − 𝑦3) − 𝑦3(𝑦3 − 𝑥3) − 𝑥2(𝑥4 + 𝑥2𝑦2 + 𝑦4) + 𝑦2(𝑥4 + 𝑦4) + 𝑥2𝑦4 Bài 5: Tìm m biết
a) (𝑥2 − 𝑥 + 1)𝑥 − (𝑥 + 1)𝑥2 + 𝑚 = −2𝑥2 + 𝑥 + 5 với mọi x.
b) (𝑚 + 2)𝑥 − (2𝑚 − 1)𝑦 − 3 = 2𝑥 + 𝑦 − 3 với mọi x,y.
Liên hệ tài liệu word môn toán: 039.373.2038 TÀI LIỆU TOÁN HỌC
Website:tailieumontoan.com HƯỚNG DẪN GIẢI
Bài 1: Thực hiện phép tính
a) 12𝑥3 − 9𝑥2 + 15𝑥
b) −2𝑥3𝑦2 − 6𝑥2𝑦3 + 8𝑥𝑦2
Bài 2: Rút gọn biểu thức a) 𝐴 = 2𝑥2 + 𝑦2 b) 𝐵 = 6𝑥
c) 𝐶 = 𝑥3 + 𝑦3. Thay 𝑥 = 5, 𝑦 = −2 ta được 𝐶 = 53 + (−2)3 = 117.
d) 𝐷 = 20𝑎3 − 12𝑎2𝑏 − 20𝑎3 − 5𝑎2𝑏 = −17𝑎2𝑏.
Với 𝑎 = −2, 𝑏 = −3, ta được 𝐷 = −17(−2)2(−3) = 204.
Bài 3: Tìm x thỏa mãn:
a) 2𝑥(𝑥 − 1) − 𝑥(3 + 2𝑥) = 25.
2𝑥2 − 2𝑥 − (3𝑥 + 2𝑥2) = 25 −5𝑥 = 25
𝑥 = −5. Vậy 𝑥 = −5.
b) 𝑥(𝑥 − 1) − 𝑥2 + 2𝑥 = 5
(𝑥2 − 𝑥) − 𝑥2 + 2𝑥 = 5 𝑥 = 5 Vậy 𝑥 = 5
c) 10(3𝑥 − 2) − 3(5𝑥 + 2) + 5(11 − 4𝑥) = 25
(30𝑥 − 20) − (15𝑥 + 6) + (55 − 20𝑥) = 25 −5𝑥 + 29 = 25 −5𝑥 = −4 𝑥 = 4 Vậy 𝑥 = 4 5 5
Bài 4: Chứng minh biểu thức không phụ thuộc vào giá trị biến số a) 𝐴 = −1 b) 𝐵 = 5 c) 𝐶 = 0 Bài 5: Tìm m biết
a) (𝑥2 − 𝑥 + 1)𝑥 − (𝑥 + 1)𝑥2 + 𝑚 = −2𝑥2 + 𝑥 + 5
⇔ 𝑚 = −2𝑥2 + 𝑥 + 5 − �(𝑥2 − 𝑥 + 1)𝑥 − (𝑥 + 1)𝑥2�
⇔ 𝑚 = −2𝑥2 + 𝑥 + 5 − (𝑥3 − 𝑥2 + 𝑥 − 𝑥3 − 𝑥2) ⇔ 𝑚 = 5.
b) Theo giả thiết: (𝑚 + 2)𝑥 − (2𝑚 − 1)𝑦 − 3 = 2𝑥 + 𝑦 − 3 với mọi x,y. Ta được,
(𝑚 + 2)𝑥 − (2𝑚 − 1)𝑦 − 3 − (2𝑥 + 𝑦 − 3) = 0 với mọi x,y.
𝑚(𝑥 − 2𝑦) = 0 với mọi x,y. Từ đó, 𝑚 = 0.
Liên hệ tài liệu word môn toán: 039.373.2038 TÀI LIỆU TOÁN HỌC
Website:tailieumontoan.com
PHIẾU BÀI TẬP TUẦN 1 MÔN TOÁN| LỚP 8
PHIẾU SỐ 2: NHÂN ĐA THỨC VỚI ĐA THỨC
Bài 1. Làm tính nhân. a. (2y − xy)(x − 2y) b. ( 2 2 x − xy + y )(x + y) c. (x − ) 1 (x + ) 1 (x + 2)
Bài 2. Thu gọn các biểu thức sau a. ( − )( 3 2 2 3 a b a + a b + ab + b ) b. (a − )
1 (a + 2) − (a + 3)(a − 3) c. ( + ) 2 2 2 a
b (a − ab + b ) − a(a + 1)
Bài 3. Chứng minh đẳng thức: 1 1 2 2 x y (2x + y)(2x − y) 2 2 2 4 2 4 − x 2x y + y = −x y 2 2
Bài 4. Tính giá trị của biểu thức ( 2 − )( + ) + ( + )( 2 x 5 x 3 x 4
x − x ) trong các trường hợp sau: a. x = 0 b. x = 15 c. x = 15 − d. x = 0,15 Bài 5. Tìm x biết a. (12x – 5)(4x – ) 1 + ( 3x – 7)(1 −16x) = 81 b. (1 – 5x)(4x – ) 1 – ( 1 – 20x )(x − 20) = 132
Bài 6. Tìm giá trị nhỏ nhất của biểu thức
a. A = x2 + 2y2 – 2xy + 2x – 2y + 1 b. B = 2x2 – 2xy + 5y2 + 5
Liên hệ tài liệu word môn toán: 039.373.2038 TÀI LIỆU TOÁN HỌC
Website:tailieumontoan.com HƯỚNG DẪN
Bài 1. Làm tính nhân. a. (2y − xy)(x − 2y) b. ( 2 2 x − xy + y )(x + y) c. (x − ) 1 (x + ) 1 (x + 2) Gợi ý a. ( − )( − ) = ( − ) − ( − ) 2 = − − ( 2 2 2y xy x 2y 2y. x 2y xy. x 2y 2xy 4y x y − 2xy ) 2 2 2 = 2xy − x y + 2xy − 4y b. ( 2 2 − + )( + ) = ( 2 2 − + ) +( 2 2 x xy y x y x xy y .x x − xy + y ).y 3 2 2 2 2 3 3 3
= x − x y + xy + x y − xy + y = x + y c. (x − ) 1 (x + ) 1 (x + 2) = x (x + ) 1 (x + 2) − (x + ) 1 (x + 2) = ( 2 x + x )(x + 2) − ( 2 x + x + 2x + 2) 3 2 2 2
= x + x + 2x + 2x − x − 3x − 2 3 2 = x + 2x − x − 2
Bài 2. Thu gọn các biểu thức sau a. ( − )( 3 2 2 3 a b a + a b + ab + b ) b. (a − )
1 (a + 2) − (a + 3)(a − 3) c. ( + ) 2 2 2 a
b (a − ab + b ) − a(a + 1) Gợi ý a. ( − )( 3 2 2 3 + + + ) 4 4 a b a a b ab b = a − b
b. ( − )( + ) − ( + )( − ) 2 2 a 1 a 2
a 3 a 3 = a + a − 2 − a + 9 = a + 7 c. ( + ) 2 2 2 3 3 3 3 a
b (a − ab + b ) − a(a + 1) = a + b − a − a = b − a
Bài 3. Chứng minh đẳng thức: 1 1 2 2 x y (2x + y)(2x − y) 2 2 2 4 2 4 − x 2x y + y = −x y 2 2 Gợi ý. 1 1 2 2 x y (2x + y)(2x − y) 2 2 2 4 − x 2x y + y 2 2 1 1 2 2 = x y ( 2 2 4x − y ) 4 2 2 4 − 2x y − x y 2 2 1 1 4 2 2 4 4 2 2 4
= 2x y − x y − 2x y − x y 2 2 2 4 = −x y
Liên hệ tài liệu word môn toán: 039.373.2038 TÀI LIỆU TOÁN HỌC
Website:tailieumontoan.com
Bài 4. Tính giá trị của biểu thức ( 2 − )( + ) + ( + )( 2 x 5 x 3 x 4
x − x ) trong các trường hợp sau: b. x = 0 b. x = 15 c. x = 15 − d. x = 0,15
Gợi ý. Thu gọn biểu thức trên ta được –x – 15. Khi đó giá trị biểu thức lần lượt là a. -15 b. -30 c. 0 d. -15,15 Bài 5. Tìm x biết a. (12x – 5)(4x – ) 1 + ( 3x – 7)(1 −16x) = 81 b. (1 – 5x)(4x – ) 1 – ( 1 – 20x )(x − 20) = 132 Gợi ý. a. (12x – 5)(4x – ) 1 + ( 3x – 7)(1 −16x) = 81 2 2
⇔ 48x − 32x + 5 − 7 +115x − 48x = 81 ⇔ 83x = 83 ⇔ x =1 Vậy x = 1 b. (1 – 5x)(4x – ) 1 – ( 1 – 20x )(20 − x) = 132 2 2 ⇔ 1
− + 9x − 20x +20x − 401x + 20 =132 ⇔ 392 − x = 113 113 − ⇔ x = 392 113 − Vậy x = 392 Bài 6. Gợi ý = − + + ( − ) + + = ( − + )2 2 2 2 2 A x 2xy y 2 x y 1 y x y 1 + y ≥ 0 x − y +1 = 0 x = 1 −
Biểu thức A đạt giá trị nhỏ nhất A = 0 ⇔ ⇔ y = 0 y = 0 = − + + + + + = ( − )2 + ( + )2 2 2 2 2 B x 4xy 4y x 2xy y 5 x 2y x y + 5 ≥ 5 x − 2y = 0
Biểu thức B đạt giá trị nhỏ nhất B = 5 ⇔ ⇔ x = y = 0 x + y = 0
Liên hệ tài liệu word môn toán: 039.373.2038 TÀI LIỆU TOÁN HỌC
Website:tailieumontoan.com
PHIẾU BÀI TẬP TUẦN 1 MÔN TOÁN| LỚP 8
PHIẾU SỐ 3: TỨ GIÁC
I. KIẾN THỨC CẦN NHỚ
1. Định nghĩa:
• Tứ giác là hình gồm 4 đoạn thẳng và trong đó bất kì hai đoạn thẳng nào cũng
không nằm trên một đường thẳng.
• Tứ giác lồi là tứ giác luôn nằm trong một nửa mặt phẳng mà bờ là đường
thẳng chứa bất kì cạnh nào của tứ giác.
2. Tính chất:
• Tổng các góc trong một tứ giác bằng 3600. II. BÀI TẬP
Bài 1. Cho tứ giác ABCD biết: A : B : C : D = 1: 2 : 3 : 4
a) Tính các góc trong của tứ giác ABCD;
b) Các tia phân giác của góc C và góc D cắt nhau ở E. Các đường phân giác ngoài tại
các đỉnh C, D cắt nhau ở F. Tính CED và CFD .
Bài 2. Tính số đo các góc C và góc D của tứ giác ABCD biết 0 = 0 A 120 ; B = 90 và = C 2.D
Bài 3. Cho tứ giác ABCD và một điểm M thuộc miền trong của tứ giác. Chứng minh:
a) MA + MB + MC + MD > AB + CD 1 b) MA + MB + MC + MD > (AB+ BC + CD + DA) 2
Bài 4. Tứ giác ABCD có − 0 A
B = 50 . Các tia phân giác của C; D cắt nhau tại I và 0
CID = 115 . Tính số đo góc A, góc B của tứ giác. Bài 5.
a) Chứng minh rằng tứ giác có hai đường chéo vuông góc thì tổng bình phương của hai
cạnh đối này bằng tổng bình phương hai cạnh đối kia.
b) Tứ giác ABCD có AC vuông góc với BD. Biết AD = 5cm, AB = 2cm, BC = 10cm. Tính độ dài CD. III. BÀI TẬP VỀ NHÀ
Bài 6. Cho tứ giác ABCD có AB = AD, CB = CD. Chứng minh:
a) AC là trung trực của BD. b) Biết: 0 = 0 A
100 ; C = 60 . Tính số đo góc B, góc D của tứ giác.
Bài 7. Cho tứ giác ABCD có = A B và BC = AD. Chứng minh: a) ∆DAB = ∆CBA; AC = BD b) = ADC BCD c) AB // CD
Liên hệ tài liệu word môn toán: 039.373.2038 TÀI LIỆU TOÁN HỌC
Website:tailieumontoan.com
Bài 8. Cho tứ giác ABCD, AB cắt CD tại E, BC cắt AD tại F. Các tia phân giác của góc E,
góc F cắt nhau tại I. Chứng minh: + a) ABC ADC EIF = 2 b) Nếu 0 BAD = 130 và 0
BCD = 50 thì IE ⊥ IF.
Liên hệ tài liệu word môn toán: 039.373.2038 TÀI LIỆU TOÁN HỌC
Website:tailieumontoan.com HƯỚNG DẪN
Bài 1. Cho tứ giác ABCD biết: A : B : C : D = 1: 2 : 3 : 4
a) Tính các góc trong của tứ giác ABCD;
b) Các tia phân giác của góc C và góc D cắt nhau ở E. Các đường phân giác ngoài tại
các đỉnh C, D cắt nhau ở F. Tính CED và CFD . Đáp án: A a) 0 = 0 = 0 = 0 A 36 ; B 72 ;C 108 ; D = 144 b) 0 = 0 CED 54 ;CFD = 126 D E F C B
Bài 2. Tính số đo các góc C và góc D của tứ giác ABCD biết 0 = 0 A 120 ; B = 90 và = C 2.D Đáp án: A B 0 C = 100 900 1200 0 D = 50 C D
Bài 3. Cho tứ giác ABCD và một điểm M thuộc miền trong của tứ giác. Chứng minh:
a) MA + MB + MC + MD > AB + CD 1 b) MA + MB + MC + MD > (AB+ BC + CD + DA) 2 Hướng dẫn: A B
a) Xét ∆MAB và ∆MDC có:
MA + MB > AB (BĐT tam giác) (1)
MC + MD > CD (BĐT tam giác) (2) M
suy ra: MA + MB + MC + MD > AB + CD b) Tương tự D : MA + MC > AC (3) C MB + MD > BD (4)
Cộng (1)(2)(3)(4) ta được:
Liên hệ tài liệu word môn toán: 039.373.2038 TÀI LIỆU TOÁN HỌC
Website:tailieumontoan.com 1 MA + MB + MC + MD > (AB+ BC + CD + DA) 2
Bài 4. Tứ giác ABCD có − 0 A
B = 50 . Các tia phân giác của C; D cắt nhau tại I và 0
CID = 115 . Tính số đo góc A, góc B của tứ giác. Đáp án: B 0 A = 140 A 0 B = 90 I 1150 D C Bài 5.
a) Chứng minh rằng tứ giác có hai đường chéo vuông góc thì tổng bình phương của hai
cạnh đối này bằng tổng bình phương hai cạnh đối kia.
b) Tứ giác ABCD có AC vuông góc với BD. Biết AD = 5cm, AB = 2cm, BC = 10cm. Tính độ dài CD. Hướng dẫn:
a) ∆OAB, ∆OCD vuông tạ A i O, áp dụng pytago ta có: 2 2 2 OA + OB = AB 2 2 2 OC + OD = CD B D 2 2 2 2 2 2 ⇒ O OA + OB + OC + OD = AB + CD Tương tự: 2 2 2 2 2 2
⇒ OA + OB + OC + OD = BC + AD Suy ra: 2 2 2 2 AB + CD = AD + BC b) CD = 11cm C IV. BÀI TẬP VỀ NHÀ
Bài 6. Cho tứ giác ABCD có AB = AD, CB = CD. Chứng minh:
c) AC là trung trực của BD. d) Biết: 0 = 0 A
100 ; C = 60 . Tính số đo góc B, góc D của tứ giác.
Liên hệ tài liệu word môn toán: 039.373.2038 TÀI LIỆU TOÁN HỌC
Website:tailieumontoan.com Đáp án: A a) AB = AD; CB = CD (gt)
Suy ra AC là trung trực của BD. B D b) = 0 B C = 100 C
Bài 7. Cho tứ giác ABCD có = A B và BC = AD. Chứng minh: a) ∆DAB = ∆CBA; AC = BD b) = ADC BCD c) AB // CD Hướng dẫn: A B
a) Xét ∆DAB và ∆CBA có: AB chung; = A B ; BC = AD O
Suy ra: ∆DAB = ∆CBA (c.g.c)
Suy ra: AC = BD (2 cạnh tương ứng)
b) Chứng minh ∆ADC = ∆BCD (c.c.c) D C Suy ra: = ADC BCD c) ∆DAB = ∆CBA (theo a) Suy ra = OAB OBA (góc tương ứng) Suy ra ∆OAB cân tại O CMTT: ∆ODC cân tại O Suy ra: = 1 1 0 = − OAB OCD (180 AOB) 0 = − (180 DOC) 2 2
Mà hai góc trên ở vị trí so le trong Suy ra AB // DC.
Bài 8. Cho tứ giác ABCD, AB cắt CD tại E, BC cắt AD tại F. Các tia phân giác của góc E,
góc F cắt nhau tại I. Chứng minh: + a) ABC ADC EIF = 2 b) Nếu 0 BAD = 130 và 0
BCD = 50 thì IE ⊥ IF.
Liên hệ tài liệu word môn toán: 039.373.2038 TÀI LIỆU TOÁN HỌC
Website:tailieumontoan.com Hướng dẫn: E
a) Gọi giao điểm của FI và CD là N ∆ 1 NIE có: = + EIF ENI E (góc ngoài) F B 2 C ∆ 1 A DNF có: = + ENI D F (góc ngoài) 2 I 1 1 N Suy ra: = + + EIF D F E (1) 2 2 ∆ADE; ∆CDF có: 0 = − + E 180 (A D) 0 = − + ; F 180 (D C) D ⇒ + 0 = − + + E F 360 (A C 2D)= − B D Thay vào (1) ta đượ 1 c = + EIF (D C) 2 b) Áp dụng a suy ra E 1 = + EIF (D C) 1 0 = − − (360 A C) 0 = 90 2 2 Suy ra: IE ⊥ IF. F B C A I D
Liên hệ tài liệu word môn toán: 039.373.2038 TÀI LIỆU TOÁN HỌC
Website:tailieumontoan.com
PHIẾU BÀI TẬP TUẦN 1 MÔN TOÁN| LỚP 8
PHIẾU SỐ 4: HÌNH THANG V.
KIẾN THỨC CẦN NHỚ
3. Định nghĩa:
• Hình thang là tứ giác có hai cạnh đối song song.
• Hình thang vuông là hình thang có một góc vuông. 4. Nhận xét:
• Nếu một hình thang có hai cạnh bên song song thì hai cạnh bên bằng nhau, hai
cạnh đáy bằng nhau.
• Nếu một hình thang có hai cạnh đáy bằng nhau thì hai cạnh bên song song và bằng nhau. VI. BÀI TẬP
Bài 9. Hình thang ABCD (AB//CD) có − 0 = A D
20 , B = 2C . Tính các góc của hình thang.
Bài 10. Chứng minh rằng trong hình thang các tia phân giác của hai góc kề một cạnh bên vuông góc với nhau.
Bài 11. Cho tam giác ABC. Các tia phân giác của các góc B và C cắt nhau tại I. Qua I kẻ
đường thẳng song song với BC, cắt các cạnh AB và AC ở D và E.
a) Tìm các hình thang trong hình vẽ.
b) Chứng minh rằng hình thang BDEC có một cạnh đáy bằng tổng hai cạnh bên.
Bài 12. Chứng minh rằng tổng hai cạnh bên của hình thang lớn hơn hiệu hai đáy.
Bài 13. Cho hình thang ABCD (AB//CD) có CD = AD + BC. Gọi K là điểm thuộc đáy CD
sao cho KD = AD. Chứng minh tia phân giác của góc A và góc B cùng đi qua K. VII. BÀI TẬP VỀ NHÀ
Bài 14. Cho tam giác ABC vuông cân tại A. Ở phía ngoài tam giác ABC, vẽ tam giác BCD
vuông cân tại B. Tứ giác ABCD là hình gì? Vì sao? 7
Bài 15. Tính các góc của hình thang ABCD (AB//CD) biết rằng = − 0 A D, B C = 120 . 2
Bài 16. Cho tứ giác ABCD, biết
A : B : C : D = 1: 2 : 3 : 4
c) Chứng minh ABCD là hình thang.
d) Gọi giao điểm của AD và BC là E. Chứng minh CD = ED.
Bài 17. Cho ABCD là hình thang (AB//CD). Biết rằng tia phân giác góc C đi qua trung điểm
M của AD. Chứng minh rằng: a) Tam giác BMC vuông. b) BC = AB + CD.
Liên hệ tài liệu word môn toán: 039.373.2038 TÀI LIỆU TOÁN HỌC
Website:tailieumontoan.com HƯỚNG DẪN GIẢI
Bài 1. Hình thang ABCD (AB//CD) có − 0 = A D
20 , B = 2C . Tính các góc của hình thang. Đáp án: ∠A = 1000 , ∠D = 800 ∠ C = 600 , ∠ B = 1200
Bài 2. Chứng minh rằng trong hình thang các tia phân giác của hai góc kề một cạnh bên vuông góc với nhau. Hướng dẫn:
Xét hình thang ABCD có AB//CD + 0 BAD
ADC = 180 (hai góc trong cùng phía) 1
AE là phân giác góc BAD nên EAD = BAD 2 1
DE là phân giác góc ADC nên EDA = ADC 2 1 EDA + EAD = + (BAD ADC ) 0 9 = 0 2 Xét ∆ADE có EDA + 0 EAD = ⇒ 0 90 AED = 90 (đpcm)
Bài 3. Cho tam giác ABC. Các tia phân giác của các góc B và C cắt nhau tại I. Qua I kẻ
đường thẳng song song với BC, cắt các cạnh AB và AC ở D và E.
a. Tìm các hình thang trong hình vẽ.
b. Chứng minh rằng hình thang BDEC có một cạnh đáy bằng tổng hai cạnh bên. Hướng dẫn: a. Có 3 hình thang: Hình thang DICB (do DI//BC) Hình thang BIEC (do EI//BC) Hình thang BDEC (do DE//BC) b.
Chứng minh ∆BDI và ∆EIC cân BD = DI, EC = EI DE = BD + EC
Liên hệ tài liệu word môn toán: 039.373.2038 TÀI LIỆU TOÁN HỌC
Website:tailieumontoan.com
Bài 4. Chứng minh rằng tổng hai cạnh bên của hình thang lớn hơn hiệu hai đáy. Hướng dẫn:
Kẻ BE // AD => AB = DE và AD = BE
Nên DC – AB = DC – DE = EC AD + BC = BE + BC
Xét ∆BEC, ta có BE + BC > EC AD + BC > DC – AB
Bài 5. Cho hình thang ABCD (AB//CD) có CD = AD + BC. Gọi K là điểm thuộc đáy CD
sao cho KD = AD. Chứng minh tia phân giác của góc A và góc B cùng đi qua K. Hướng dẫn:
+) AD = KD => ∆ADK cân tại D => DAK = AKD Mà AKD = BAK (slt) => DAK = BAK
=> AK là phân giác góc DAB (1)
+) Vì CD = AD + BC mà KD = AD nên KC = BC
+) Chứng minh tương tự chứng minh (1) ta có BK là phân giác góc ABC (2)
+) Từ (1) và (2) => đpcm BÀI TẬP VỀ NHÀ
Bài 6. Cho tam giác ABC vuông cân tại A. Ở phía ngoài tam giác ABC, vẽ tam giác BCD
vuông cân tại B. Tứ giác ABCD là hình gì? Vì sao? Hướng dẫn:
ABCD là hình thang vuông vì:
∆ABC vuông cân tại A nên góc A = 900, góc ACB = 450
∆BCD vuông cân nên góc BCD = 450 Góc ACD = 900
Hai góc A và ACD trong cùng phía bù nhau nên AB //CD
Xét tứ giác ABCD có AB// CD nên ABCD là hình thang
Lại có góc A = 900 nên ABCD là hình thang vuông. 7
Bài 7. Tính các góc của hình thang ABCD (AB//CD) biết rằng = − 0 A D, B C = 120 . 2 Đáp án: 0 = 0 = 0 = 0 A 140 , D
40 , B 150 , C = 30
Bài 8. Cho tứ giác ABCD, biết
A : B : C : D = 1: 2 : 3 : 4
a) Chứng minh ABCD là hình thang.
Liên hệ tài liệu word môn toán: 039.373.2038 TÀI LIỆU TOÁN HỌC
Website:tailieumontoan.com
b) Gọi giao điểm của AD và BC là E. Chứng minh CD = ED. Hướng dẫn:
a) Xét tứ giác ABCD ta có + + + 0 A B C D = 360 A B C D Lại có
A : B : C : D = 1: 2 : 3 : 4 => = = = 1 2 3 4
AD TC của dãy tỉ số bằng nhau tính được: 0 = 0 = 0 = 0 A 36 , B
72 , C 108 , D = 144 + 0 A
D = 180 , mà hai góc ở vị trí trong cùng phía
AB//CD nên ABCD là hình thang. b) ECD =
B (đồng vị) => 0 ECD = 72 EDC =
A (đồng vị) => 0 EDC = 36 Xét ∆ECD, ta có EDC + EDC + 0 E = => 0 180 CED = 72
∆ECD cân tại D nên CD = ED. (đpcm)
Bài 9. Cho ABCD là hình thang (AB//CD). Biết rằng tia phân giác góc C đi qua trung điểm
M của AD. Chứng minh rằng: a) Tam giác BMC vuông. b) BC = AB + CD. Hướng dẫn:
a) Tia BM cắt đường thẳng CD tại E. => ∆AMB = ∆DME (g.c.g) => ME = MB
∆BEC có CM là phân giác đồng thời là trung tuyến =>
∆BEC cân tại C => CM đồng thời là đường cao
=> ∆BMC vuông tại M. (đpcm) b) Ta có EC = ED + DC
mà AB = ED (∆AMB = ∆DME) => EC = AB + CD
Lại có ∆BEC cân tại C => BC = EC => BC = AB + CD (đpcm)
Liên hệ tài liệu word môn toán: 039.373.2038 TÀI LIỆU TOÁN HỌC
Website:tailieumontoan.com
PHIẾU BÀI TẬP TUẦN 2 MÔN TOÁN| LỚP 8
PHIẾU SỐ 3: NHỮNG HẰNG ĐẲNG THỨC ĐÁNG NHỚ
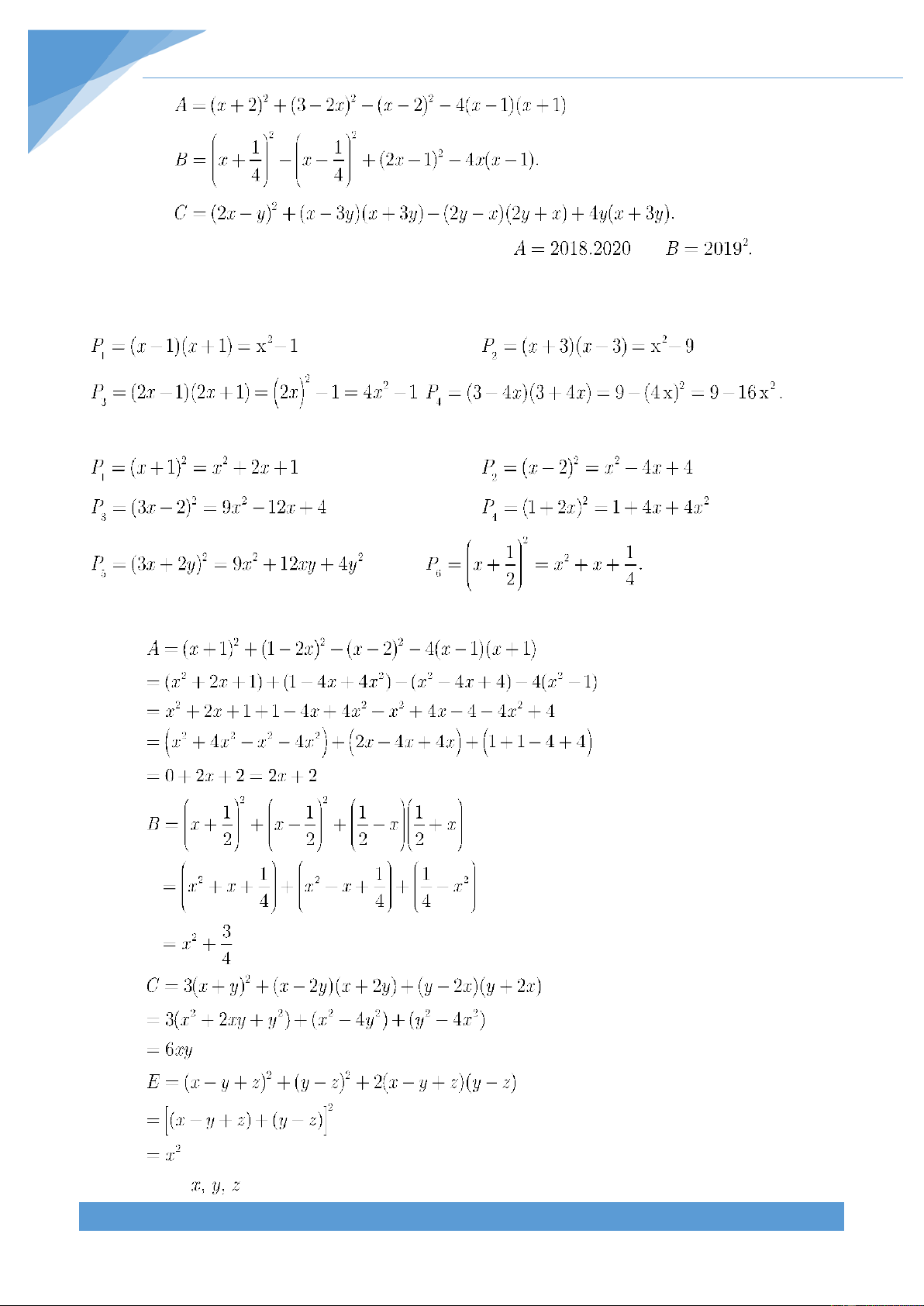
Bài 1. Rút gọn các biểu thức sau (sử dụng hằng đẳng thức): ; ; ;
Bài 2. Khai triển các biểu thức sau (sử dụng hằng đẳng thức): ; ; ; ; ;
Bài 3. Rút gọn các biểu thức sau: a) . b) c) d) Bài 4. Tìm biết: a) b)
Bài 5. Chứng minh rằng các biểu thức sau luôn dương với mọi giá trị của biến a. b. BÀI TẬP VỀ NHÀ
Bài 1. Rút gọn các biểu thức sau (sử dụng hằng đẳng thức): ; ; ;
Bài 2. Khai triển các biểu thức sau (sử dụng hằng đẳng thức): ; ; ; ; ;
Bài 3. Rút gọn các biểu thức sau:
Liên hệ tài liệu word môn toán: 039.373.2038 TÀI LIỆU TOÁN HỌC
Website:tailieumontoan.com a) . b) c)
Bài 4. Không dùng máy tính, hãy so sánh hai số và
ĐÁP ÁN – HƯỚNG DẪN GIẢI Bài 1. Bài 2. Bài 3. a. b. c. d. Bài 4. Tìm biết:
Liên hệ tài liệu word môn toán: 039.373.2038 TÀI LIỆU TOÁN HỌC
Website:tailieumontoan.com a. Vì nên ta có khi và chỉ khi hay x = y = 1 b. . Vì nên ta có khi và chỉ khi Vậy x = 1, y = 2, z = 3 Bài 5. a. b. BÀI TẬP VỀ NHÀ
Bài 1. Rút gọn các biểu thức sau (sử dụng hằng đẳng thức): ; ; ;
Bài 2. Khai triển các biểu thức sau (sử dụng hằng đẳng thức): ; ; ; ; ;
Bài 3. Rút gọn các biểu thức sau: a) . b) c) Bài 4. và
Liên hệ tài liệu word môn toán: 039.373.2038 TÀI LIỆU TOÁN HỌC
Website:tailieumontoan.com
PHIẾU BÀI TẬP TUẦN 2 MÔN TOÁN| LỚP 8
PHIẾU SỐ 3: NHỮNG HẰNG ĐẲNG THỨC ĐÁNG NHỚ (TIẾP)
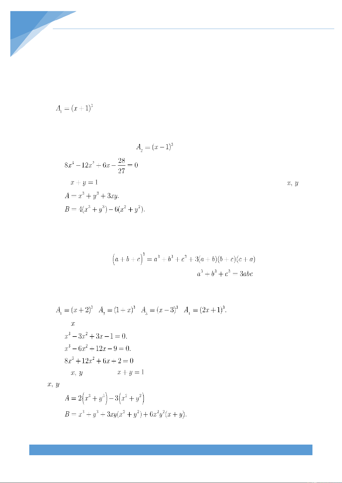
Bài 1. Sử dụng hằng đẳng thức, khai triển các biểu thức sau: ; ; 3
A (x 2) ; 3
A (3 x) . 3 4
Bài 2. Tìm x biết a) 3 2
x 3x 3x 26 0. b) 3 2
x 6x 12x 9 0. c) Bài 3. Cho
. CMR giá trị mỗi biểu thức sau đều không phụ thuộc vào : a) b)
Bài 4. Cho a – b = 7. Tính giá trị biểu thức : A = a2(a – 1) – b2(b+1) – 3ab(a – b + 1) + ab Bài 5. a. Chứng minh rằng
b. Chứng minh rằng nếu a + b + c = 0 thì ta có BÀI TẬP VỀ NHÀ
Bài 1. Sử dụng hằng đẳng thức, khai triển các biểu thức sau: ; ; ; Bài 2. Tìm , biết: a) b) c) Bài 3. Cho thỏa mãn
. CMR giá trị mỗi biểu thức sau không phụ thuộc vào a) . b) ĐÁP ÁN
Liên hệ tài liệu word môn toán: 039.373.2038 TÀI LIỆU TOÁN HỌC