











Preview text:
Ho Chi Minh City Open University Journal of Science- No. 2(1) 2012 67
RETAIL BUSINESS IN AN EMERGING ECONOMY: THE CASE OF VIETNAM
by Trinh Thuy Anh1 - Tran Tuan Anh1 ABSTRACT
In the recent decades, emerging economies have developed rapidly attracting
foreign direct investment and advanced services, especially in the retail business sector.
This research paper aims to point out the trend of retail business in a Southeast Asian
emerging country, Vietnam. Retail business in Vietnam is more attractive due to its
young population occupying 65% of the national population who maintain optimistic
shopping behaviors. Since 2008, the negative impact of the global financial crisis and
Vietnam’s economic instability have affected the Vietnam’s retail market negatively. It
seems that potential retail market is on the decrease when the attractive index of the
retail market was number one in 2008, number sixth in 2009 and number fourteen in
2010 in the world. This research assesses whether an emerging economy like Vietnam
would continue to be an attractive destination for international retail market and
what deterred big retailers from investing in Vietnamese market? Furthermore, are
local retail businesses ready for competition? If so, what is the current trend in a
rapidly changing and risky environment as Vietnamese economy is experiencing at the moment.
This research employs integrated statistical comparison and analysis. Demand
and supply model in retail business is employed to identify the trend of retail business in
Vietnam. Furthermore, this paper proposes strategies for retail business development in
Vietnam in order to refocus the role of government to support the development of retail business.
Our assessment suggests that Vietnamese businesses which utilize modern
business concepts have grown swiftly while local businesses that follow traditional
retail channel are under increased pressure for change due to market competition.
The urban market remains attractive to domestic and foreign investors while the
rural market is largely unexplored. Consequently, a combination between modern
and traditional concepts could be utilized to promote and exploit full potentials of
Vietnam’s retail business. This adaptation, which requires businesses to shift from
traditional concepts into modern concepts, demands drastic change in business
modeling such as size, structure and business practices. The research also provides
policy suggestions including improvement of facility development, refining local
supply chain, and simplifying procedural logistics for businesses to help them smoother this transition.
Keywords: retail, Viet nam, emerging economy
1Ho Chi Minh City Open University.
68 Ho Chi Minh City Open University Journal of Science- No.2 (1)2012 1. OVERVIEW OF VIETNAM
improved. Thanks to increasing income, RETAIL BUSINESS
consumer demand increases every year,
The process of global economic
creating conditions for the retail business
integration in Vietnam has been widely
to stably develop. In the period of 2006-
and deeply impacting on many economic
2009, average growth rate of the retail
fields. Particularly, the retail business is
market was about 22% annually. Total
one of the fields which develops more
domestic retail sales in 2010 reached
dynamically and has more developing
77.8 billion dollars which is more than
potentials. In the past decades, Vietnam’s
70% GDP of the country. This number is
economy has achieved high growth
higher than that of other countries in the
rates comparing with these of other
region (the percentage of retail sales is
developing countries. Thus, life quality
55.9% in Singapore, 58.2% in Malaysia
of the people has been increasingly and 67.7% in Thailand).
Figure 1. Total retail trade in the period 2005-2010 (Billion USD)
Source: Vietnam General Statistics Office
Besides the growth in sales, retail Organization) commitments, many new
types in Vietnam have been rapidly factors have appeared to promote the
changing. In the past, the common type development of the retail sector in the
in retail business was traditional markets country. The foreign-invested enterprises
and small individual shops. Now, modern are penetrating and expanding business
forms of retailing institution such as in Vietnam, creating favorable conditions
supermarkets, shopping centers, special to the retail sector to more develop and be
stores, convenience stores are gradually more competitive: competition between
formed, rapidly growing alongside the traditional retail forms and modern retail
development of traditional forms. The forms, competition between foreign and
growth of modern type of retail institution domestic retail businesses. The formation
has been promoting the development of and development of modern retail forms
retail business in Vietnam. Moreover, marked the growth of the retail business in
since Vietnam integrated into the global Vietnam recently, especially in big cities
economy through WTO (World Trade such as Ho Chi Minh city and Hanoi.
Ho Chi Minh City Open University Journal of Science- No. 2(1) 2012 69
Many strong domestic retailer was Saigon Coop with the sales in 2009
brands have quickly dominated the retail reaching 498 million USD.
business. The most prominent was the
Besides the growth of supermarket
formation and growth of supermarkets trading daily necessary goods and consumer
as Co.opMart, Hapro Mart, Big C, Fivi goods, specialty stores and convenience
Mart… Until late 2010, Co.opMart has stores are also developed. Supermarkets
had 50 supermarkets in the country; that sell electronics, electrical appliances,
Meanwhile, Hapro Mart, owned by Hanoi telecommunication equipment such as
Supermarket Joint Stock Corporation, has Nguyen Kim chain, Best Caring’s and
had 30 supermarkets; Fivi Mart has had Mobile World also ranked in the Top 500
15 supermarkets; Big C, foreign retail big retail businesses in Asia Pacific. The
business, has established 14 supermarkets success of those companies has confirmed
in major cities throughout the country. The the position of this type of retailing in
presence of these supermarkets has been Vietnam retail business.
promoting the modernization trends in
Currently in Vietnam, the convenience retail channels in Vietnam.
store chain is actively expanding its
The growth in size and retail sales distribution channel throughout big cities
has taken many Vietnam retail businesses in the country. The biggest convenience
to the list of TOP retail businesses in Asia store chain is G7 Mart with about 500
Pacific. Until 2010, Vietnam has had 10 convenience stores. This kind of store has
retail companies which ranked in the TOP been quickly developing during the last
500 retailers in Asia Pacific ranked by few years. Many companies in Vietnam
Retail Asia Magazine coordinating with are investing to expand the convenience
market research firms KPMG and Euro store, especially in big cities like Ho Chi
monitor. Leading in the top of this list Minh city and Hanoi.
Table 1. Types of retail business in Vietnam No Type Unit Total Note Total Market 8.173 (31/12/07) aggregate Urban market 1.772 21,7% proportion Rural market 6.401 78,3% 1 Markets Proportion Wholesale markets of agricultural market 92 products Retail market 8.081 2Shopping centers Center 70 (estimated number) 3 Supermarkets Supermarket 350
70 Ho Chi Minh City Open University Journal of Science- No.2(1)2012 Small shops of 4 individual business Shops 900.000 household Companies operating in 2006 5 the retail sector Company 55.000 Survey data Cooperative 6trade – service Cooperative 685 Aggregate 31/12/2007 7Household business Million household 2,9
Source: Ministry of Industry and Trade of Vietnam
The attractiveness of retail business businesses around the world to penetrate
in Vietnam is also expressed through the into the Vietnam retail industry. Currently,
market rankings by A.T. Kearney. Within some big enterprises are participating
recent three years, Vietnam has always and expanding business in Vietnam such
occupied a high rank in the ranking of as Big C (France), Metro Cast Carry
attractive investment markets.
(Germany), Lotte (South Korea), Parkson
2. WTO INTEGRATION PROCESS (Malaysia). These enterprises mainly build
and expand supermarkets and modern AFFECTING TO RETAIL BUSINESS
shopping centers. Besides, some foreign
From 11.01.2007, Vietnam officially enterprises choose the strategy of business
became the 150th member of the World cooperation with local businesses like
Trade Organization. Since then, Vietnam Minitop (Japan) – being a joint venture
has begun to implement the roadmap of with G7 Mart to deploy convenience
WTO commitments. In the retail sector, stores in Vietnam. Fair Price - one of the
as from 1.1.2009, Vietnam has allowed leading retail businesses in Singapore - is
foreign investors to establish businesses implementing cooperation projects with
with 100% foreign capital in the retail Coop Mart to expand the supermarket
business. This commitment was an chain in some big cities in Vietnam.
important step in opening up Vietnam
The penetration of foreign corporation
retail industry. Supermarkets, shopping creates a new face for the retail industry in
centers and other modern retail types with Vietnam recently. Retail corporations have
100% foreign capital have penetrated invested more in retail infrastructure and
into Vietnam retail market. However, in personnel training. This has changed
as committed, to establish the second the service style in the whole retail sector.
location or subsidiary, foreign investors A modern style and polite shopping
must obtain the permission, comply with environment is taking shape. The foreign
the criteria of geographical size, with retail enterprises have brought the modern
number of retailers in the area, with the trend of retail to Vietnam. This promoted
stability of the market, with population the local retailers to invest more in retail
density in the locality and in accordance business to have better competition. And
with the planning of local authority.
this has brought more benefits to local The process of international
consumers. In comparison with the past,
integration has enabled many big retail supermarkets and shopping centers have
Ho Chi Minh City Open University Journal of Science- No. 2(1) 2012 71
had bigger scales now, and especially foreign retail companies are becoming
goods are more diversified. The sales more and more drastic, especially in big
technology has been invested towards cities of Vietnam such as Ho Chi Minh
computerization and automation, creating city, Hanoi, Danang, Can Tho. With
a modern environment in the retail service. their advantages in capital, experience in
The coming of foreign retail enterprises developing emergent markets and modern
created competitions, speeding up the retail technologies, foreign enterprises
development of local businesses. Many have many advantages entering Vietnam
domestic enterprises such as CoopMart learnt market. According to a research of
from foreign corporations the experience of Vietnam Retail Association, although
retail system management, and then applied having difficulties in approaching Vietnam
modern business management in different market, foreign enterprises have their own
fields such as sourcing and exploiting goods initial success when entering. Vietnamese
supplies and improving their marketing, consumers rapidly adapt to professional
sales, logistics, personnel management and trading environment and advanced
retail operations. This is the inherent weak business policies of foreign enterprises.
point of local supermarket systems that are Threat of losing market share to foreign
in the phase of forming and developing. enterprises is completely a possibility for
Some local supermarkets focus on their local business in a near future.
loyal customers. Lots of loyal customer Together with advantages and
care programs are implemented. Some challenges to Vietnam retail industry in the
supermarkets develop goods with their process of global economic integration,
own brand name. This is a new trend in difficulties in world economy recently
the Vietnam retail market while adopting had definite impacts on the market
modern retail technologies of the world. development.
At the moment, own-brand names in 3. MACROECONOMIC FACTORS
fields of food, confectionery and washing AFFECTING THE RETAIL MARKET
substance have been in a trial period with
Global economic crisis recently some initial success.
has negatively affected the economic
Besides some positive effects, development of Vietnam. Growth rate of
economic integration also brought to Vietnam GDP was high whereas that of
Vietnam retail enterprises some problems. other developing countries decreased in
Competitiveness between domestic and recent period.
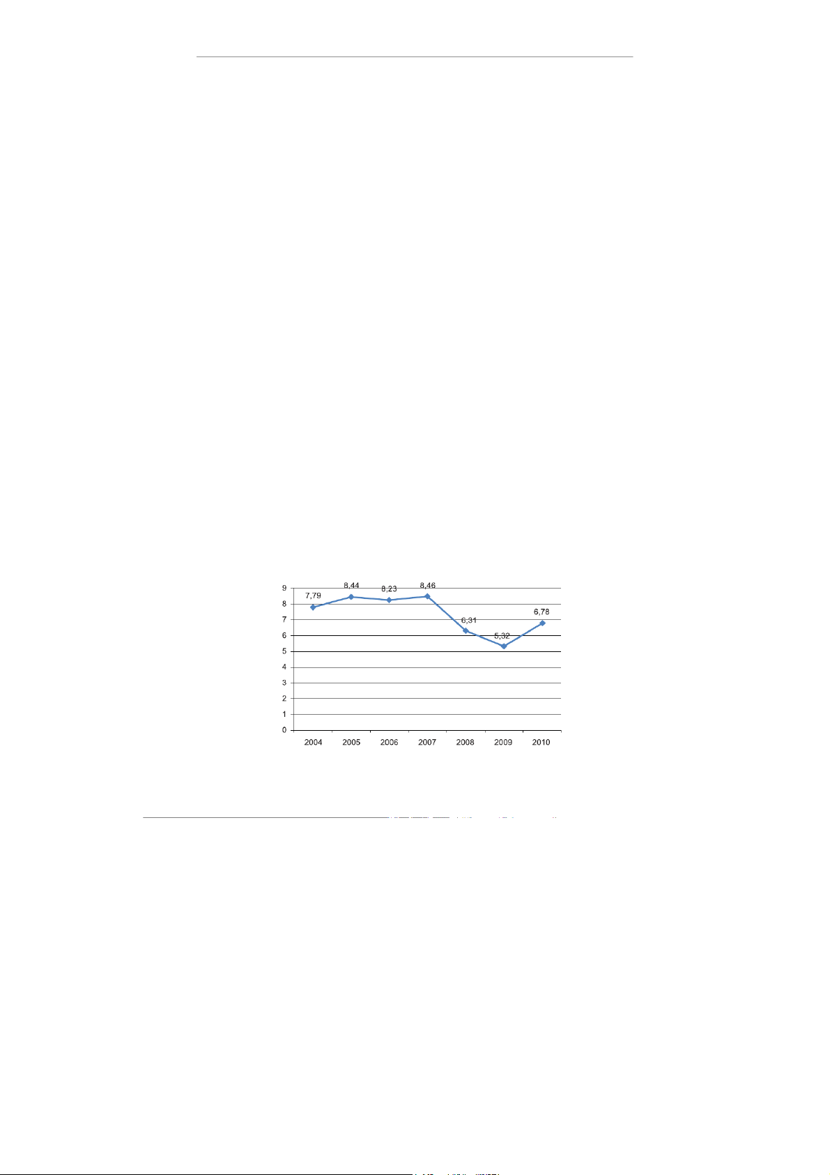
Figure 2. Growth rate of Vietnam GDP
Source: Vietnam general statistics office
72 Ho Chi Minh City Open University Journal of Science- No.2(1)2012
Vietnam economics has had many Vietnamese government had a target of
difficulties since 2008. Many measures to keeping the increase of CPI under 7%.
stimulate demands made by Vietnamese However, in reality, this rate was 11.75%,
government in 2009 helped hold the 1.8 times higher than that of previous year.
decrease of GDP. However, the result was High inflation decreased the purchasing
not as expected. Growth rate was 5.32% power of the money and also decreased
in 2009. This was the least growth rate of the living standard of people with average
Vietnam in the past 10 years of reforming and low income who took the most of
and integrating into global economics. In Vietnamese population.
the short term, Vietnam macroeconomics Comparing Dec. 2010 with Dec.
has many challenges from the changes of 2006, CPI of Vietnam increased 60.74%. world economics.
In the first five months of 2011, the
After the shock of decrease in increase speed of CPI was even higher,
growth rate of GDP, Vietnam has been 12.07% comparing with Dec. 2010 and
facing to the increase of inflation problem 19.78% comparing with five months of the
in recent years. In the beginning of 2010, previous year.
Figure 3. Movements of the CPI 2009 and 2010 in Vietnam
Source: Vietnam General Statistics office
One of the macroeconomic problems the economic regulation policy of the
giving headache to businessmen, especially government, this bank loan interest may
retailers and suppliers, is interest rate is be kept until the end of 2020. The increase
at a high level. Since beginning of 2011, in bank loan interest, cutting down
Vietnamese government has implemented non-production loan and discouraging
monetary tightening policies, decreasing consuming loan are now an obstacle in
social investment and expenditure, the development of Vietnam retail market,
decreasing cash circulation in the market especially in installment credit.
in order to restrain inflation. Currently,
Despite meeting difficulties in the
bank loan interest is 23-25% per annum. process of WTO post-integration and
This brings difficulties to enterprises negative impacts from the economics
in maintaining the manufacturing. of Vietnam, the retail market still has
Many enterprises have to reduce their chances to strongly develop. Core factors
manufacturing and retail enterprises for the market development will be
have the same problems. According to presented below.
Ho Chi Minh City Open University Journal of Science- No. 2(1) 2012 73
4. MAIN FACTORS STIMULATING the Internet in Vietnam. We will examine
THE RETAIL BUSINESS DEVELOPMENT in turn these factors. Vietnam is a country whose Disposable income
economy is newly emergent and in
It can be said that, the rapid economic
the process of transition to market
growth rate of Vietnam in recent years has
mechanisms. On natural aspect, there are
contributed significantly to increase people’s
many positive factors for the sustainable
income. GDP growth rate of Vietnam recently
development of the market. The key
has maintained at a high level. Either during
factors to be mentioned are: disposable
the world economic crisis in 2008 or in the income, population structure, the
recovery phase with current difficulties, GDP
consumer confidence index, the culture
growth rate of Vietnam is always in the top
and consumer behavior and the growth of
of the fast-growing economies in the world.
Figure 4. Vietnam average income per capita (dollars) during 2001 – 2009
Source: Vietnam General statistics office
Thanks to the growth of GDP, the period of gold population level with
income of the population has increased 60% of the population aging less than 35
almost 3 times during the past 10 years years old. Young population structure is a
which has spurred the growth of personal good factor that affects the growth of the consumption.
retail industry because young consumers
This has led to the increase of have high demand in procurement and
total retail sales. In 2010, the total retail they adapt to various types of modern
sales reached about 77.8 billion dollars shopping. Furthermore, with about 72%
that was 4.7 times higher than that in of population that live in rural areas
2001. Forecasting for the coming years, whose income have been improving, retail
the growth rate of retail sales will be business have had a source of potential
maintained about 25% annually.
consumers with high purchasing power. Population structure
Consumers in rural areas have accustomed
With a population of 86 million, to traditional retail types such as markets
Vietnam is one of the major markets in and small shops. This will promote the
Southeast Asia. Moreover, in terms of development of markets and small shops
population structure, Vietnam is in the in rural areas in the near future.
74 Ho Chi Minh City Open University Journal of Science- No.2(1)2012
Figure 5. Vietnam population tower in 2010
Source: Institute for population and social issues. Consumer confidence index
and individual living standard. Consumer
Consumer confidence index affects confidence index will affect positively
the purchasing power of consumers. This the spending. This will lead to the
index depends on many factors such as: improvement of consumers’ buying power
prospects of economy, value of money, in the same income level.
belief in employment, foreign investment
Figure 6. Vietnam Consumer confidence index comparing
with the world average consumer confidence index during 2006-2010 Source: Nielsen Vietnam
According to collective data of the Vietnam retail industry.
last 5 years, the consumer confidence Culture and consumer behavior
index of Vietnamese consumers is high
to compare with the average index of Culture and consumer behavior
the world, even in the period of global affect the development of the retail market.
economic crisis, 2008 to 2010. This is the Theoretically, the distribution of types
positive indicator for the development of of retailers should be tailored to culture
Ho Chi Minh City Open University Journal of Science- No. 2(1) 2012 75
and shopping behavior of consumers with nearly 30% of the population,
in residential area. The development of supermarkets and modern shopping
modern types of retail takes time to form centers take about 15-20% market share.
and develop according to the adaption Meanwhile, in rural areas, with 70% of the
of local culture and consumer behavior. population, traditional retail types such as
There was a lesson from the past about markets and household small shops take a
the improper retail types and consumer bigger market share of about 90% because
behavior. In the period 2002-2003, Masan these still suit the culture and purchase
Mart chain with 25 stores opened and behaviors of the people there.
quickly closed because the convenience
Internet impacts and the potentials
stores were not a proper business model to develop e-commerce
at that time. Consumers did not acquaint
Besides the characteristic of young
themselves with this kind of store. But population, the number of Internet users in
since 2006, the situation has changed. Vietnam has recently increased. According
There were many convenience stores to Vietnam Internet Center of the Ministry
thriving, mainly in big cities in Vietnam of Information and Communication, there
such as G7 mart chain, Shop & Go chain. are about 27 million internet users in
However, this type of retail is still in the Vietnam up to beginning of 2011. This
stage of improving itself and adapting means 31,5% of the population using
to culture and shopping behavior of Internet. This is an impressive figure for
Vietnamese consumers. In urban areas, the developing of e-commerce.
Figure 7. Number of Internet users in Vietnam
Source: Vietnam Internet center – Ministry of Information and Communication.
A recent research of Yahoo and 5. POLICIES TO PROMOTE THE
Kantar Media made in 2009 showed that GROWTH OF RETAIL BUSINESS IN
97% Vietnamese use Internet to read news. VIETNAM
Those who use Internet to shop online take
In order to maintain the growth
about 11%. This is a very positive signal rate of 22-25% in the coming period,
for the development of online shopping Vietnam retail business needs favorable
channel. However, due to restrain of conditions. Through all above analysis,
infrastructure, the habit of using e-money we can see that Vietnam retail market has
or paying by credit cards is not yet popular potentials to strongly develop and can
in Vietnam. This restricts the development become one of the biggest retail markets of this selling channel.
in South East Asia. Nevertheless, since the
76 Ho Chi Minh City Open University Journal of Science- No.2(1)2012
time Vietnam officially opened its retail
this market? A.T. Kearney evaluated
market under WTO commitment, why big
Vietnam as one among potential markets
brands in retail business like Wal-Mart,
according to Foreign Direct Investment
Tesco, and Carrefour have not entered Confident Index.
Figure 8. 2010 Foreign Direct Investments Confident Index
One of the main reasons that the to invest in Vietnam retail market. Local
leading retail businesses worldwide have authorities must continuously improve
not entered Vietnam market is the size of the retail industry planning and simplify
the market. Only big cities such as Hanoi, administrative formalities, especially
HCMC, Da Nang, Can Tho are suitable formalities for investment licenses. They
for modern retail models like supermarket, must also give more detailed instructions
hypermarket, shopping center. Other in order that enterprises can approach and
places have limited purchasing power.
carry out the investment projects.
Moreover, when opening the 2nd retail
Vietnam retail market is a potential
outlet, foreign enterprises have difficulties market with a population of about 86
to get permission from the authorities. The million. However, about 60.4 million people
permission must be complied with local (70.4% of the population) live in rural
planning and with local requirements. The areas. This sector needs to be planned for
government needs to be explicit in legal the development of distribution channel in
system and administrative reform, giving accordance with the specific characteristic
favorable conditions to foreign business of the residents. Up to 2020, traditional
Ho Chi Minh City Open University Journal of Science- No. 2(1) 2012 77
retail forms will still remain and develop to the economy development during
in rural areas. Therefore, the government the integration process into the world
should create good conditions to plan the economy. The growth rate of this
development of markets coordinating with market is always high and stable. In the
modern retail forms such as supermarket coming period, forecasted by experts,
and shopping centers. This then can give this growth rate will be maintained 20%
ways to the development of retail markets per annual. In accordance to the market in these areas.
development, forms of retail business
One modern form of shopping having will change conformable to consumers’
been established in Vietnam is e-commerce. buying behaviors. Modern retail types
Although Internet growth rate in Vietnam such as supermarkets, shopping centers
has recently increased remarkably, and specialty stores will be developed in
e-commerce is not yet developed. Many parallel with traditional forms. Foreign
reasons lead to this slackness. One main retail business will penetrate and expand
reason is the lack of legal regulations retail channel in Vietnam, creating
for e-commerce development. Most competitive environment in retail industry.
enterprises implementing e-commerce Today, Vietnam is facing some difficulties
in Vietnam have difficulties in payment from macroeconomics such as high
system. Until the end of 2009, the rate of inflation and decline of economic growth.
credit card payment is only 1% out of total These factors have negative impacts on
expenditure in Vietnam. Today, Vietnam the market development. However, being
is still lack of legal regulations on the a developing country with a big and
rights of both enterprises and consumers young population who has high demand
in e-commerce. These obstacles must of consumption, retail industry still have
be overcome for the development of lots of development potentials. In order e-commerce.
to maintain this growth, the government
must play a supportive role with suitable 6. CONCLUSION
policies, especially for e-commerce, rural
Vietnam retail industry has played markets and advantage environment to
an important role and involvement help retail business develop firmly. REFERENCES
1. Vietnam Industry and Trade Information Center, Ministry of Industry and Trade of
Vietnam, 2010, “Hàng Việt vì nhu cầu thị hiếu tiêu dùng người Việt”, Industy and Trade Publisher.
2. Vietnam Industry and Trade Information Center, Ministry of Industry and Trade of
Vietnam, 2010, “Kinh nghiệm xúc tiến thương mại thị trường nội địa một số nước
trên thế giới”, Industy and Trade Publisher.
3. Vietnam Industry and Trade Information Center, Ministry of Industry and Trade
of Vietnam, 2010, “Thị trường nội địa, tiềm năng còn bỏ ngõ”, Industy and Trade Publisher. 4. http://www.gso.gov.vn 5. http://vinanet.com.vn/
6. http://retailasiaonline.com/ 7. http://www.atkearney.com