Report tài liệu
Chia sẻ tài liệu
Summary mid all formulas to prepare for the exam | Môn Applied Linear Algebra - Trường Đại học Quốc tế, Đại học Quốc gia Thành phố Hồ Chí Minh
Summary mid all formulas to prepare for the exam Môn Applied Linear Algebra. Tài liệu được sưu tầm gồm 24 trang, giúp bạn ôn tập tốt hơn. Mời các bạn đón xem.
Môn: Applied Linear Algebra 10 tài liệu
Trường: Trường Đại học Quốc tế, Đại học Quốc gia Thành phố Hồ Chí Minh 2 K tài liệu
Tác giả:




















Tài liệu khác của Trường Đại học Quốc tế, Đại học Quốc gia Thành phố Hồ Chí Minh
Preview text:
lOMoAR cPSD| 59085392 Gaussian elimination - Row echelon form: - Back Substitution. lOMoAR cPSD| 59085392 Triangular matrix Diagonal Matrix Symmetric Matrix lOMoAR cPSD| 59085392 Identity Matrix Matrix Multiplication lOMoAR cPSD| 59085392 Basic Properties lOMoAR cPSD| 59085392 Inverse Matrix lOMoAR cPSD| 59085392 APPLICATION: lOMoAR cPSD| 59085392 lOMoAR cPSD| 59085392 lOMoAR cPSD| 59085392 Markov Chain: ex1: X1 = P x (X0)
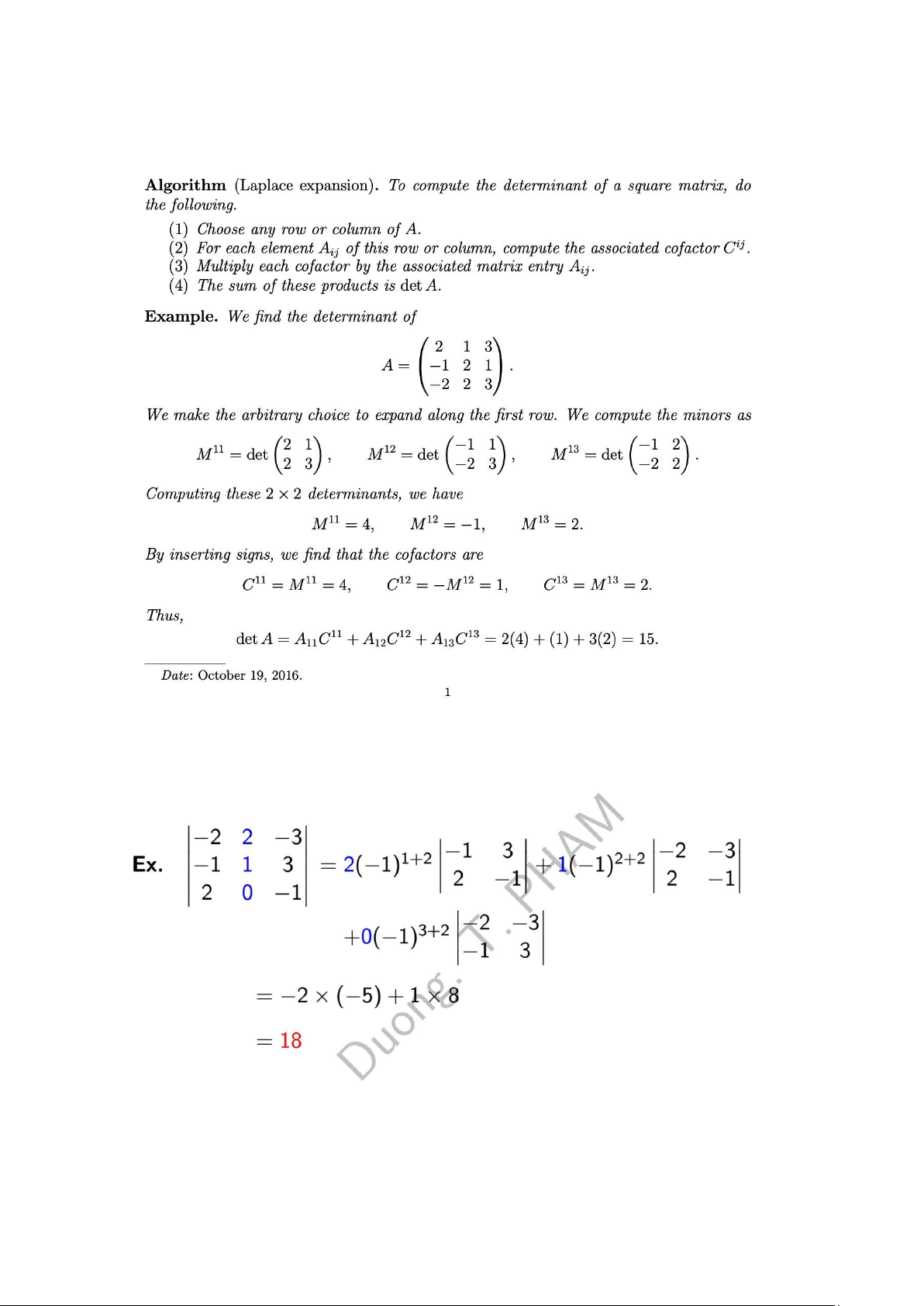
X2 = P x (X1) = P x (P x Xo ) = (P^2) x Xo X3 = P x (X2) = (P^3) x Xo lOMoAR cPSD| 59085392 => Xn = (P^n) x (Xo) ex2: lOMoAR cPSD| 59085392 lOMoAR cPSD| 59085392 DETERMINANT lOMoAR cPSD| 59085392 Laplace: lOMoAR cPSD| 59085392 lOMoAR cPSD| 59085392
NOTE : Use Cramer’s Rule: detA khác 0
Hệ phương trình có số phương trình = số ẩn cần tìm.
Propersition of determinant: lOMoAR cPSD| 59085392 Change row or column lOMoAR cPSD| 59085392 lOMoAR cPSD| 59085392 lOMoAR cPSD| 59085392 lOMoAR cPSD| 59085392 LINEAR INDEPENDENCE,
DEPENDENCE, COMBINATION
Tài liệu liên quan:
-
Exercises Môn Applied Linear Algebra | Trường Đại học Quốc tế, Đại học Quốc gia Thành phố Hồ Chí Minh
160 80 -
The practice exercise for mid term test | Môn Applied Linear Algebra - Trường Đại học Quốc tế, Đại học Quốc gia Thành phố Hồ Chí Minh
124 62 -
Matrix Echelon Forms and Inverses | Môn Applied Linear Algebra - Trường Đại học Quốc tế, Đại học Quốc gia Thành phố Hồ Chí Minh
100 50 -
Exercises: Matrices & Linear Equations (2021) | Môn Applied Linear Algebra - Trường Đại học Quốc tế, Đại học Quốc gia Thành phố Hồ Chí Minh
135 68 -
Final Exam Notes | Môn Applied Linear Algebra - Trường Đại học Quốc tế, Đại học Quốc gia Thành phố Hồ Chí Minh
113 57