











Preview text:
TÀI LIỆU GT3 BÁ VJP PRO NO1 I. Chuỗi Điều kiện cần để 𝑛 =
→ 𝑁 ế 𝑢 lim 𝑢 𝑛 ≠ 0 ℎ 𝑜 ặ 𝑐 𝑘 ℎ ô 𝑛𝑔 𝑡 ồ 𝑛 𝑡 ạ 𝑖 → 𝐶 ℎ 𝑢 ỗ 𝑖 𝑝 ℎ â 𝑛 𝑘 ì 𝑛 → ∞
( Trước khi làm 1 câu về chuỗi có thể nhẩm nhanh giới hạn này trước khi làm ) 1. Chuỗi số
Một số chuỗi số có sẵn Chuỗi Riemann Chuỗi hình học a) Chuỗi số dương
Có 𝑢𝑛 ≥ 0 ∀ 𝑛 ≥ 𝑛0
Các tiêu chuẩn áp dụng cho chuỗi số dương:
Tiêu chuẩn D’ Alembert ( Áp dụng tốt cho hàm có mũ, giai thừa )
Note: Cách nhớ là un+1/un < 1 suy ra un+1 < un nghĩa là số đằng sau nhỏ hơn số đằng trước => Dãy
cứ giảm dần giảm dần => Hội tụ
Tiêu chuẩn Cauchy ( Áp dụng tốt cho hàm cần hạ bậc n )
Note: Từ cách nhớ của TC D’ Alembert rồi suy ra Cauchy tương tự =)) Tiêu chuẩn tích phân
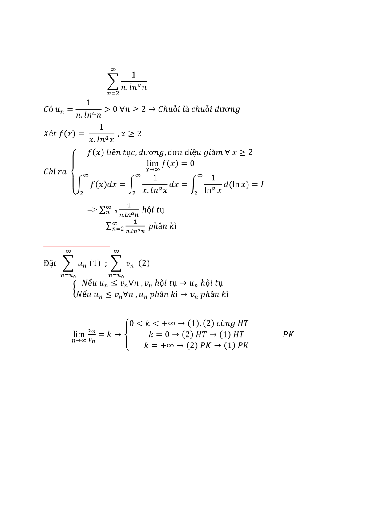
( Theo mình thấy thì TC này thường áp dụng cho dạng dưới đây nên mình không nói TCTP về mặt lí thuyết nữa ) Nếu I hội tụ I phân kì => Tiêu chuẩn so sánh + TC1 :
Note: Cách nhớ: chuỗi dài hơn to hơn mà hội tụ thì chuỗi nhỏ hơn cũng phải hội tụ. Chuỗi bé hơn nhỏ hơn mà phân kì thì chuỗi lớn hơn
cũng phải phân kì , + TC2 :
Một dạng khá phổ biến sử dụng TC2 b) Chuỗi đan dấu
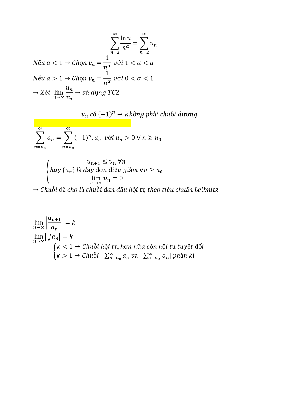
Một số tiêu chuẩn cho chuỗi đan dấu
Tiêu chuẩn Leibnitz ( Phát triển từ tiêu chuẩn Dirichlet mục d ) Nếu
Tiêu chuẩn D’ Alembert và Cauchy mở rộng
( Khi sử dụng sẽ loại bỏ được (-1)n nhờ dấu trị tuyệt đối. Thường dùng trong các bài xét sự HTTĐ
nhưng mình vẫn thấy phù hợp cho chuỗi đan dấu) Khi đó c) S i tụ của chuỗi
d) Một vài tiêu chuẩn nâng cao ( Sưu tầm by Trần Bá Hiếu ) Tiêu chuẩn Dirichlet và Abel
Tiêu chuẩn chuỗi số mở rộng Tiêu chuẩn Raabe Tiêu chuẩn Bertrand Tiêu chuẩn A Tiêu chuẩn B 2. Chuỗi hàm a) Sự hội tụ đều Định nghĩa
Một vài tiêu chuẩn xét sự hội tụ đều
TC Weierstrass (Thường sử dụng) Nếu
Note: Bài toán tìm miền hội tụ, sử dụng đến tính chất của sự hội tụ đều thường áp dụng cho dạng đặc
biệt của chuỗi hàm đó là chuỗi lũy thừa nên mình không nói sâu về chuỗi hàm nữa mà nói vào chuỗi
lũy thừa luôn b) Chuỗi lũy thừa
Khi đó chuỗi lũy thừa hội tụ
Xét tại các điểm x=R và x=-R => Miền hội tụ hoặc
Đây chính là tính chất sử dụng cho dạng bài tính tổng và khai triển Taylor hay
Maclaurin. Các bài về dạng này thì vô số kể, có thể làm trong đề cương trên
Sami là đủ rồi còn muốn MacBook hay HBTN thì mình chịu nhé =))
Bảng khai triển Maclaurin thường gặp 𝑥 ∈ 𝑅 𝑥 ∈ 𝑅 3 5 ∞ 2 𝑛 − 1 𝑥 ∈ 𝑅 𝑥 𝑥 𝑥 sin 𝑥 = 𝑥 − +
− ⋯ = ∑ ( − 1 ) 𝑛 − 1 3 ! 5 ! ( 2 𝑛 − 1 ) 𝑛 = 1 ! ∞ |𝑥| < 1 1 2 + ⋯ = ∑ 𝑥𝑛 = 1 + 𝑥 + 𝑥 1 − 𝑥 𝑛=0 2 3 ∞ 𝑛 + 1 |𝑥| < 1 𝑥 𝑥 𝑥
ln ( 1 + 𝑥 ) = − 𝑥 − − − ⋯ = ∑ − 2 3 𝑛 + 1 𝑛 = 0 3 5 ∞ 2 𝑛 + 1 |𝑥| ≤ 1 𝑥 𝑥 𝑥 arctan 𝑥 = 𝑥 − + + ⋯ = ∑ ( − 1 ) 𝑛 3 5 2 𝑛 + 1 𝑛 = 0 ∞ |𝑥| < 1
𝛼(𝛼 − 1) … (𝛼 − 𝑛 + 1) (1 + 𝑥)𝛼 = 1 + ∑ 𝑥𝑛 𝑛! 𝑛=1 3. Chuỗi Fourier Tổng quát Một s
Các trường hợp đặc biệt
Hàm số f(x) tuần hoàn với chu kì 2π (Thường gặp) (*) Đị :
Cho f (x) tuần hoàn với chu kì 2 , đơn điệu từng khúc và bị chặn trên ;
chuỗi Fourier của nó hội tụ tại mọi điểm trên đoạn
; và có S(x) f
(x), tại điểm liên tục của f (x).
Còn tại điểm gián đoạn x c có
(*) Đẳng thức Parseval:
Nếu f(x) thỏa mãn định lý Dirichlet thì thỏa mãn đẳng thức sau:
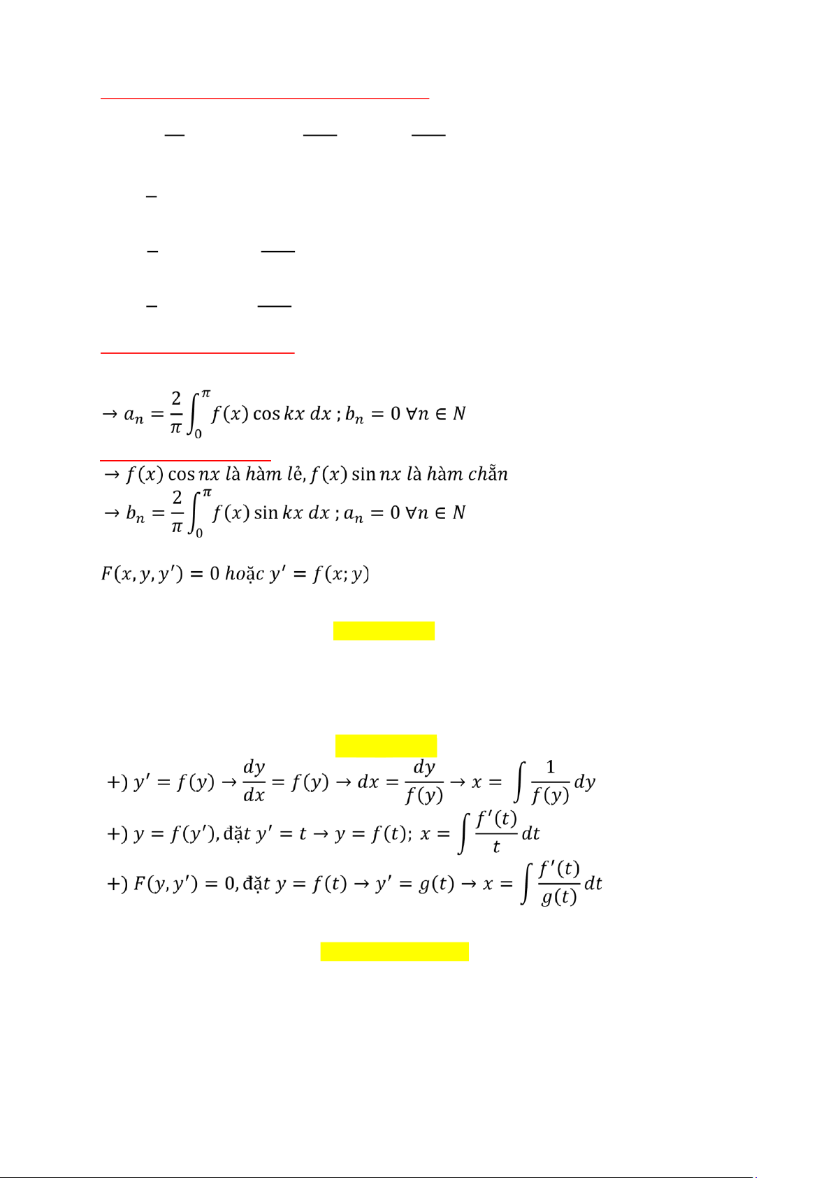
Hàm số f(x) tuần hoàn với chu kì 2l bất kì ∞ 𝑎 0 𝑛𝜋𝑥 𝑛𝜋𝑥 𝑓 ( 𝑥 ) = + ∑ ( 𝑎 + 𝑏 ) 2 𝑛 cos 𝑛 sin 𝑙 𝑙 𝑛 = 1 1 𝑙 𝑎 0 = ∫ 𝑓 ( 𝑥 ) 𝑑𝑥 𝑙 = 𝑙 1 𝑙 𝑛𝜋𝑥 𝑎 𝑛 = ∫ 𝑓 ( 𝑥 ) cos
𝑑𝑥 𝑣 ớ 𝑖 𝑛 = 1 , 2 , 3 , … 𝑙 𝑙 − 𝑙 1 𝑙 𝑛𝜋𝑥 𝑏 𝑛 = ∫ 𝑓 ( 𝑥 ) sin
𝑑𝑥 𝑣 ớ 𝑖 𝑛 = 1 , 2 , 3 , … 𝑙 𝑙 − 𝑙
Hàm s ố f(x) là hàm ch ẵ n
→ 𝑓(𝑥) cos 𝑛𝑥 𝑙à ℎà𝑚 𝑐ℎẵ𝑛 , 𝑓(𝑥) sin 𝑛𝑥 𝑙à ℎà𝑚 𝑙ẻ Hàm số f(x) là hàm lẻ
II. Phương trình vi phân cấp một
1. Phương trình vi phân khuyết 𝐹 ′ ( 𝑥 , 𝑦 ) = 0 + ′
) 𝑦 = 𝑓 ( 𝑥 ) → 𝑦 = ∫ 𝑓 ( 𝑥 ) 𝑑𝑥 + ′ ′ ′
) 𝑥 = 𝑓 ( 𝑦 ) , đ ặ 𝑡 𝑦 = 𝑡 → 𝑥 = 𝑓 ( 𝑡 ) ; 𝑦 = ∫ 𝑡 𝑓 ( 𝑡 ) 𝑑𝑡 𝐹 ′ ( 𝑦 , 𝑦 ) = 0
2. Phương trình vi phân phân li biến số
𝑓 ( 𝑦 ) 𝑑 𝑦 = 𝑔 ( 𝑥 ) 𝑑 𝑥 →
𝐹 ( 𝑦 ) = ∫ 𝑔 ( 𝑥 ) 𝑑𝑥
3. Phương trình vi phân đẳng cấp (thuần nhất) 𝑦 𝑦′ = 𝐹 ( ) 𝑥 𝑦 + ) Đ ặ 𝑡 𝑣 =
→ 𝑦 ′ = 𝑣 + 𝑥 𝑣 ′ 𝑥
+ ) 𝐾 ℎ 𝑖 đó 𝑝𝑡𝑣𝑝 𝑡𝑟 ở 𝑡 ℎ à 𝑛 ℎ 𝑝𝑡𝑣𝑝 𝑝 ℎ â 𝑛 𝑙𝑖
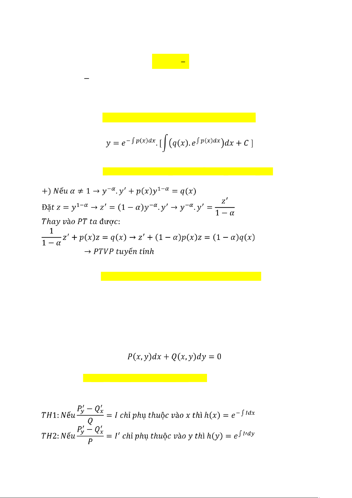
4. Phương trình vi phân tuyến tính 𝑦′ ′
+ 𝑝 ( 𝑥 ) 𝑦 = 𝑞 ( 𝑥 ) ℎ 𝑜 ặ 𝑐 𝑥 + 𝑝 ( 𝑦 ) 𝑥 = 𝑞 ( 𝑦 ) Nghiệm tổng quát: 5. Phương trình Bernoulli 𝑦′ 𝛼 ′ 𝛼
+ 𝑝 ( 𝑥 ) 𝑦 = 𝑞 ( 𝑥 ) 𝑦 ℎ 𝑜 ặ 𝑐 𝑥 + 𝑝 ( 𝑦 ) 𝑥 = 𝑞 ( 𝑦 ) 𝑥 +
) 𝑁 ế 𝑢 𝛼 = 1 → 𝑦 ′ + 𝑦 [ 𝑝 ( 𝑥 ) − 𝑞 ( 𝑥 ) ] = 0 → 𝑃𝑇𝑉𝑃 𝑡 ℎ 𝑢 ầ 𝑛 𝑛 ℎ ấ 𝑡 6. PTVP toàn phần 𝑃 ′ ′
( 𝑥 , 𝑦 ) 𝑑𝑥 + 𝑄 ( 𝑥 , 𝑦 ) 𝑑 𝑦 = 0 𝑡 ℎ ỏ 𝑎 𝑚 ã 𝑛 𝑄 𝑥 = 𝑃 𝑦 𝑁𝑔
ℎ 𝑖 ệ 𝑚 𝑐 ủ 𝑎 𝑃𝑇𝑉𝑃 𝑙 à : 𝑥 𝑦 ∫ 𝑃 ( 𝑥 , 𝑦
0 ) 𝑑 𝑥 + ∫ 𝑄 ( 𝑥 , 𝑦 ) 𝑑 𝑦 = 𝐶 𝑥 0 𝑦 0 𝑦 𝑥 ℎ
𝑜 ặ 𝑐 ∫ 𝑄 ( 𝑥
0 , 𝑦 ) 𝑑𝑦 + ∫ 𝑃 ( 𝑥 , 𝑦 ) 𝑑 𝑦 = 𝐶 𝑡𝑟𝑜𝑛𝑔 đó 𝑥 0 , 𝑦 0 𝑡 ù 𝑦 𝑐 ℎ ọ 𝑛 𝑦 0 𝑥 0
(*)Nhân tử tích phân: PT không phải là PTVP toàn
phần nếu tồn tại hàm số h(x,y) sao cho:
ℎ ( 𝑥 , 𝑦 ) [ 𝑃 ( 𝑥 , 𝑦 ) 𝑑𝑥 + 𝑄 ( 𝑥 , 𝑦 ) 𝑑𝑦 ] = 0 𝑙 à 𝑃𝑇𝑉𝑃 𝑡𝑜 à 𝑛 𝑝 ℎ ầ 𝑛 [ ℎ ′ ′
( 𝑥 , 𝑦 ) 𝑃 ( 𝑥 , 𝑦 ) ]
𝑦 = [ ℎ ( 𝑥 , 𝑦 ) 𝑄 ( 𝑥 , 𝑦 ) ] 𝑥 → ℎ ( 𝑥 , 𝑦 ) 𝑔 ọ 𝑖 𝑙 à 𝑛 ℎ â 𝑛 𝑡 ử
(*)Cách tìm nhân tử h(x,y)
CHÚC MỌI NGƯỜI THI TỐT, FULL A+ <3 - From NTĐ with love -