Report tài liệu
Chia sẻ tài liệu
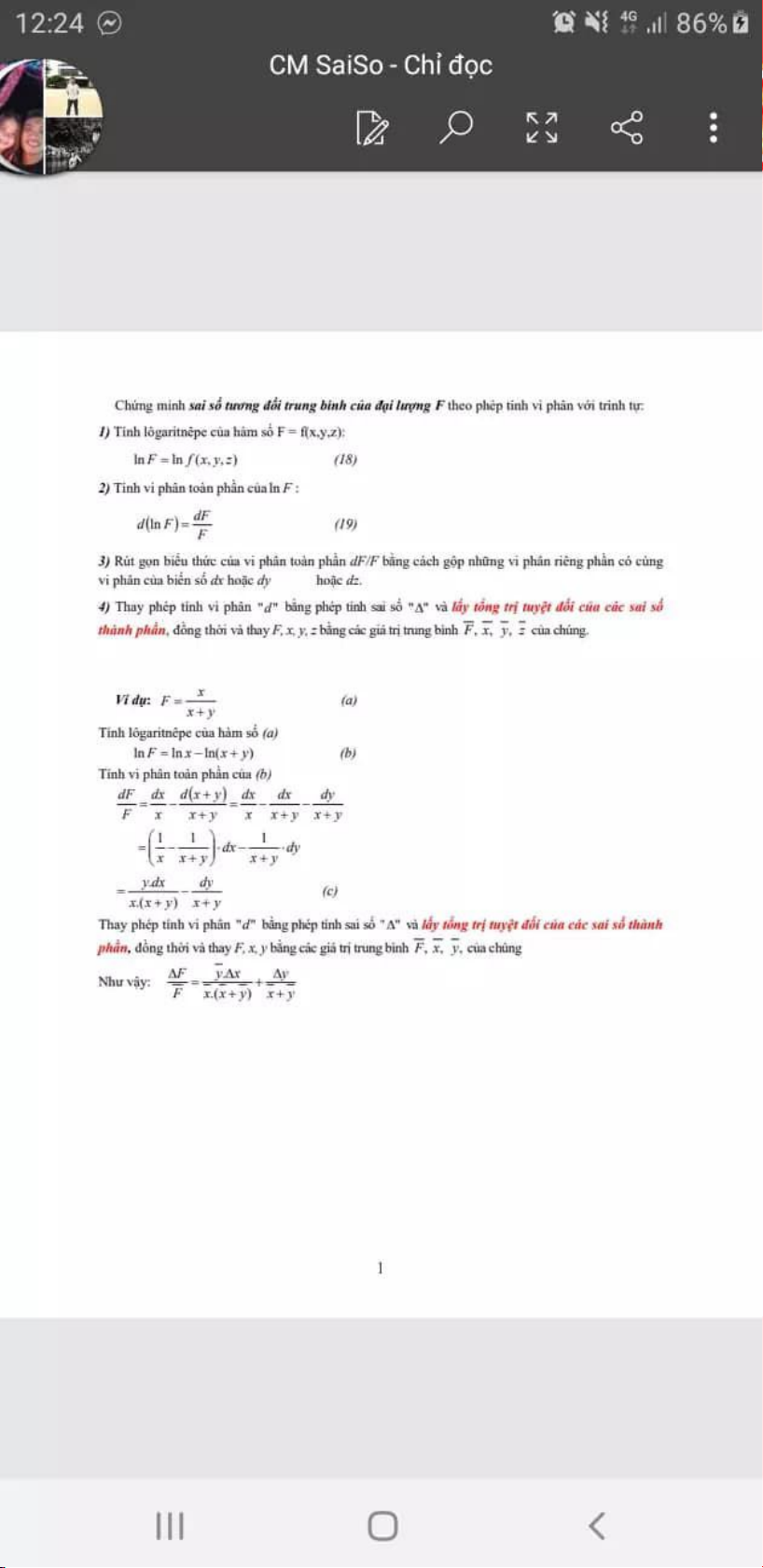
Thí nghiệm Vật Lý_Báo cáo mẫu viết tay| Môn VLĐC2| Trường Đại học Bách Khoa Hà Nội
Thí nghiệm Vật Lý_Báo cáo mẫu viết tay| Môn VLĐC2| Trường Đại học Bách Khoa Hà Nội. Tài liệu gồm 17 trang giúp bạn ôn tập và đạt kết quả cao trong kỳ thi sắp tới. Mời bạn đọc đón xem.
Trường: Đại học Bách Khoa Hà Nội 3.5 K tài liệu
Tác giả:
Tài liệu liên quan:
-
Nội dung ôn tập Triết học Mác | Đại học Sư phạm kỹ thuật - Đại học Đà Nẵng
190 95 -
Nội dung ôn tập cuối kỳ Triết học Mác Lênin | Đại học Sư phạm kỹ thuật - Đại học Đà Nẵng
124 62 -
Đề cương Triết học Mác Lênin | Đại học Sư phạm kỹ thuật - Đại học Đà Nẵng
160 80 -
Đồ Án Nền Móng Công Trình | Đại học Sư phạm kỹ thuật - Đại học Đà Nẵng
125 63 -
Nguồn gốc, Chức năng và Mối quan hệ giữa Vật chất và Ý thức | Tài liệu Triết học Mác Lênin
241 121
















