Report tài liệu
Chia sẻ tài liệu
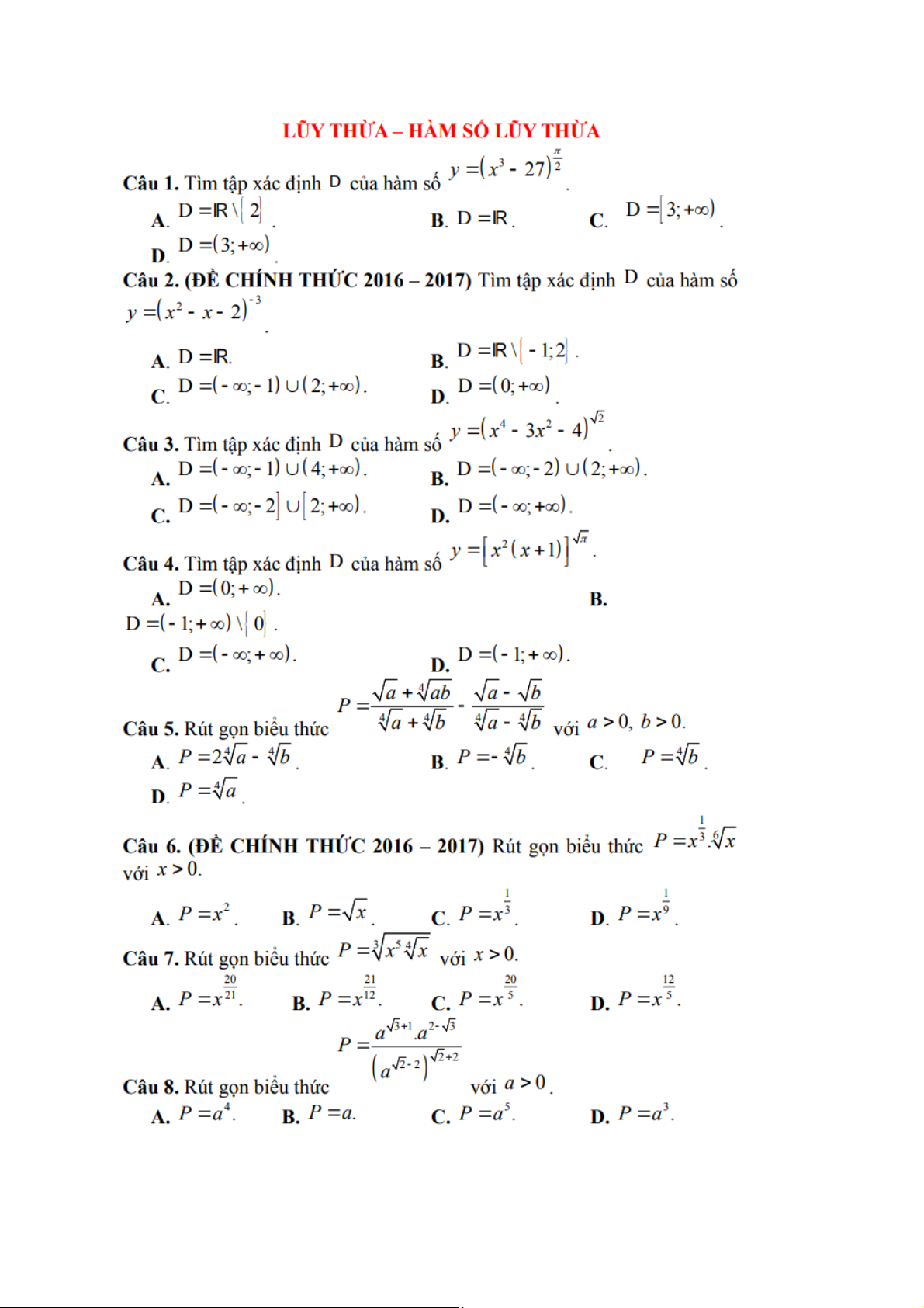
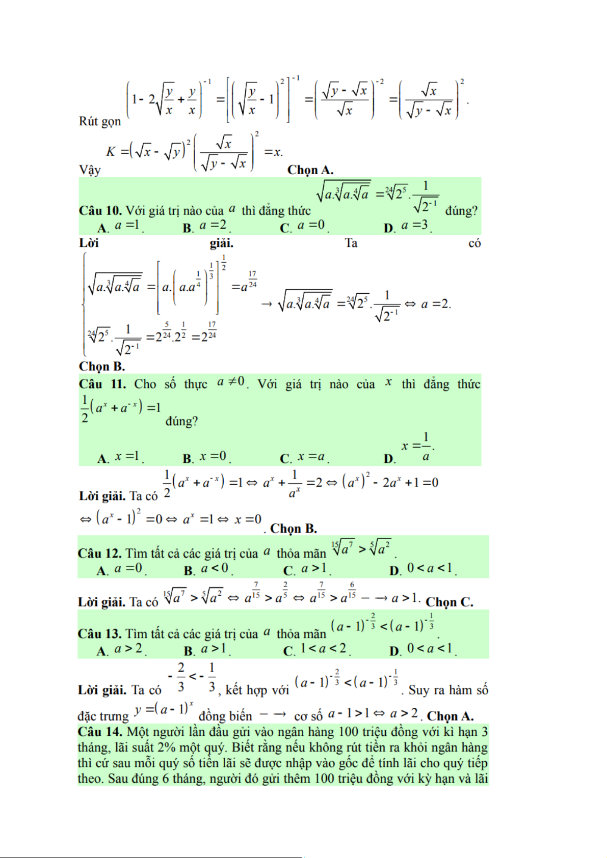
Trắc nghiệm Lũy thừa - Hàm số lũy thừa đề chính thức 2016-2017 môn Toán cao cấp | Trường Quốc tế - Đại học Quốc gia Hà Nội
Trắc nghiệm Lũy thừa - Hàm số lũy thừa đề chính thức 2016-2017 môn Toán cao cấp | Trường Quốc tế - Đại học Quốc gia Hà Nội. Tài liệu được sưu tầm gồm 6 trang, giúp các bạn ôn luyện và phục vụ cho việc học tập, đạt kết quả tốt. Mời các bạn đón xem!
Môn: Toán cao cấp (HN01) 6 tài liệu
Trường: Trường Quốc tế - Đại học Quốc gia Hà Nội 157 tài liệu
Tác giả:
Tài liệu liên quan:
-
Trắc nghiệm Véc-tơ môn Toán cao cấp | Trường Quốc tế - Đại học Quốc gia Hà Nội
57 29 -
Bài tập Đại số tuyến tính môn Toán cao cấp | Trường Quốc tế - Đại học Quốc gia Hà Nội
81 41 -
Bài tập Giải tích môn Toán cao cấp | Trường Quốc tế - Đại học Quốc gia Hà Nội
63 32 -
Nhóm vành trường - Toán cao cấp | Trường Quốc tế - Đại học Quốc gia Hà Nội
347 174





