Report tài liệu
Chia sẻ tài liệu
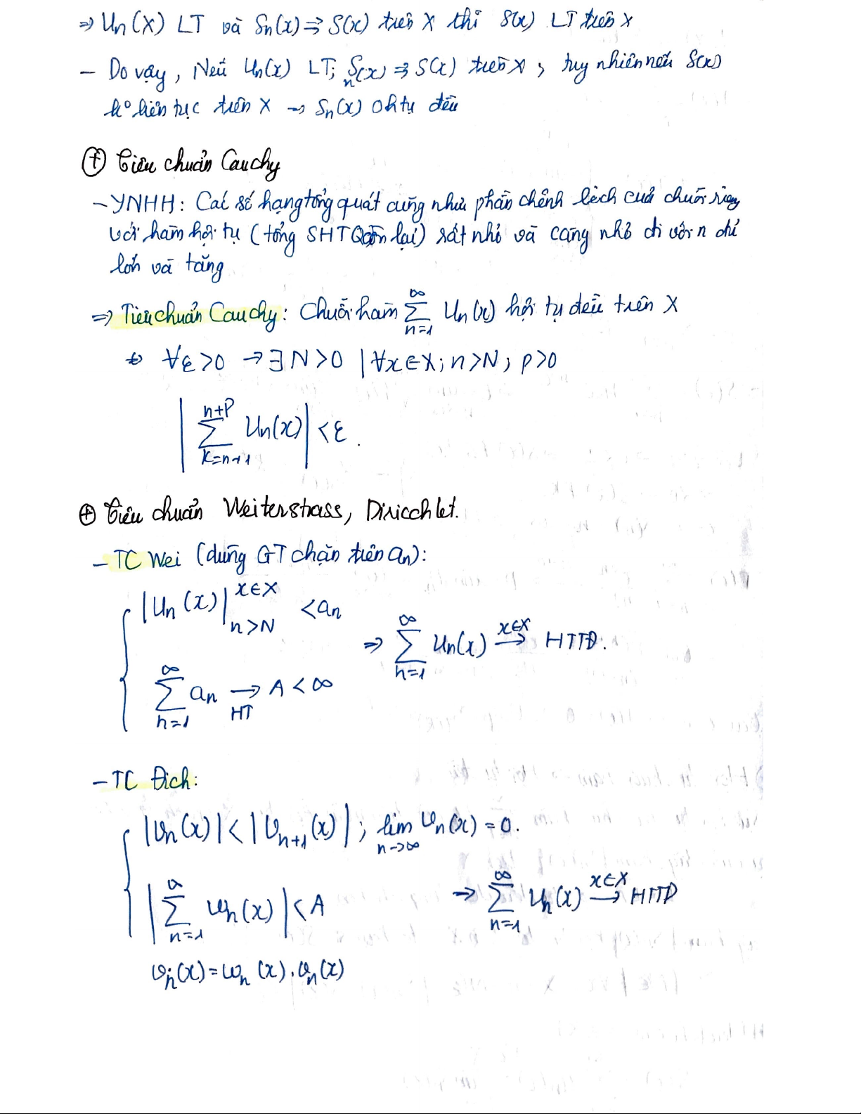
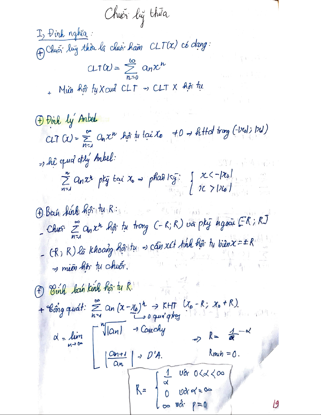
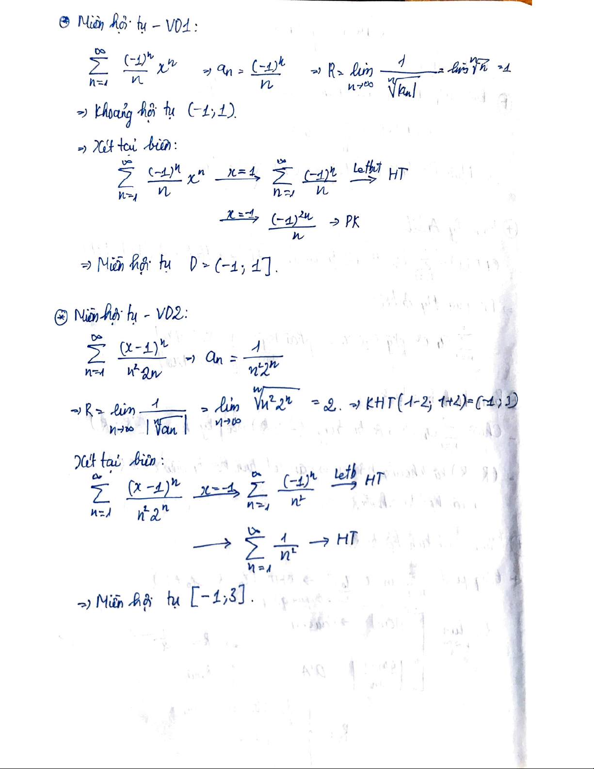
Tài liệu viết tay - Chuỗi số | Giải tích 3 | Trường Đại học Khoa học Tự nhiên, Đại học Quốc gia Hà Nội
Tài liệu được sưu tầm và soạn thảo dưới dạng file PDF với mục đích hỗ trợ học tập và tham khảo. Nội dung tài liệu được trình bày rõ ràng, dễ tiếp cận, phù hợp cho việc ôn tập và củng cố kiến thức trong quá trình học đại học. Đây sẽ là nguồn tư liệu hữu ích giúp các bạn sinh viên chuẩn bị tốt hơn cho các buổi học, đồng thời mở rộng thêm hiểu biết về môn học. Hy vọng tài liệu này sẽ mang lại nhiều giá trị và hỗ trợ các bạn trong hành trình học tập. Mời bạn đọc cùng tham khảo!
Môn: Giải tích 3 (HUS) 15 tài liệu
Trường: Trường Đại học Khoa học tự nhiên, Đại học Quốc gia Hà Nội 1.1 K tài liệu
Tác giả:




















Tài liệu khác của Trường Đại học Khoa học tự nhiên, Đại học Quốc gia Hà Nội
Tài liệu liên quan:
-
Đề thi hết môn học kì 1 Giải tích 3 năm học 2025-2026 - trường đại học Khoa học tự nhiên – Đại học quốc gia hà nội.
70 35 -
Đề thi hết môn học kì 1 Giải tích3 năm học 2025-2026 - trường đại học Khoa học tự nhiên – Đại học quốc gia hà nội
78 39 -
Đề thi hết môn học kì 1 Giải tích3 năm học 2025-2026 - trường đại học Khoa học tự nhiên – Đại học quốc gia hà nội
77 39 -
Đề thi giữa kì môn Giải tích 3 năm học 2025-2026 - trường đại học Khoa học tự nhiên – Đại học quốc gia hà nội
56 28 -
Đề thi giữa kì môn Giải tích 3 năm học 2025-2026 - trường đại học Khoa học tự nhiên – Đại học quốc gia hà nội
57 29