



















Preview text:
20:25, 08/01/2026
100 Câu Trắc Nghiệm Hóa Dược - Môn 1 CÁC DẠNG CÂU HỎI - Studocu 1 CÁC ĐẠNG CÂU HỎI
Câu 1: Choose phát biểu sai:
A: Không có thuốc nào hoàn toàn an toàn
B: Thuốc khác nhau sẽ có tác dụng khác nhau
C: Một số chất nguy hiểm vẫn được dùng làm thuốc
D: Dũng cảm quyết định loại thuốc độc hay điều trị.
Câu 2: Choose phát biểu không đsử dụng dữ liệu chỉ số:
A: Ti cao thì khoảng an toàn giữa có lợi so với độc độc gần
B: Ti thấp thì khoảng an toàn giữa có lợi so với độc gây gần
C: Đo lường giữa các hoạt động có lợi ích thấp
D: Di chuyển giữa tác dụng có nguy hại cao
Câu 3: Các phương pháp phân tíchohắc:
A: Dược lý, cấu trúc hóa học, mục tiêu phân tử, hệ thống mục tiêu.
B: Hóa học, cơ chế, Dược lý, hệ thống mục tiêu
C: Dược lý, cấu trúc hóa học, cơ chế hoạt động, mục tiêu phân tử.
D: Dược lý, cấu trúc hóa học, mục đích sử dụng.
Câu 4: Palitaxel thu được bằng cách sử dụngờng nào?
A: bán tổng hợp từ 10-desacetylbaccatine
B: Tổng hợp hóa học toàn hiệu suất cao C: vỏ thủy tùng tây 0,2%
Câu 5: Chất ức chế nào có cấu trúc tương tự cơ chất bvào cùng một vị trí hoạt động:
A: Chất lượng thuận lợi
B: Chất ức chế cạnh tranh
C: Chế độ ức chế vẫn ổn định 20:25, 08/01/2026
100 Câu Trắc Nghiệm Hóa Dược - Môn 1 CÁC DẠNG CÂU HỎI - Studocu 2
D: Chất ức chế phi cạnh tranh.
Câu 6: Chọn phát biểu sai khi nói về ligand:
A: là phân tử bám vào receptor tương ứng.
B: có thể ức chế con đường sinh hóa, con đường gắn receptor.
C: không thể hoạt hóa con đường sinh hóa, con đường gắn receptor.
D: Có thể là nhiều chất khác nhau: nội sinh, ngoại sinh…
Câu 8: Tác nhân nào thường bao gồm 1 vòng thơm ngưng tụ có thể chèn vào giữa cấu trúc
thẳng của base nito làm cho ADN bị tháo xoắn => ức chế quá trình sao chép, nhân đôi cua DNA: A: Tác nhân chèn mạch B: Tác nhân cắt mạch C: Tác nhân alkyl hóa
Câu 9: Nhóm thế nào giúp tăng độ thân dầu của thuốc: A: CH3, NH3, COOH. B: CH3, OH, Cl C: OH, Cl, SO3H D: COOH, NH3, SO3H
Câu 10: Chọn nhóm thế nào cho tác dụng tốt: A: C2H5 B: OH C: NH3 D: COOH
Câu 11: Các phản ứng xảy ra tại Pha I của chuyển hóa thuốc: A: Oxh, thủy phân, khử B: Oxh, liên hợp, khử 20:25, 08/01/2026
100 Câu Trắc Nghiệm Hóa Dược - Môn 1 CÁC DẠNG CÂU HỎI - Studocu 3
C: Liên hợp, acetyl hóa, hydro hóa D: Oxh, khử, acetyl hóa.
Câu 12: Vận tốc chuyển hóa ảnh hưởng đến:
A: Thời gian, tác dụng dược lý của thuốc.
B: Thời gian thải trừ thuốc.
C: nồng độ và tác dụng dược lý của thuốc D: …
Câu 13: Các phản ứng liên hợp phổ biến ở pha II:
A: Kết hợp với GSH, thêm nhóm (CH2)n, thủy phân este, hình thành sulfat.
B: Kết hợp với GSH, thêm nhóm (CH2)n, thêm nhóm amino acid.
C: thêm nhóm amino acid, thêm nhóm glue, thủy phân este.
D: Kết hợp với GSH, hình thành sulfat, khử nhóm azo.
Câu 14: Đặc điểm nào sau đây sai khi nói về tiền thuốc ( prodrug)
A: Là thuốc giải phóng chậm trong cơ thể.
B: Không ảnh hưởng đến quá trình hấp thu thuốc của cơ thể.
C: Cải thiện đáp ứng của bệnh nhân.
D: Giúp giảm độc tính của thuốc.
Câu 15: Tiền thuốc ( prodrug) gồm những loại nào?
A: Tiền thuốc gắn chất mang, tiền thuốc lưỡng cực.
B: Tiền thuốc tương hỗ, tiền thuốc sinh học. C: Tiền thuốc lưỡng cực, tiền thuốc tương hỗ.
D: Tiền thuốc sinh học, tiền thuốc gắn chất mang. Câu 16: MBC là:
A: Nồng độ ức chế tối thiểu.
B: Nồng độ ức chế tối đa.
C: Nồng độ diệt khuẩn tối thiểu. 20:25, 08/01/2026
100 Câu Trắc Nghiệm Hóa Dược - Môn 1 CÁC DẠNG CÂU HỎI - Studocu 4
D: Nồng độ diệt khuẩn tối đa. Câu 16: MIC là:
A: Nồng độ ức chế tối thiểu.
B: Nồng độ ức chế tối đa.
C: Nồng độ diệt khuẩn tối thiểu.
D: Nồng độ diệt khuẩn tối đa.
Câu 17: Đâu là kháng sinh có tác dụng diệt khuẩn:
A: Penicillin, cephalosporin, quinolones.
B: Streptomycin, streptogramin, quinolones.
C: Monobactam, streptomycin, streptogramin.
D: Penicillin, cephalosporin, monobactam.
Câu 18: Chất nào sau đây chứa chất ức chế beta-lactamase không có chức beta-lactam: A: Avibactam B: acid clavulanic C: sulbactam D: tazobactam.
Câu 19: Chọn phát biểu không đúng:
A: Sulphonamides là kháng sinh kiềm khuẩn.
B: Aminosid là kháng sinh diệt khuẩn.
C: Sụ cạnh tranh PABA, bất hoạt một vài enzym cần thiết cho sự tăng trưởng VSV.
D: Streptomycin gây độc tính trên tai, thận yếu.
Câu 20: Có chế tác dụng của kháng sinh kháng ung thư:
A: Chèn mạch, alkyl hóa, tạo gốc tự do, làm kém bền vi ống.
B: Chèn mạch, alkyl hóa, tạo gốc tự do, phá hủy thành phần tế bào ( DNA, protein, màng) 20:25, 08/01/2026
100 Câu Trắc Nghiệm Hóa Dược - Môn 1 CÁC DẠNG CÂU HỎI - Studocu 5
C: Phá hủy thành phần tế bào ( DNA, protein, màng), ức chế enzym topoisomerase, ngăn
cản quá trình tổng hợp acid nu.
D: Phá hủy thành phần tế bào ( DNA, protein, màng), ức chế enzym topoisomerase, ức chế tổng hợp folate coenzyme.
Câu 21: Chọn phát biểu sai: cơ chế tác dụng của thuốc chống chuyển hóa:
A: Tác động chuyên biệt vào pha G2 của chu kỳ tế bào.
B: Cạnh tranh với folate trong sự hấp thu vào tế bào.
C: Ức chế tổng hợp folate coenzyme
D: Ức chế một/nhiều phản ứng có sự tham gia của folate coenzyme.
Câu 22: Chọn phát biểu sai: cơ chế tác dụng của thuốc kháng vi ống: A: Làm bền vi ống. B: Làm kém bền vi ống.
C: Thay đổi cấu trúc ống vi thể.
D: Ức chế trùng hợp tubulin.
Câu 23: Chọn phát biểu sai:
A: Chuyển hóa thuốc thuốc chủ yếu xảy ra tại thận.
B: Chuyển hóa thuốc kiểm soát lượng thuốc đến đích tác dụng.
C: Chịu trách nhiệm chuyển hóa thuốc thành các sản phẩm khác.
D: Gồm 3 pha: Pha I ,II, III
Câu 24: Hệ enzyme chịu trách nhiệm trong chuyển hóa thuốc pha I:
A: cytochrome P-450 reductase, reduced cytochrome P-450, transferase.
B: CYP-450, glutathione S-transferase, Sulfotransferase.
C: cytochrome P-450 reductase, reduced cytochrome P-450, CYP-450.
D: glutathione S-transferase, Sulphotranferase, N-acetyltransferase. 20:25, 08/01/2026
100 Câu Trắc Nghiệm Hóa Dược - Môn 1 CÁC DẠNG CÂU HỎI - Studocu 6
1. Thuốc thử Ninhydrin dùng để phát hiện nhóm chức nào trong cấu trúc aminoglycosid a. Phần đường b. Nhóm OH- c. – NH2 ( màu tím) d. Phần genin 2. Các cephalosporin là:
a. Imin của 6 aminocephalosporinic – acid –
b. Amin của 6 aminocephalosporinic – acid –
c. Admid của 7 aminocephalosporinic – acid – ( amid của 7-ACA)
d. Ester của 7 adipiccephalosporinic – acid –
3. Hoạt động kháng khuẩn của kháng sinh họ β-lactam phụ thuộc vào các yếu tố sau đây, ngoại trừ:
a. Nhóm COOH có thể ở dạng acid, muối, ester
b. Sự hiện diện của 1 nhóm chức acid trên N or C2
c. Cấu dạng của 2 or nhiều carbon bất đối.
d. Sự nguyên vẹn của vòng β-lactam.
4. Phổ kháng khuẩn độc tính các aminosid là: a. Gram +, gan
b. Gram –, thận, tiền đình ốc tai
c. Gram –, thiếu máu bất sản
d. Gram +, thận, tiền đình ốc tai
5. Phát biểu sau đây đúng về kháng sinh aminosid, ngoại trừ:
a. Có phần genin là streptamin, streptidin, 2-desoxystreptamin
b. Nhóm amino (NH2) trên phân tử đường cần thiết cho sự gắn kết ribosome
c. Độc tính trên thận, tiền đình ốc tai
d. Các aminosid thân dầu nên thường sử dụng bằng đường uống
6. Amoxicillin là KS có nguồn gốc:
a. Tổng hợp hóa học toàn phần b. Bán tổng hợp c. Xạ khuẩn d. Nấm penicillium notatum
7. Macrolid nào sau đây là bán tổng hợp từ macrolid thiên nhiên, ngoại trừ: 20:25, 08/01/2026
100 Câu Trắc Nghiệm Hóa Dược - Môn 1 CÁC DẠNG CÂU HỎI - Studocu 7 a. Erythromycin b. Roxythromycin c. Clarithromycin d. Azithromycin
8. Phát biểu nào sau đây đúng về Cephalosporin:
a. Cephalosporin gây tác dụng antabuse do sự hiện diện của methoxyimino trên Cα.
b. Cephalosporin thế hệ thứ IV trong cấu trúc đều chứ N bậc III (IV)
c. Có khung cấu trúc căn bản là Cepham, cephamycin
d. Khi thay thế H có C7 khung Cephem bằng nhóm –OCH3, thì cẫn có tác động kháng khuẩn.
9. Các chất sau đây có tác dụng ức chế enzyme βlactamase, ngoại trừ: a. Clavulanat. b. Tazobactam c. Sulbactam d. Imipenem 10.
Các aminosid sau đây có phần genin là 2-desoxystreptamin, ngoại trừ: a. Tobramycin b. Kanamycin A c. Sisomicin d. Streptomycin ( treptidin) 11.
Trong kiểm tinh khiết ampicillin & amoxicillin ngoài việc kiểm các tạp
chất thông thường người ta còn kiểm giới hạn: a. Diethylamin b. Amylin c. N,N-dimethylanilin d. Triethylamin 12.
Các phát biểu sau đây đúng về KS penicillin, ngoại trừ:
a. Được định lượng = pp visinh vật
b. Penicillin G, penicillin V là các penicillin thiên nhiên
c. Có khung cấu trúc là penam
d. Bền trong kiềm, kém bền trong acid 13.
KS macrolic nào sau đây trong cấu trúc có vòng lacton gồm 15 nguyên tử: 20:25, 08/01/2026
100 Câu Trắc Nghiệm Hóa Dược - Môn 1 CÁC DẠNG CÂU HỎI - Studocu 8 Một. Tilosin b. Spiramycin c. Erythromycin d. nấm azithromycinN 14. Penam có cấu trúc khung + →
Một. Azetidin -3-on +dihydrothiazin b. Azetidin -2-on + thiazol c. Azetidin -3-on +thiazol d. Azetidin -2-on +thiazolidin 15.
Trên phổ IR và penicillink đặc quyền (C=O) ở nhánh 6-acylamin Một. 1760-1730cm -1 b. 1500-1450cm 1760-1730 -1 c. 1600 cm -1 1700-1650 d. 1760-1600cm -1 1600 16.
Phát biểu sau đây đúng về KS macrolid,
Một. Phổ tác chủ yếu trên gram +, độc tính trên gan
b. Ức chế sinh tổng hợp protein vi khuẩn
c. Phân chia tốt cho các cơ quan, kể cả dị dịchch não khung (ko qua hàng rào não n
d. Vòng lacton có thể bao gồm 14,15,16 nguyên tử 17.
Cơ chế hoạt động của các KSnosid:
Một. Ức chế tổng hợp màng tế bào vi khuẩn
b. Gắn lên tiểu thể 50s ribosome ức chế sinh tổng hợp protein
c. ức chế tổng hợp thành tế bào vi khuẩn
d. Gắn lên tiểu thể 30s ribosome ức chế sinh tổng hợp protein 18.
Các phát biểu nào sau đây đúng về aztreonam, ngọai trừ:
Một. Được tổng hợp từ L-threoniN
b. Kem bền dưới tác dụng β-lactamase
c. Kháng sinh có cấu trúc monobacta khungm
d. Không có hoạt động trên vi khuẩn gram + ( hoạt độngtính trên gram + tương cephalosporin III) 19.
Trong môi trường Kiềm, nhóm OH tấn công vào vị trí nào trên vòng lacton macrolid: 20:25, 08/01/2026
100 Câu Trắc Nghiệm Hóa Dược - Môn 1 CÁC DẠNG CÂU HỎI - Studocu 9
Một. Nhóm CH 3 (metyl) ở C3 (glycosyl hóa C2 làm phân tử trở nên thông suốt – mất tính) b. Nhóm OH ở C7
c. Nhóm ester (-COO) trên vòng lacton.
d. Nhóm –C 2 H 5 (etyl) ở C14 20.
Macrol nhóm KS cơ chế hoạt độngnhận dạng:
Một. Gắn lên tiểu thể 50s ribosome ức chế sinh tổng hợp protein
b. ức chế tổng hợp AND vi khuẩn
c. ARN tổng hợp cơ chế vi khuẩn
d. Gắn lên tiểu thể 30s ribosome ức chế sinh tổng hợp protein 21.
Phối hợp KS nào sau đây không đúng:
Một. Sulfamid (KIỀM) + β-lactam ( DIỆT)
b. Sulfamid (KIỀM) + macrolid ( KIỀM)
c. Tetracyclin( KIỀM) + phenicol(KIỀM)
d. β-lactam (DIỆT) + aminosid (DIỆT) 22.
Các cephalosporin thế hệ th IV đều chứa trong cấu hình Một. N bậc IV b. Nhóm 7-methoxy c. Amoni IV d. Nhóm tetrazol 23.
Penam có cấu trúc khung bao gồm:
Một. Azetidin-2-on+thiazolidin b. Azetidin-3-on+thiazol c. Azetidin-2-on+thiazol
d. Azetidin-3-on+dihydrothiazin 24. Thuốc trị giun chỉ là: a. Praziquantel : (sán dãi)
b. Avermectin (& ivermectin)
c. Albendazon, mebendazol (giun tròn: tóc, móc… Liều cao: nang sán
d. Pyrantel emboat = combantrin (giun tròn: tóc, móc) 25. Các penicillin là: a. Amid của 6-APA b. Amin của 6-APA 20:25, 08/01/2026
100 Câu Trắc Nghiệm Hóa Dược - Môn 1 CÁC DẠNG CÂU HỎI - Studocu 10 c. Ester của 6-APA d. Imin của 6-APA 26.
Các phát biểu nào sau đây đúng về cephalosporin C, ngoại trừ:
a. Có chứa acid amino adipic trong cấu t rúc b. Là KS thiên nhiên
c. Là dẫn chất của 7-ACA (7-aminocephalosporinic acid)
d. Có cấu trúc khung carbacephem 27.
Trên phổ IR của penicillin, đỉnh đặc trưng của nhóm nằm ở vùng: lactam a. 1500-1450cm-1 b. 1760-1730cm -1
Vòng lactam ở giữa: 1760-1730 c. 1600cm-1
Nhóm chức amin ( ngoài vòng) 1700-1650 (N d. 1670-1600cm-1 28.
Augmentin là phối hợp của: Nhóm chức carboxyl: 1600
a. Amoxicillin + acid clavulanic b. Ampicillin + sulbactam
c. Ampicillicin + acid clavulanic d. Sulfamid + trimethoprim 29.
Khi thêm vào môi trường nuôi cấy nấm Penicillium notatum acid phenyl acetic ta được: a. Penicillin N b. Penicillin G
c. Penicillin V ( acid phenoxyacetic) d. Cephalosporin C 30.
Hoạt tính kháng khuẩn của các KS họ β-lactam phụ thuộc vào các yếu tố sau đây, ngoại trừ:
a. Sự hiện diện của 1 nhóm chức N or C2
b. Cấu dạng của 2 or nhiều carbon bất đối
c. Sự nguyên vẹn của vòng β-lactam
d. Nhóm COOH có thể ở dạng acid, muối, ester 31.
Thuốc kháng nấm nào sau đây có thể qua hàng rào máu não a. Amphotericin B
b. Intraconazol (khó qua dịch não tủy)
c. Fluconazole ( Qua dịch não tủy nồng độ 50-94% huyết tương) 20:25, 08/01/2026
100 Câu Trắc Nghiệm Hóa Dược - Môn 1 CÁC DẠNG CÂU HỎI - Studocu 11 d. Miconazol 32.
Trong kiểm tinh khiết ampicillin & amoxicillin ngoài việc kiểm các tạp
chất thông thường người ta còn tìm giới hạn: a. Triethylamin b. Diethylamin c. N,N-dimethylanilin d. Anilin 33.
Các cephalosporin có chứa nhóm tetrazol trong cấu trúc có thể gây: a. Độc tính trên thận
b. Độc tính trên thần kinh thị giác c. Độc tính trên tai
d. Dễ chảy máu ( & antabuse) 34.
Phát biểu nào sau đây đúng về aztreonam ngoại trừ:
a. Được tổng hợp từ L-threonin
b. Kháng sinh có cấu trúc khung monobactam
c. Không có hoạt tính trên VK gram + ( gram + đề kháng tự nhiên với aztreonam)
d. Kém bền dưới tác động β-lactamase ( bền, hấp thu tốt qua đường uống) 35.
Các thuốc kháng nấm nhóm conazol có thể định lượng bằng phương pháp
môi trường khan, vi sinh vật: a. Có cấu trúc polyen b. Có cấu trúc nhân thơm
c. Có cấu trúc imidazole & triazole d. Có nhóm amino tự do 36.
Cơ chế tác động của các KS họ β−¿ lactam
a. Ức chế tổng hợp thành tế bào VK
b. Ức chế enzyme AND-gyrase (transglycosylase)
c. ức chế sinh tổng hợp protein
d. ức chế tổng hợp màng tb of VK 37.
Đặc điểm nào sau đây trong cấu trúc không thuộc về các nhóm trị virus:
a. Thay đổi phần đường
b. Thường ở dạng muối or ester với acid vô cơ
c. Gắn thêm halogen trifluoromethyl 20:25, 08/01/2026
100 Câu Trắc Nghiệm Hóa Dược - Môn 1 CÁC DẠNG CÂU HỎI - Studocu 12
d. Có cấu trúc tương tự base purin, pyrimidin 38.
Aminosid có khung cấu trúc genin là streptamin: a. Spectinomycin b. Streptomycin ( streptidin) c. Amykacin (2dexosy- streptamTRONG) d. Dibekacin 39.
Aminosid có khung cấu trúc genin là: a. 2-desoxy- streptamin b. Fortamincin (fortamTRONG) c. Tobramycin d. Streptomycin (sttreptidin) e. Spectinomycin (streptamin) 40.
Bán tổng hợp aminosid ngoại trừừ: Một. Amikacin b. Dibekacin c. Neltimycin d. Gentamycin 41.
Phản ứng với thử thuốc Ninhydrin phát hinhóm chức trong aminosid Một. OH của đường b. OH phần genin c. Nhóm amino NH 2 d. OH R cetal phần đường 42.
Amikacin được bán tổng hợp từ kanamycin A bằng cách thay đổi nhóm
amin ở vị trí số 1 trên desoxy-streptamin bị acetyl hóa bTôi:
Một. Axit 2-hydroxyl- 4 aminobutyric
b. Axit 4-hydroxyl-2-aminobutyric
c. Axit 3-hydroxyl- 4 aminobutyric
d. Axit 4-amino- 2 hydroxyl butyric 43.
Arbekacin bán tổng hợp từ: Một. GentamyciN b. Tobramycin c. Sisomycin 20:25, 08/01/2026
100 Câu Trắc Nghiệm Hóa Dược - Môn 1 CÁC DẠNG CÂU HỎI - Studocu 13 d. Kanamycin B 44.
Amynosid có đồng vận hành với các KS sau, ngoại trừ: Một. Tetracyclin () b. Quinolone (diệt)
c. Betalactam (di(polypeptide, quinolone, vancomycin, fosform)ycin) d. Fosformycin ( ) 45.
Phát hiện ion sulfat trong streptomycin sulfat ta dùng thuốc thử: Một. AgNO₃ / HNO₃
b. BaCl 2 /HCl ( xuất hiện ↓ tr) c. CuSO 4 d. Natri nitrosulsiat
Ion sunfat + BaCl 2 → ↓ trắng 46. Cho X có công thức là: 3 2 1
Một. Phần genin aminosid có tên gì? 2-desoxy-streptamin
b. 2 phản ánh aminos tính toánid này:
Thử ninhydrin (màu tím)
Phản ứng của ion sunfat với BaCl 2 = ↓trắng
➢ Phản ứng với axit piric
➢ Phản ứng với dihydroxyl- 2,7-napthtalen/H 2 SO 4
c. 2 pp định lượng aminosid này: HPLC Vi sinh vật 47.
Cơ chế hoạt động của aminos nhóm KSnhận dạng 20:25, 08/01/2026
100 Câu Trắc Nghiệm Hóa Dược - Môn 1 CÁC DẠNG CÂU HỎI - Studocu 14
➡ Gắn lên 30s riboxom & ức chế sinh tổn định protein 48.
Giải thích đề sao aminosid lại khó hấp thụ qua đường uống:
Vì normal trên ami cấu hìnhnosid có nhóm thân nước 49.
Giải thích đề sao aminosid khó hấp thụ tia UV:
Chỉ có nhóm hỗ trợ màu nên khó hấp thu UV 50.
tính chất 2 của aminosnhận dạng: Tiền gia đình óc tai 51.
Tại sao người ta nói dihydro streptomycin độc tính cao hơn streptomycin Trên thính giác:
Vì nó có thể gây ra không bào trước 52.
Kể tên 3 nhóm KS đồng vận động với aminosnhận dạng: β-Lactam Aminosid Quinolone 53.
Macrolid được sử dụng trong điều trị nhiễm khuẩn: Một. Gram – b. Gram + c. Giáng nội bào d. Vi-rút 54.
Macrolid trong cấu trúc phầnis lacton 15 Atomic Một. Azithromycin b. Erythromycin (14)
c. Spiramycin, josamycin, tylosin (16) d. Clarithromycin (14) 55.
Phát biểu sai về macrolid:
Một. Trong môi trường tạo axitiacetal
b. Điểm yếu trong cấu trúc là nhóm C=O ở vị trí trí C10
c. Vòng lacton có 14,15,16 nguyên tử
d. Bền vững trong môi trường Kiềm 56.
Khi sử dụng các macrolid ý độc tính trên: Một. Hơn b. Tiền đình óc tai 20:25, 08/01/2026
100 Câu Trắc Nghiệm Hóa Dược - Môn 1 CÁC DẠNG CÂU HỎI - Studocu 15 c. Xương d. Gan 57.
Macrolid có quy định gắn kết vớiprotein cao nhất: Một. Erythromycin b. Roxythromycin c. Spyramycin d. Josamycin 58.
Các macrolid kém bền trong môi trường axit do:
Một. Tương tác % nhóm OH của đường phân tử và nhóm C=O C10
b. Tương tác % nhóm OH ( C7) & nhóm amikhông có đường
c. Tương tác % nhóm OH (C7) & nhóm C=O ( C10)
d. Tương tác % nhóm OH và amisố lượng của tử đường 59.
Phát biểu sai về đặc tính chung của mđầu xương
Một. Trong môi trường axit thuốc nhanh cmất ứng dụng
b. Thức ăn ảnh hưởng đến sự hấp thụ của thuốc
c. Nồng độ thuốc tập trung cao ở mũi & mũi nhọn
d. Thuốc phân bố rộng rãi đến các cơ quan, kể cđèn không 60.
Kháng sinh thuộc thế hệ mới macrolid main dùng H.pylori value: Một. ClarythomyciN b. Erythromycin c. SpectinomyciN d. Spyramycin 61. Kháng sinh là những chất Một. Có nguồn gốc VSV
b. Có nguồn gốc tổng hợp và bán tổng hợp
c. Không gây độc tính trầm trọngn ký chủ ở khu diệt khuẩn d. Cả 3 đều đúng 62.
Để có được điều kiện thuận lợim trùng lặp kết quả, nên phối hợp
Một. Một KS kim diệt khuẩn và một KS diệt khuẩn
b. Một KS diệt khuẩn cộng Một KS diệt khuẩn cùng cơ chế tác
c. Một KS diệt khuẩn với một KS dicơ chế hoạt động khác của môi trường d. A và B đúng 63. Cách sử dụng KS hợp lý 20:25, 08/01/2026
100 Câu Trắc Nghiệm Hóa Dược - Môn 1 CÁC DẠNG CÂU HỎI - Studocu 16
Một. Dừng KS ngay khi hết triệu chứngzin
b. Use all of liều được chỉ định ngay cả khi hết triệu chứng
c. Chỉ sử dụng KS sau khi có kết quả KS đó
d. Liều KS tăng theo thời gian 64.
Tác dụng kháng khuẩn của sulfamid mạnh khi
a. Nhóm NH2(C4) gắn với dị vòng b. Thế trên nhân
c. Nhóm NH2 phải gắn trên nhân
d. Thay thế nhân thơm bằng dị vòng 65.
Các thuốc sau đây làm giảm tác dụng của sulfamid a. Aspirin b. Thuốc an thần c. Serin d. Glycin e. INH 66. Rifapicin tác dụng
a. Ức chế tổng hợp màng VK b. Ức chế tổng hợp ARN c. Ức chế tổng hợp AND
d. Thay đổi PH môi trường 67.
Các dẫn chất DDS có tác dụng a. Mạnh hơn DDS b. Ít độc hơn
c. Tác dụng kéo dài hơn DDS d. Không tốt hơn DDS 68.
Các thuốc chống lao sau có tác dụng
a. INH có tác dụng mạnh trên BK đại thực bào
b. Streptomycin tác dụng mạnh trên BK bã đậu
c. Rifampicin chỉ tác động trên BK hang lao
d. Pirazinamid chỉ tác động trên BK đại thực 69.
Các nguyên liệu sau có thể tổng hợp INH a. Acid Nicotinic b. Acid Benzoic 20:25, 08/01/2026
100 Câu Trắc Nghiệm Hóa Dược - Môn 1 CÁC DẠNG CÂU HỎI - Studocu 17 c. Acid citric d. Anilin 70.
Các thuốc sau được định lượng bằng môi trường khan a. DDS b. Clofazimin c. INH d. Sulfanilamid 71. Ciprofloxacin làm a. Tăng chuyển hoa cafein
b. Ức chế chuyển hóa Aspirin
c. Giảm chuyển hóa Diazepam
d. Tăng chuyển hóa Theophylin 72.
Nhóm chức nào vừa tạo ra tác dụng chính và tác dụng phụ của quinolon a. C=O ở vị trí thứ 4 b. COOH vị trí 3 c. F vị trí 7 d. Câu A,B đúng 73.
Tên Quinolon dưới đây là a. Ciprofloxacin b. Pefloxacin c. Ofloxacin d. Sparfloxacin 74. Các quinolon thế hệ sau
a. Có phổ kháng khuẩn rộng hơn quinolon thế hệ đầu
b. Giảm tác dụng phụ trên da
c. Không còn tác dụng phụ trên răng và xương
d. Ít tạo chelat với Kim loại 75. Các quinolone thế hệ sau:
a. Có phố kháng khuẩn rộng hơn quinolone thế hệ đầu
b. Giảm tác dụng phụ trên da
c. Không có tác dụng phụ trên răng và xương
d. Ít tạo chelat với kim loại 76.
KS nào sau đây có tác dụng trên vách tế bào BK 20:25, 08/01/2026
100 Câu Trắc Nghiệm Hóa Dược - Môn 1 CÁC DẠNG CÂU HỎI - Studocu 18 a. Streptomycin b. Cephalexin c. Chloramphenicol d. Lincomycin e. Erythromycin 77.
Để định lượng các penicillin bằng pp hóa học có thể:
a. Định lượng môi trường khan
b. Dựa trên phản ứng thế SE trên nhân thơm
c. Dựa trên các phản ứng khử các sp phân hủy mang tính oxy hóa
d. Dựa trên các phản ứng oxy hóa các sp phân hủy mang tính khử 78. Aztreonam là KS: a. Có cấu trúc carbapenem b. Có cấu trúc monobactam
c. Kháng sinh thuộc họ β-lactamin d. Câu B & C đúng 79. Tazobactam: a. KS monobactam
b. KS có cấu trúc carbapenem
c. Hầu như không có hoạt tính KS d. KS họ β-lactamin 80.
Bactrim là phối hợp của: a. Sulfamid + trimethoprim b. Sulfamid + pyrimethamin
c. Amoxicillin + acid clavulanic d. Ampicillin + sulbactam 81.
Hoạt tính kháng khuẩn của các ks họ β -lactam phụ thuộc
a. Sự hiện diện của 1 chất có tính acid N or C2
b. Cấu dạng của 2 or nhiều C bất đối
c. Sự nguyên vẹn của vòng β-lactamin d. Cả a, b, c đúng 82.
Phản ứng chung định tính vòng là phản ứng: a. Tạo màu với acid H2SO4
b. Tạo màu với dd formadehyd 20:25, 08/01/2026
100 Câu Trắc Nghiệm Hóa Dược - Môn 1 CÁC DẠNG CÂU HỎI - Studocu 19
c. Phản ứng với thuốc thử fehlin d. Tạo phức với FeCl3 83.
So với các penicillin nhìn chung các cephalosporin:
a. Kém bền hơn trong môi trường acid
b. Bền hơn dưới tác động β-lactamase
c. Bền hơn trong môi trường acid d. B & C đúng 84.
Cephalosporin bán tổng hợp đầu tiên được đưa vào sử dụng là: a. Cephacetrin b. Cephaclor c. Cefotiam hetexil d. ceftriaxon 85.
nhóm thế R trên chất carboxamid (-CONHR) có khung phenantren làm
tăng độ tan của tetracyclin trong nước đó là nhóm a. methyl b. ethyl c. 1-pyrolidinylmethyl d. 1- pyrolidinylethyl e. 1-propyl 86.
Tính chất dược lý của tetracyclin:
a. Có tác dụng kiềm khuẩn ngoại trừ minoxiclin diệt khuẩn
b. Kết dính với tiểu thể 30s của ribosom gây ức chế sinh tổng hợp protein
c. Phổ kháng khuẩn hẹp chủ yếu trên gram dương và mầm nội bào d. A & B đúng e. B & C đúng 87.
Kháng sinh thuộc họ tetracyclin có thể dùng uống trong bữa ăn & trong
công thức có nhiều hơn 1 nhóm thế N-N- dimethylamin so với các tetracyclin khác đó là: a. Minocyclin b. Doxycyclin c. Demecyclin d. Clotetracyclin e. Metacyclin 20:25, 08/01/2026
100 Câu Trắc Nghiệm Hóa Dược - Môn 1 CÁC DẠNG CÂU HỎI - Studocu 20 88.
Nhóm chức có cấu dạng có ảnh hưởng tác dụng gia tăng của cyclin:
a. Vòng A/B cis, C12a mang nhóm OH hướng α
b. Nhóm N (CH3)2 ở vị trí C4 hướng trục.
c. Nhóm CH3(α ) và OH (β) ở vị trí C6 d. A& B đúng e. A, B& C đúng 89.
Chỉ định đặc biệt của doxycycline
a. Loét dd do nhiễm H.Pilori
b. Viêm ruột kết màng giả do nhiểm clostridium difficile
c. Hội chứng tả do nhiễm tụ cầu staphylococcus aureus
d. Viêm màng bồ đào mắt do nhiễm P.aegurinosa e. Tiêu chảy do du lịch 90.
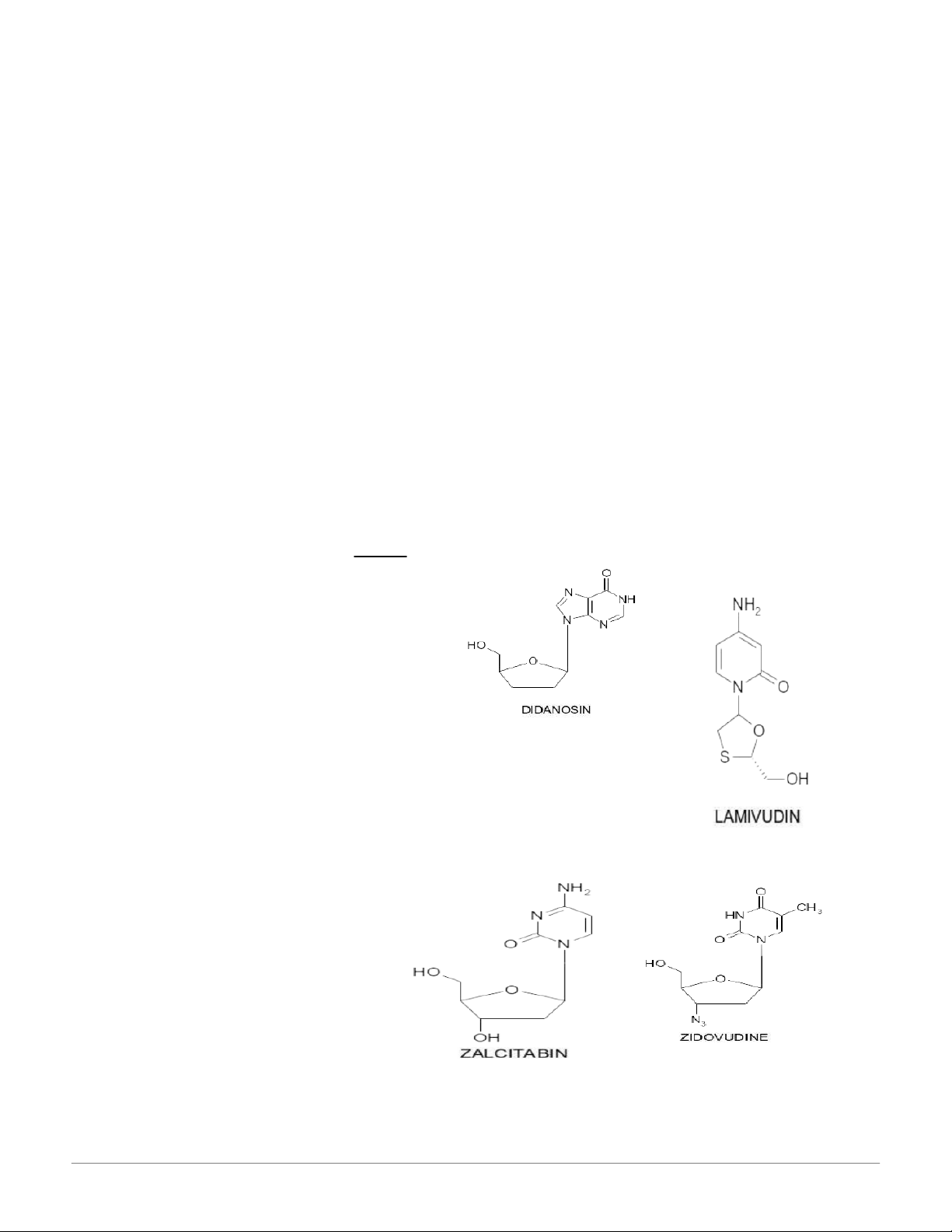
Chất nào sau đây không có cấu trúc tương tự nucloeosid kiểu purin:
a. Didanosin ( trị HIV) (PURIN) 1 1 b. Lamivudin (PURIN) c. Zalcitabin d. Zidovudin (PURIN)