



Preview text:
Trần Văn Cường 0837 308 348
ÔN TẬP KIỂM TRA GIỮA KÌ 1 2024-2025 Đề số 05
PHẦN I-TRẮC NGHIỆM NHIỀU PHƯƠNG ÁN LỰA CHỌN (3đ)
Câu 1. Mệnh đề P ⇒ Q được gọi là:
A. Mệnh đề tương đương. B. Mệnh đề kéo theo. C. Mệnh đề đảo. D. Mệnh đề phủ định.
Câu 2. Cho mệnh đề P và mệnh đề phủ định P . Khi đó: A. P đúng thì P đúng. B. P sai thì P sai C. P đúng thì P sai.
D. Không xét được tính đúng sai của P
Câu 3. Cho hai mệnh đề: P:"Tứ giác ABCD có 3 góc vuông" và Q:"Tứ giác ABCD
là hình chữ nhật". Mệnh đề P ⇔ Q được phát biểu như sau:
A. Nếu tứ giác ABCD có 3 góc vuông thì tứ giác ABCD là hình chữ nhật.
B. Tứ giác ABCD có 3 góc vuông là điều kiện cần và đủ để tứ giác ABCD là hình chữ nhật.
C. Nếu tứ giác ABCD là hình chữ nhật thì tứ giác ABCD có 3 góc vuông.
D. Tứ giác ABCD có 3 góc vuông là điều kiện cần để tứ giác ABCD là hình chữ nhật.
Câu 4. Mệnh đề nào sau đây đúng? A. 3 là số chẵn. B. 0 là số lẻ. C. 9 chia hết cho 3. D. 1 là số nguyên tố.
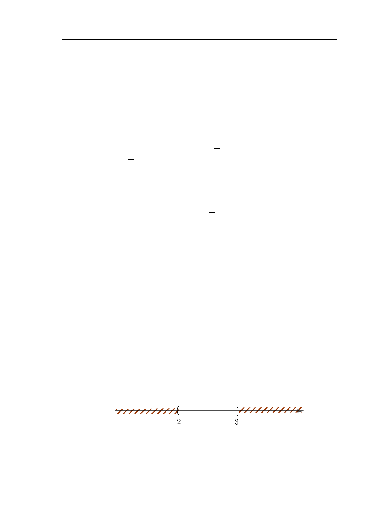
Câu 5. Hình vẽ bên biểu diễn cho tập hợp nào trên trục số? A. [−2; 3] B. (−2; 3] C. [−2; 3) D. (−2; 3)
Câu 6. Cho hai tập hợp A = {1; 2; 5; 6}, B = {1; 2; 3; 4; 5; 6; 7; 8}, khi đó tập CBA là A. {1; 2; 4; 6} B. {4; 6} C. {3; 4; 7; 8} D. {2; 6; 7; 8} 1 Trần Văn Cường 0837 308 348
Câu 7. Cho tập hợp H = {−1; 2; x; y}, N = {x; a; 1}. H ∪ N là tập hợp nào sau đây? A. {x; 1} B. {−1; 2; x; y; a} C. {−1; 2; y} D. {−1; 1; 2; x; y; a}
Câu 8. Bất phương trình bậc nhất hai ẩn là: A. x + 2y = 0 B. x2 + 3y > 4 C. x + 3yz ≤ 2 D. y + 3x ≥ 9
Câu 9. Phần đồ thị không bị gạch bỏ (không lấy bỏ) biểu diễn miền nghiệm của
bất phương trình nào trong các bất phương trình sau? A. 3x − 2y < −6. B. 3x − 2y > −6. C. 2x − 3y > −6. D. 2x − 3y < −6.
Câu 10. Điểm A(1; 2) thuộc miền nghiệm của hệ bất phương trình nào dưới đây? x + 2y > 7 2x − y > 7 3x + 4 ≤ 10 A. B. C. D. Không có đáp 3x − y < 5 x + y ≤ 3 4x − y > 3 án nào
Câu 11. Giá trị của biểu thức A = sin2 51◦ + sin2 55◦ + sin2 39◦ + sin2 35◦ là A. 2 B. 3 C. 1 D. 4
Câu 12. Cho tam giác ABC vuông tại A, ˆ
C = α. Khẳng định nào sai? AB AC AB AB A. sin α = B. cos α = C. tan α = D. cot α = BC BC AC CA
PHẦN II-TRẮC NGHIỆM ĐÚNG SAI (2đ) x + y ≤ 1 (1)
Câu 1. Cho hệ phương trình .Khi đó 2x − y + 4 ≥ 0 (2)
(a) (1) là bất phương trình bậc nhất hai ẩn.
(b) Miền nghiệm của (2) là nửa mặt phẳng bờ là đường thẳng d : 2x − y + 4 = 0 chứa điểm (−1; 5) 2 Trần Văn Cường 0837 308 348
(c) Điểm M (2; −1) thuộc miền nghệm của hệ đã cho
(d) Phần không tô đậm (kể cả bờ) trong hình vẽ dưới đây là miền nghiệm của hệ đã cho.
Câu 2. Cho tam giác ABC có AB = 8 cm, b A = 45◦, b B = 60◦. Khi đó (a) tan A = 2 (b) b C = 80◦ (c) AC ≈ 7, 2cm
(d) Bán kính đường tròn ngoại tiếp R ≈ 4, 1cm
PHẦN III-TRẮC NGHIỆM TRẢ LỜI NGẮN (2đ)
Câu 1. Cho A = {2; 4; 6; 8; 10}, B = {1; 3; 5; 7; 9}. A \ B có bao nhiêu phần tử? Câu 2. Tính sin 30◦
Câu 3. Để đo khoảng cách từ vị trí A trên bờ sông đến vị trí B của con tàu
bị mắc cạn gần một cù lao giữa sông, bạn Minh đi dọc bờ sông từ
vị trí A đến vị trí C cách A một khoảng bằng 50m và đo các góc
BAC = 70◦, BCA = 50◦. Tính khoảng cách AB theo đơn vị mét (làm
tròn kết quả đến hàng đơn vị) 3 Trần Văn Cường 0837 308 348 PHẦN IV-TỰ LUẬN (3đ)
Câu 1. Trong lớp 10A có 35 học sinh. Trong đó có 15 thích môn Văn, 17 em thích
môn Toán, 7 em không thích môn nào. Tính số học sinh thích cả hai môn.
Câu 2. Biểu diễn miền nghiệm của bất phương trinh 2x + 4y ≤ 16
Câu 3. Khoảng cách từ A đến C không thể đo trực tiếp vì phải qua một đầm lầy
nên người ta làm như sau. Xác định một điểm B có khoảng cách AB là
12km và đo được góc ACB = 37◦ . Hãy tính khoảng cách AC biết rằng BC bằng 5km . 4