Report tài liệu
Chia sẻ tài liệu
Tiểu luận cuối kì toán cao cấp 2 | Đại học Kiến trúc Thành phố Hồ Chí Minh
Tiểu luận cuối kì toán cao cấp 2 | Đại học Kiến trúc Thành phố Hồ Chí Minh. Tài liệu được sưu tầm gồm 7 trang, giúp bạn tham khảo, ôn tập và đạt kết quả cao!
Môn: Toán cao cấp (0100070) 10 tài liệu
Trường: Đại học Kiến trúc Thành phố Hồ Chí Minh 220 tài liệu
Tác giả:







Tài liệu khác của Đại học Kiến trúc Thành phố Hồ Chí Minh
Preview text:
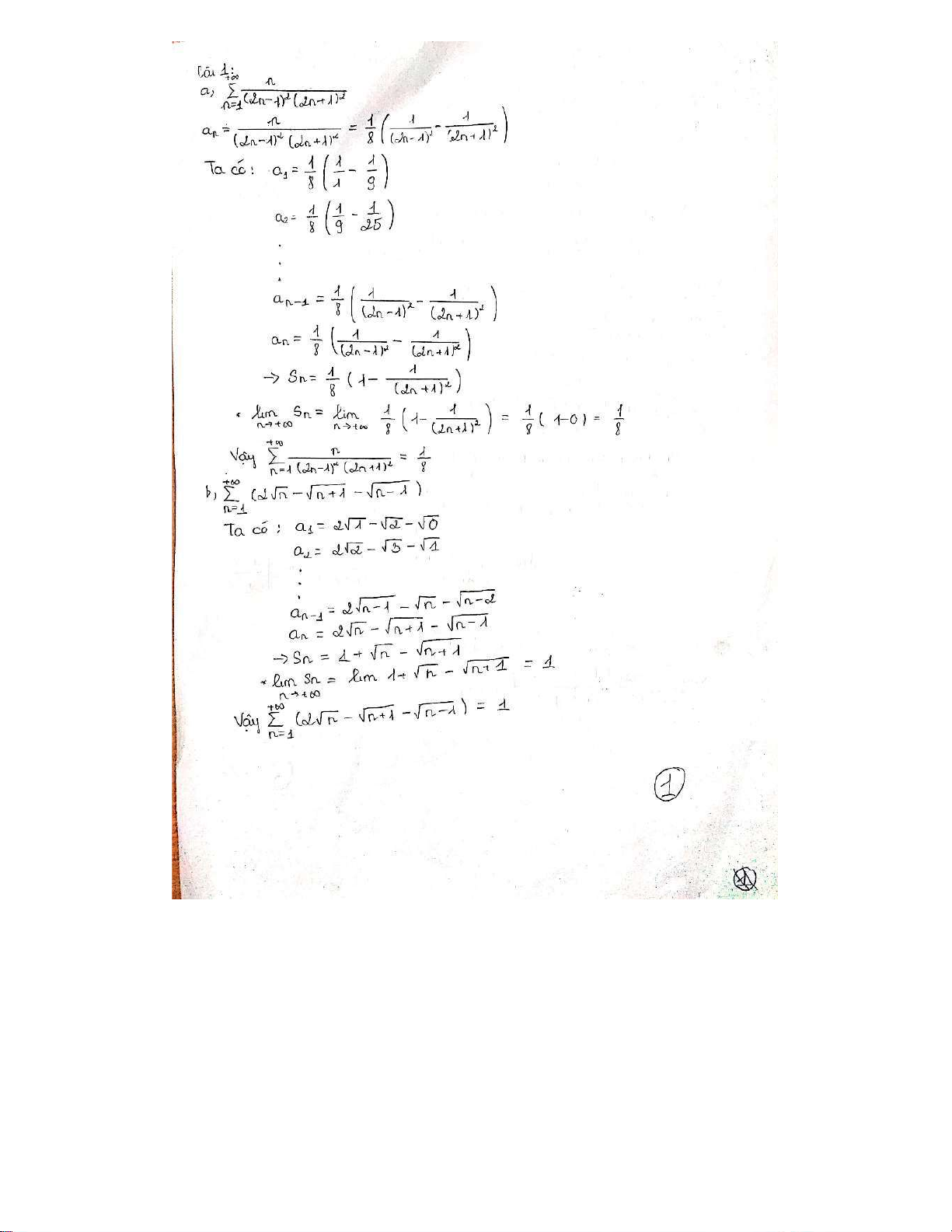
  lOMoARcP SD| 59256 994
TRƯỜNG ĐẠI HỌC KIẾN TRÚC THÀNH PHỐ HỒ  CHÍ MINH  KHOA KHOA HỌC CƠ BẢN  TIỂU LUẬN CUỐI KÌ  MÔN: TOÁN CAO CẤP 2 
Giảngviên : NguyễnAnhTriết  Sinhviênthựchiện 
Họvàtên: : BùiThịTràGiang  MSSV : 20530200124  LớpHọcphần : 010010003  Email : 20530200124 @uah.edu 
THÀNHPHỐHỒCHÍMINH,NĂM2021      lOMoARcP SD| 59256994     lOMoARcP SD| 59256994     lOMoARcP SD| 59256994     lOMoARcP SD| 59256994     lOMoARcP SD| 59256994     lOMoARcP SD| 59256994   
Tài liệu liên quan:
- 
                                                
                                                    Toán cao cấp 1: Nội dung và kiến thức cơ bản | Đại học Kiến trúc Thành phố Hồ Chí Minh17 9
- 
                                                
                                                    Bài tập đại số tuyến tính cấp cao 1 | Đại học Kiến trúc Thành phố Hồ Chí Minh16 8
- 
                                                
                                                    Bài tập toán cao cấp 1: Cực trị hai biến và đề ôn tập 2 | Đại học Kiến trúc Thành phố Hồ Chí Minh12 6
- 
                                                
                                                    Khảo sát 100 người sử dụng Facebook: Dữ liệu và Phân tích | Đại học Kiến trúc Thành phố Hồ Chí Minh15 8