









Preview text:
Câu 1: so sánh chi tiêu vè mua sắm hàng hóa và chi thanh toán chuyển nhượng? Chi mua sắm hàng hóa (G)
Chi thanh toán chuyển nhượng (TR)
Là nhu cầu về hàng hóa dịch vụ của chính phủ
Là toàn bộ các khoản hỗ trợ & trợ cấp cho các cá
nhân hay doanh nghiệp của chính phủ Phân loại:
Vd: hỗ trợ thiên tai, trợ cấp thất nghiệp, hỗ trợ -
Chi thông thường: là những khoản
chi trả lãi vay nước ngoài,…
chi để duy trì hoạt động của nhà
nước (trả lương cho viên chức, an ninh quốc phòng,…) -
Chi đầu tư phát triển: là các khoản
chi để xây dựng cơ sở hạ tầng (điện,
đường, trường, trạm,…) -
Có hàng hóa đối ứng trở lại
Không có hàng hóa đối ứng trở lại
Câu 2: ổn định kinh tế vĩ mô và tăng trưởng kinh tế vĩ mô là gì? Tại sao chính phủ lại quan tâm đến hai vắn đề này? -
ổn định kinh tế vĩ mô là kết quả của việc giải quyết các vấn đề cấp bách của nền kinh tế làm
giảm chu kỳ dao động của chu kỳ kinh doanh, giảm lạm phát và thất nghiệp nhiều. -
tăng trưởng kinh tế vĩ mô là cố gắng phấn đấu tăng mức sản lượng đạt mức tối đa mà nền
kinh tế này có thể đạt được. -
trong ngắn hạn, với mức sản lượng cho trước, cần làm giảm bớt sự chênh lệch giữa sản
lượng tiềm năng và sản lượng thực tế hay nói cách khác là làm giảm chu kỳ dao động của
chu kỳ kinh doanh do đó mục tiêu ổn định kinh tế là quan trọng nhất. -
trong dài hạn, để phát triển theo kịp với các nước tiên tiến trên thế giới cần làm cho mức
sản lượng tiềm năng tăng nhanh kéo theo mức sản lượng thực tế cũng tăng theo do đó cần
chú trọng tăng trưởng kinh tế.
câu 3:chính phủ sử dụng công cụ nào để tăng giảm mức cung tiền? -
tỷ lệ dự trữ bắt buộc (Rd): là tỷ lệ tối thiểu của lượng tiền dự trữ so với các khoản tiền gửi
mà NHTW yêu cầu các NHTM để đảm bảo khả năng thanh toán cho khách hàng. -
Lãi suất chiết khấu (it): là mức lãi suất mà NHTW cho các NHTM vay. -
Nghiệp vụ thị trường mở: là nghiệp vụ mà NHTW thường sử dụng để thay đổi lượng tiền cơ
sở thông qua việc mua bán trái phiếu. - Để tăng mức cung tiền: Rd↓ It↓
→MS↑→i↓→I↑→AD↑→Y↑ Mua trái phiếu
- Đề giảm mức cung tiền: Rd↑ It↑
→MS↓→i↑→I↓→AD↓→Y↓ Bán trái phiếu
Câu 4:bản chất của quy luật OKUN?
- Khái niệm: khi GDP thực tế giảm 2% so với GDP tiềm năng thì tỷ lệ thất nghiệp tăng 1%.
Phản ánh mới quan hệ giữa tăng trưởng và thất nghiệp là tỷ lệ nghịch.
- Hệ quả: GDP thực tế phải tăng nhanh sao cho bằng với GDP tiềm năng để tỷ lệ thất nghiệp không đổi.
- Bản chất của quy luật:
+ Đưa ra mới quan hệ sống còn giữa thị trường đầu ra và thị trường lao động.
+ Ám chỉ mới quan hệ tỷ lệ nghịch giữa GDP thực tế với thất nghiệp.
+ Mô tả mối quan hệ giữa những vận động ngắn hạn của GDP thực tế với những thay đổi của thất nghiệp.
Do lao động có việc làm góp phần làm tăng lượng hàng hóa dịch vụ còn thất nghiệp thì
không do đó tỷ lệ thất nghiệp tăng sẽ dẫn đến sự suy giảm của GDP thực tế. Câu 5:so sánh CPI và D CPI D Khái niệm
Phản ánh sự biến động của giá
Phản ánh sự biến động của giá
cả hàng hóa dịch vụ tiêu dùng
cả hàng hóa dịch vụ tính vào thiết yếu GDP và GNP Công thức D=GD G P D n Pr =GNPn GNPr
Phản ánh sự biến động của giá
Phản ánh sự biến động của giá cả hàng hóa NTD mua.
cả hàng hóa dịch vụ trong nền
Tính cả sự biến động giá cả của kinh tế. hàng hóa nhập khẩu.
Chỉ gồm hàn hóa được sản xuất
Được tính toán bằng cách sử trong nước.
dụng giỏ hàng hóa cố định.
Giỏ hàng hóa thay đổi theo thời
gian khi cơ cấu GDP thay đổi.
Câu 6. So sánh lạm phát cầu kéo và lạm phát phí đẩy? Lạm phát cầu kéo Lạm phát phí đẩy Nguyên nhân
Khi chính phủ ấn định 1 tỷ lệ
Xảy ra khi xuất hiện các cơn sốt
thất nghiệp nhất định, mong
về giá cả đầu vào làm cho chi
muốn đạt mức sản lượng cao do
phí sản xuất tăng lợi nhuận giảm
đó chính phủ sử dụng các chính
doanh nghiệp thu hẹp quy mô
sách kinh tế vĩ mô mở rộng làm
sản xuất làm đường AS dịch trái
cho đường AD dịch phải. Đồ thị
Câu 7: làm phát và thất nghiệp luôn có mối quan hệ đánh đổi đúng hay sai?
- Nhận định trên là không hoàn toàn chính xác.
- Trong ngắn hạn, làm phát và thất nghiệp có mối quan hệ ngược chiều và với lạm phát do cầu.
lạm phát và thất nghiệp có môi quan hệ cùng chiều đối với lạm phát do cung.
- Trong dài hạn, lạm phát và thất nghiệp không có mối quan hệ. Câu 8: so sánh GDP và GNP? - Giống nhau:
+ Là tổng giá trị thị trường + Được tính bằng tiền + Hàng hóa cuối cùng
+ Trong một thời kỳ nhất định (thường là 1 năm) - Khác nhau GDP GNP
Là tổng giá trị thị trường của tất cả các hàng hóa
Là tổng giá trị hàng hóa dịch vụ cuối cùng được
dịch vụ cuối cùng được sản xuất trong phạm vi
sản xuất bởi các yếu tố sản xuất của một quốc gia
lãnh thổ quốc gia trong một thời kỳ nhất định.
trong một thời kỳ nhất định.
Là chi tiêu tính theo phạm vi lãnh thổ quốc gia
Là chỉ tiêu tính theo yếu tố sản xuất của một quốc
(lãnh thổ quốc gia là lãnh thổ kinh tế của các đơn
gia là tổng thu nhập bằng tiền mà tất cả người
vị thường trú, GDP chỉ quan tâm đến điều kiện
dân một nước kiếm được (GNP chỉ quan tâm
lãnh thổ không chú ý đến điều kiện quốc tịch sở
ddeeesn điều kiện quốc tịch sở hữu mà không hữu)
quan tâm đến điều kiện lãnh thổ).
Câu 9: tại sao phải tách khấu hao thành một khoản riêng biệt trong việc tính GDP theo phương pháp thu nhập?
- Theo phương pháp thu nhập: GDP= w+i+r+Pr+De+Ti
- Khấu hao là một phần chi phí sản xuất đồng thời các yếu tố chi phí sản xuất khác chưa bao
gồm nó. Để tiện cho việc hạch toán và quản lý người ta thường tách khấu hao thành một bộ
phận riêng biệt cấu thành GDP theo phương pháp thu nhập hay chi phí.
Câu 10: tại sao cùng 1 chỉ tiêu GDP lại có thể vừa phản ánh thông qua phương pháp thu nhập vừa phản
ánh thông qua phương pháp chi tiêu?
- GDP là tổng giá trị thị trường của tất cả các hàng hóa dịch vụ cuối cùng được sản xuất ra trong
phạm vi lãnh thổ của một quốc gia trong một thời kỳ nhất định.
- Theo phương pháp chi tiêu: GDP=C+I+G+NX
- Theo phương pháp thu nhập:GDP=w+i+r+Pr+Ti+De
- Do trong nền kinh tế thường bao gồm người mua và người bán (người sản xuất và người tiêu
dùng) do đó chi tiêu của người này là thu nhập của người kia và ngược lại.
Câu 11: tại sao các doanh nghiệp phải tích trữ hàng tồn kho?
- Các doanh nghiệp phải tích trữ hàng tồn kho là vì: + Điều hòa sản xuất
+ Giúp doanh nghiệp hoạt động hiệu quả hơn vì có sẵn hàng để chào bán.
+ Kịp thời bổ sung nguồn hàng khi nhu cầu tiêu dùng về hàng hóa dịch vụ đột ngột tăng nhanh.
+ Bị quy định bởi quá trình sản xuất.
Câu 12: lãnh thổ kinh tế quốc gia được quan niệm như nào?
- Bao gồm các đơn vị hoạt động sản xuất dưới hình thức một tổ chức hay một cá nhân hộ gia đình thường trú.
- Chịu sự quản lý của nhà nước mà ở đó dân cư, hàng hóa, tài sản, vốn được tự do lưu thông.
- Các khi chế xuất, kho hàng, kho hải quan, các nhà máy bên ngoài bờ biển của quốc gia chịu sự
kiểm soát của quốc gia đấy.
- Trừ đi phần lãnh thổ quốc gia cho nước ngoài thuê, mượn, sử dụng.
Câu 13. GDP có phải là chỉ tiêu tốt nhất để đo lường phúc lợi xã hội hay không? vì sao?
- GDP không phải là chỉ tiêu tốt nhất để đo lường phúc lợi xã hội vì:
+ Một số thứ làm cho cuộc sống tốt đẹp hơn không được tính vào GDP.
+ GDP sử dụng giá thị trường để đo lường hàng hóa dịch vụ nên nó bỏ qua các hoạt động
diễn ra bên ngoài thị trường.
+ GDP bỏ qua chất lượng môi trường.
+ GDP không đề cập đến phân phối lợi nhuận.
Câu 14: sử dụng sơ đồ Keynes để giải thích chính phủ sử dụng chính sách tài khóa hay chính sách tiền tệ
làm khuếch đại sản lượng?
- Chính phủ sử dụng chính sách tài khóa hay chính sách tiền tệ để khuếch đại sản lượng theo
phương trình: ∆ Y =m. ∆ AD
- Để khuếch đại sản lượng, chính phủ cần sử dụng chính sách tài khóa mở rộng hay chính sách tiền tệ mở rộng - Cơ chế: + CSTKMR: G↑ AD↑→Y↑→P↑,u↓ T↓ ∆ Y =m. ∆ G ∆ Y =mt . ∆ T Or + CSTTMR: Rd↓
It↓ →MS↑→i↓→I↑→AD↑→Y↑→P↑,u↓ Mua trái phiếu ∆ Y =m. ∆ I
Câu 15: tại sao khi xem xét tác động của CSTK cùng chiều đối với mục tiêu ổn định kinh tế vĩ mô thì ngân
sách cân bằng không phải lúc nào cũng tốt? -
Cán cân ngân sách cân bằng: ∆ G=∆ T -
Khi chính phủ thay đổi chi tiêu và thuế thì làm cho tổng cầu thay đổi một lượng:
∆ AD=∆G+∆ C=∆ G−MPC . ∆ T =∆ G . (1−MPC ) - Vì (1-MPC)>0 -
TH1: Y+ ∆ G=∆ T >0=¿∆ AD >0=¿ADdịch phải=¿Y tăng
Phù hớp với nền kinh tế đang suy thoái. - TH2: Y>Y*
+ ∆ G=∆ T Phù hợp với nền kinh tế đang tăng trưởng nóng, lạm phát nhiều. - TH3: Y=Y*
+ Trong trường hợp này thì nếu chính phủ tăng giảm G và T một lượng như nhau thì đều làm
cho sản lượng lệch khỏi vị trí cân bằng nên đều không tốt.
Câu 16: phân tích tác động của việc gia nhập WTO đến tổng thu nhập của nước ta?\ - AD=C+I+G+NX - Khi tham gia vào WTO:
+ CHúng ta được áp dụng các thành tựu khoa học kỹ thuật, công nghệ tiên tiến trên thế giới
NSLĐ tăng->Y tăng->thu nhập tăng
+ vốn đầu tư nước ngoài tăng
I tăng->AD tăng->Y tăng->thu nhập tăng
+ Hàng hóa đa dạng phong phú hơn kích thích người tiêu dùng mua nhiều hơn
C tăng -> AD tăng-> Y tăng-> thu nhập tăng
+ Cạnh tranh gay găt hơn, các doanh nghiệp phải tự nâng cao trình độ tay nghề đầu tư nhiều hơn I tăng, G tăng, NX tăng
AD tăng->Y tăng->tổng thu nhập tăng.
Câu 17: trình bày ưu nhược điểm của các giải pháp tài trợ thâm hụt ngân sách thông qua phát hành trái phiếu? -
Phát hành trái phiếu: là việc chính phủ vay nợ của công chúng thông qua việc phát hành trái
phiếu-> MS giảm->i tăng-> I giảm->AD giảm-> Y giảm.
+ Ưu điểm: phù hợp với nền kinh tế đang tăng trưởng nóng, lạm phát nhiều
Tập trung được các khoản tiền nhàn rỗi trong dân chúng
Bù đắp được thâm hụt ngân sách.
+ NHược điểm: gây gánh nợ cho chính phủ trong tương lai
Kìm hãm sự phát triển của nền kinh tế do tập trung vào các khoản tiền nhàn
rỗi trong dân chúng( khoản tiền này dùng đề tái đầu tư)
Không phù hợp với nền kinh tế đang suy thoái. -
Phát hành tiền: MS tăng->i giảm -> I tăng -> AD tăng -> Y tăng
+ Ưu điểm: phù hợp với nền kinh tế đang suy thoái
Nhu cầu bù tiền được bù đắp nhanh
Không gây gánh nợ trong tương lai
Không kìm hãm sự phát triển của nền kinh tế + NHược điểm:
Tạo ra một khối lượng tiền tệ rất lớn gay lạm phát nhanh khó kiểm soát
Không phù hợp trong nền kinh tế đang tăng trưởng nóng
Không tập trung được khoản tiền nhàn rỗi trong dân chúng.
Câu 18: các công cụ quản lý của chính sách tiền tệ và ưu nhược điểm?
Tỷ lệ dự trữ bắt buộc: là tỷ lệ tối thiểu của khối lượng tiền tệ dự trữ so với các khoản tiền gửi mà
NHTW yêu cầu các NHTM để đảm bảo khả năng thanh toán cho khách hàng. - Ưu điểm:
+ Nó tác động đến tất cả các NHTM là như nhau và có tác động đầy quyền lực lên cung ứng tiền tệ. - Nhược điểm:
+ Quản lý tương đối phức tạp, tốn kém rất nhiều kể cả những thay đổi nhỏ, nếu thay đổi
nhiều sẽ làm ảnh hưởng rất lớn đến cung ứng tiền tệ.
Lãi suất chiết khấu: là lãi suất mà NHTW cho các NHTM vay. - Ưu điểm:
+ NHTW có thể sử dụng công cụ này để thực hiện vai trò cứu cánh của mình (người cho vay cuối cùng). - Nhược điểm:
+ Khi NHTW ấn định lãi suất chiết khấu ở một mức độ nào đó sẽ xảy ra những biến động
trong khoảng cách giữa lãi suất thị trường với lãi suất chiết khấu.
+ Nhiều khi có sự lẫn lộn đối với ý định của NHTW do có nhiều sự thay đổi trong chính sách chiết khấu.
+ Nhiều khi còn không hiệu quả bằng các chính sách khác.
Nghiệp vụ thị trường mở: là nghiệp vụ mà NHTW thường sử dụng để thay đổi lượng tiền cơ sở
thông qua việc mua bán trái phiếu. - Ưu điểm:
+ Nghiệp vụ tự do, linh hoạt, chính xác, có thể sử dụng ở bất kỳ mức độ nào.
+ Dễ dàng đảo ngược khi có những sai lầm trong quá trình tiến hành.
+ Hoàn thành nhanh chóng không gây chậm trễ về thời gian. - Nhược điểm:
+ Đối với mua trái phiếu:
Không phù hợp với nền kinh tế đang tăng trưởng nóng, lạm phát cao.
Tạo ra một khối lượng tiền tệ lớn gay lạm phát cao khó kiểm soát.
Không tập trung dược các khoản tiền nhàn rỗi trong dân chúng.
+ Đối với bán trái phiếu:
Không phù hợp trong nền kinh tế đang suy thoái.
Kìm hãm sự phát triển của nền kinh tế do tập trung vào các khoản tiền nhàn rỗi trong
dân chúng (khoản tiền này dùng để tái đầu tư).
Gây ra gánh nặng nợ cho chính phủ trong tương lai.
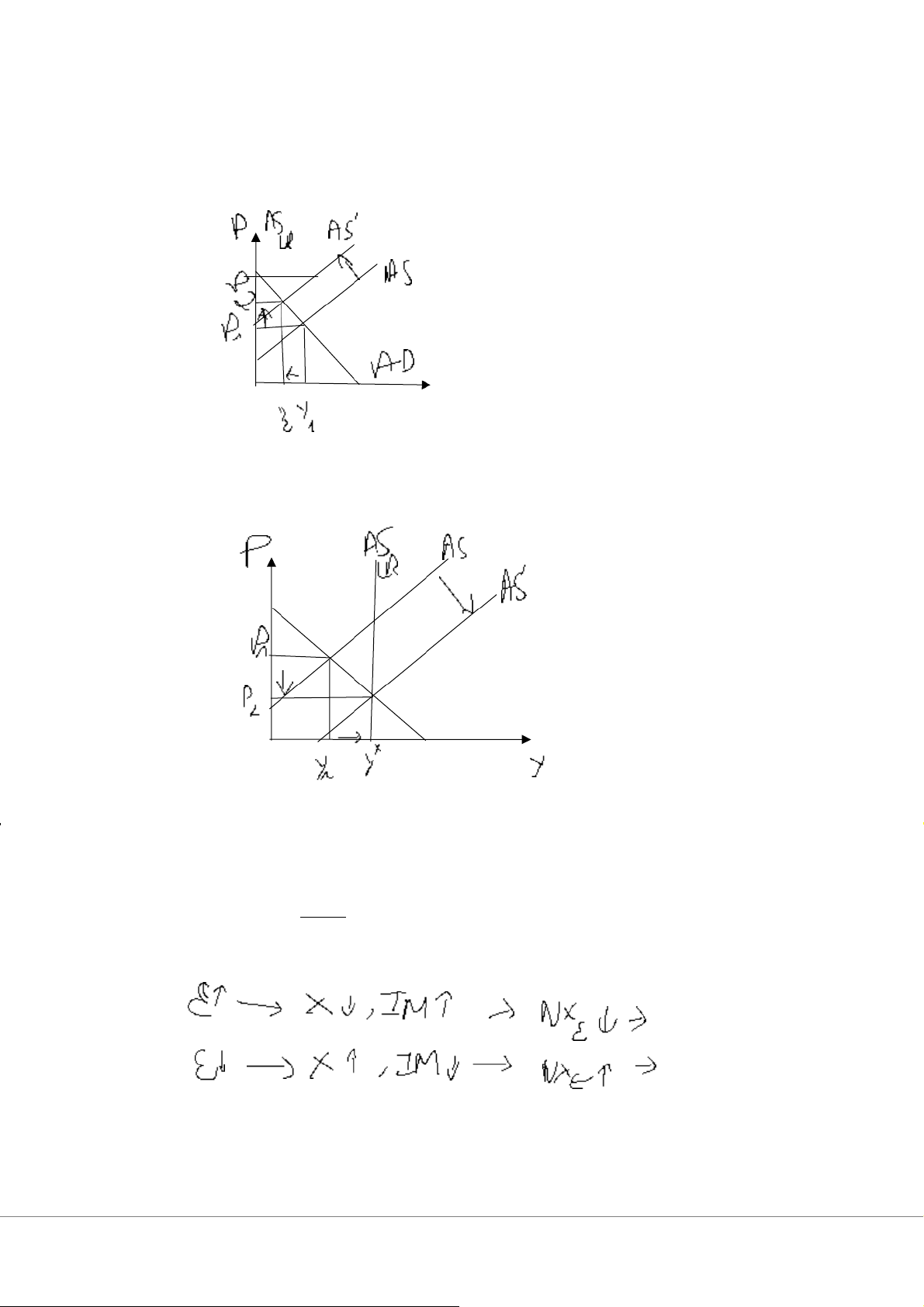
Câu 19: trình bày quá trình tự điều chỉnh của nền kinh tế ? Y>Y* -
Lúc này nền kinh tế đang ở trạng thái tăng trưởng nóng, lạm phát cao, xảy ra hiện tượng dư
cầu lao động làm cho chi phí sản xuất tăng lợi nhuận giảm doanh nghiệp thu hẹp quy mô sản
xuất làm đường AS dịch trái. Y-
Lúc này nền kinh tế đang trong tình trạng suy thoái kinh tế xảy ra hiện tượng dư cung lao
động làm chi phí sản suất giảm lợi nhuận tăng doanh nghiệp mở rộng quy mô sản xuất làm đường AS dịch phải.
Câu 20: tại sao nói tỷ giá hối đoái thực tế phản ánh năng lực cạnh tranh giữa các quốc gia? -
Khái niệm: tỷ giá hối đoái là giá so sánh giữa 2 quốc gia với nhau và hàng hóa phải đồng nhất. - Công thức: ε=ePP∗¿¿ - Cơ chế : Khả năng cạnh tranh hàng hóa nước ngoài cao Khả năng cạnh tranh hàng hóa trong nước cao.
Câu 21: thực chất mối quan hệ giữa đầu tư nước ngoài ròng và xuất khẩu ròng (hãy trình bày cách xác
định tỷ giá hối đoái cân bằng bằng cách đồ thị) -
Đầu tư nước ngoài ròng là phần chênh lệch giữa tiết kiệm quốc gia và đầu tư tư nhân trong nước. - AD=C+I+G+NX=Y->Y-C-I-G=NX Sqg-I=NX ε
Câu 22: hãy trình bày các công cụ chính sách bảo hộ mậu dịch. Tại sao các nhà kinh tế thường chống lại các chính sách này? -
Mục đích của cán cân thương mại là khuyến khích xuất khẩu, hạn chế nhập khẩu (NX ε tăng ¿ - Công cụ: + Thuế quan + TRợ giá xuất khẩu + Hạn ngạch nhập khẩu + Thủ tục hành chính
+ Biện pháp kĩ thuật và các biện pháp khác. -
Cơ chế: X ↑ , ℑ↓→ NXε ↑→ ε ↑ → X ↓ , ℑ↑→ NXε ↓
Khi áp dụng chính sách làm NXe giảm nên các nhà kinh tế thường chống lại nó.
Câu 23: trình bày ý nghĩa của phương trình số lượng? - Công thức:
Trong đó : M-khối lượng tiền tệ
V-tốc độ lưu thông tiền tệ
P-giá cả hàng hóa dịch vụ
Y- thu nhập thực tế (sản lượng) -
Lý thuyết số lượng tiền tệ giả định tốc độ lưu thông tiền tệ là không đổi là lãi suất điều chỉnh
cho thị trường tiền tệ là cân bằng -
Ý nghĩa: khối lượng tiền tệ quyết định giá trị sản lượng bằng tiền của nền kinh Đề thi ngày