





Preview text:
CLB TOÁN THẦY DANH VỌNG LH: 0944.357.988
PHÒNG GIÁO DỤC VÀ ĐÀO TẠO
ĐỀ KHẢO SÁT CHẤT LƯỢNG THCS GIẢNG VÕ Năm học 2022-2023 Đề 1 MÔN: Toán 9
Thời gian làm bài: 90 phút 5( x 3) 3 x 5 2 x 1
Bài 1. (2 điểm) Cho hai biểu thức A và B : với x 2 x 9 x 3 x 3
x 0; x 9 .
a) Tính giá trị của biểu thức A khi x 4 .
b) Rút gọn biểu thức B .
c) Tìm tất cả các giá trị của x để biểu thức P A. B nhận giá trị là số nguyên.
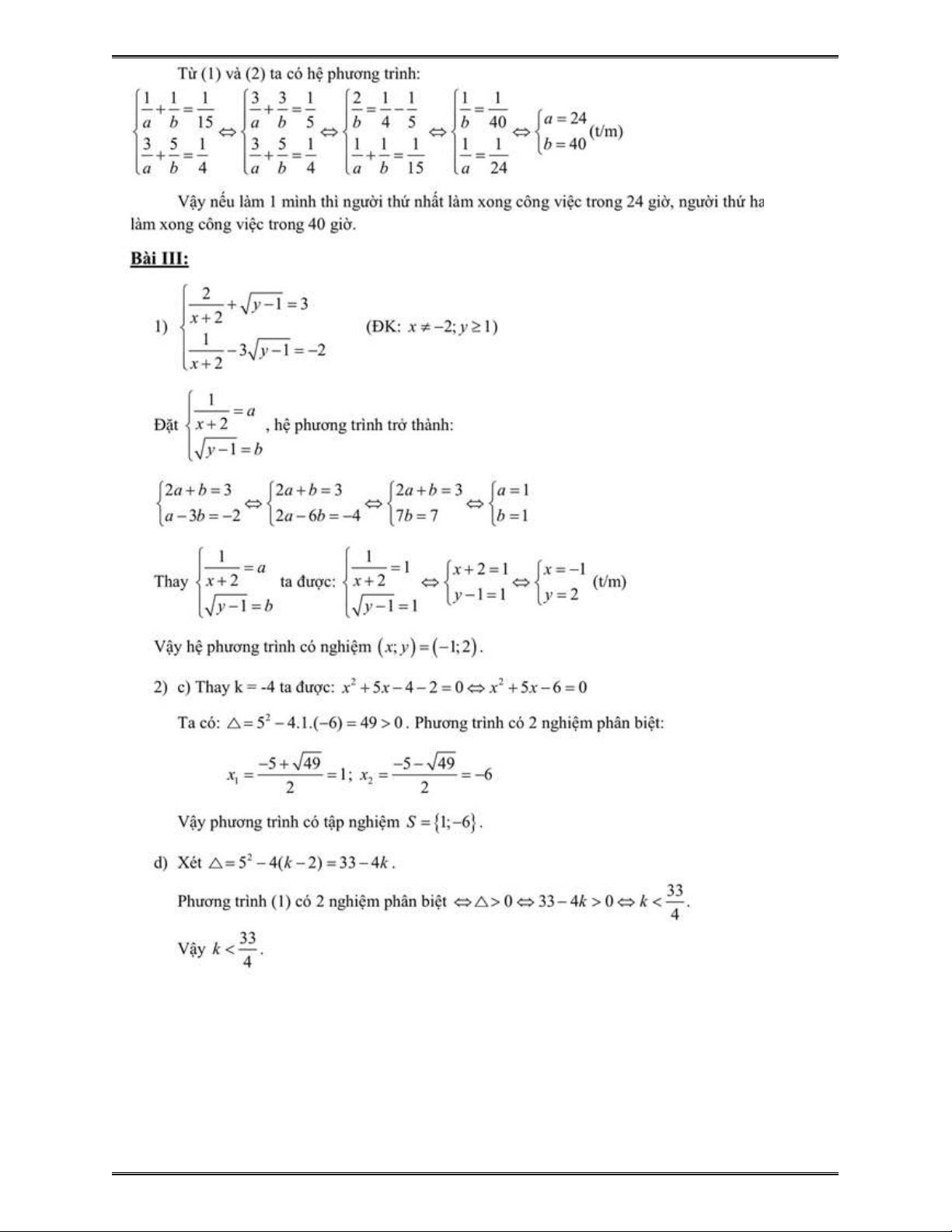
Bài 2. (2,0 điểm) Giải bài toán sau bằng cách lập hệ phương trình:
Hai đội sản xuất, nếu cùng làm chung một công việc thì sau 16 ngày sẽ xong. Nếu
đội I làm trong 4 ngày, sau đỏ nghỉ để đội II làm tiếp trong 2 ngày thì cả hai đội làm m. 1
được công việc. Hỏi nếu làm một mình thì mỗi đội cần bao lâu sẽ xong công việc ki 6 đó? ên n Bài 3. (2,5 điểm) 2 y 2 4 ngày x 1
1) Giải hệ phưong trình: ó 1 3 y 2 5 t c x 1 sắ 2) Cho phương trình: 2
x 3x m 3 0 (m là tham số) (1) ài
a) Giải phương trình (1) khi m 1 .
b) Tìm điều kiện của tham số m để phương trình (1) có hai nghiệm phân biệt. g m n
Bài 4. (3,0 điểm) Cho đường tròn (O) có dây AB không đi qua tâm, gọi C là điểm ô
thuộc tia đối của tia BA . Kẻ đường kính PQ của đường tròn (O) vuông góc với dây Có c
AB tại D(P thuộc cung lớn AB) . Tia CP cắt đường tròn (O) tại điểm I (I khác P) ,
các đường thẳng AB và QI cắt nhau tại K .
a) Chứng minh 4 điểm P, D, K, I cùng thuộc một đường tròn.
b) Kẻ tiếp tuyến CE của đường tròn O ( E là tiếp điểm và thuộc nửa mặt phẳng
bờ AB chứa điểm P ). Chứng minh 2
CI.CP CE . c) Cho 3 điểm ,
A B, C cố định, gọi F là giao điểm của PK và QC . Chứng minh khi
đường tròn O thay đổi nhưng vẫn đi qua 2 điểm , A B thì 2
CK.CD CE và . KP KF không đổi. 2
Bài 5. (0,5 điểm) Với các số thực dương a,b thỏa mãn: a 2 . b 2ab
Tìm giá trị lớn nhất của biểu thức: Q . 2 2 a 4b
P828-HH4C-Linh Đàm 1 https://tamtaiduc.vn
CLB TOÁN THẦY DANH VỌNG LH: 0944.357.988 m. ki ên n ngày ó t c sắ ài g m nô Có c
P828-HH4C-Linh Đàm 2 https://tamtaiduc.vn
CLB TOÁN THẦY DANH VỌNG LH: 0944.357.988 m. ki ên n ngày ó t c sắ ài g m nô Có c
P828-HH4C-Linh Đàm 3 https://tamtaiduc.vn
CLB TOÁN THẦY DANH VỌNG LH: 0944.357.988 m. ki ên n ngày ó t c sắ ài g m nô Có c
P828-HH4C-Linh Đàm 4 https://tamtaiduc.vn
CLB TOÁN THẦY DANH VỌNG LH: 0944.357.988 m. ki ên n ngày ó t c sắ ài g m nô Có c
P828-HH4C-Linh Đàm 5 https://tamtaiduc.vn
CLB TOÁN THẦY DANH VỌNG LH: 0944.357.988 m. ki ên n ngày ó t c sắ ài g m nô Có c
P828-HH4C-Linh Đàm 6 https://tamtaiduc.vn