





Preview text:
MÔN KINH TẾ HỌC
Học viên: Đặng Sơn Tùng MSHV: 246201986 Lớp: 242MBA16 PHẦN LÝ THUYẾT
Câu 1: Sử dụng lý thuyết cung - cầu hãy bình luận nhận định sau về thực trạng nông nghiệp
Việt Nam “Được mùa rớt giá, được giá mất mùa”. Anh, chị hãy đề xuất giải pháp khắc phục tình trạng trên. Trả lời:
Cung và Cầu chính là hai yếu tố quan trọng nhất trong kinh doanh, là nhân tố quyết định
sự phát triển, mở rộng nền kinh tế và đây cũng giống như hai đầu của cân bằng trong thương
nghiệp và doanh nghiệp. Đối mặt với sự phát triển của các nước trên thế giới, xã hội Việt Nam
ngày nay hầu hết đều bắt nhịp định hướng nền kinh tế trên thị trường.
Nông nghiệp giữ vai trò quan trọng trong nền kinh tế Việt Nam, không chỉ đảm bảo an ninh
lương thực mà còn là nguồn sinh kế chính cho phần lớn dân cư nông thôn. Tuy nhiên, nền nông
nghiệp nước ta từ lâu đã phải đối mặt với một thực trạng đáng lo ngại, được phản ánh qua câu nói:
"Được mùa rớt giá, được giá mất mùa." Dưới góc nhìn kinh tế học, đặc biệt qua lý thuyết cung -
cầu, nhận định này cho thấy rõ những bất cập trong sản xuất và tiêu thụ nông sản hiện nay. Về lý thuyết:
+ Cầu của một hàng hóa, dịch vụ là số lượng của hàng hóa, dịch vụ đó mà những người tiêu dùng
sẵn sàng và có khả năng mua tương ứng với các mức giá khác nhau trong một khoảng thời gian xác định.
+ Cung: Cung của một hàng hóa, dịch vụ là số lượng của hàng hóa, dịch vụ đó mà những người
bán sẵn lòng bán tương ứng với các mức giá khác nhau trong một khoảng thời gian xác định.
Lý thuyết cung - cầu cho rằng giá cả hàng hóa trên thị trường được xác định bởi mối quan hệ giữa
lượng cung và lượng cầu. Khi cung tăng mà cầu không thay đổi, giá hàng hóa sẽ giảm. Ngược lại,
khi cung giảm mà cầu ổn định hoặc tăng, giá hàng hóa sẽ tăng.
- Được mùa rớt giá: Khi sản lượng nông sản tăng mạnh (cung tăng) nhưng nhu cầu tiêu thụ
(cầu) không tăng tương ứng hoặc không kịp thời tiêu thụ hết → giá giảm theo quy luật cung – cầu.
- Được giá mất mùa: Khi sản lượng thấp (cung giảm) nhưng cầu vẫn giữ nguyên hoặc tăng →
giá tăng, nhưng người nông dân lại không có đủ sản lượng để bán, không tận dụng được giá cao.
Như vậy, nhận định này là biểu hiện rõ nét của thị trường thiếu ổn định, thiếu tính dự báo
và điều tiết cung – cầu hợp lý.
Áp dụng lý thuyết này vào nông nghiệp Việt Nam, ta thấy:
• "Được mùa rớt giá": Khi điều kiện thời tiết thuận lợi, kỹ thuật canh tác cải thiện, nông dân
thu hoạch sản lượng lớn. Lượng cung nông sản tăng mạnh trong khi nhu cầu tiêu thụ nội địa
không tăng tương ứng, dẫn đến dư thừa. Theo quy luật cung - cầu, giá cả sẽ sụt giảm. Người
nông dân dù thu hoạch nhiều nhưng bán với giá thấp, thu nhập giảm sút, thậm chí không đủ bù chi phí sản xuất.
• "Được giá mất mùa": Trong những năm thiên tai, dịch bệnh xảy ra, sản lượng nông sản giảm
mạnh. Cung giảm trong khi cầu tiêu thụ vẫn ổn định, khiến giá nông sản tăng cao. Tuy nhiên, vì
sản lượng thấp, tổng thu nhập của người nông dân không tăng đáng kể, nhiều hộ thậm chí còn
thua lỗ do chi phí sản xuất cao hơn doanh thu
Thực trạng Nông nghiệp Việt Nam: o
Phụ thuộc vào xuất khẩu, đặc biệt là tiểu ngạch: Nhiều mặt hàng như thanh long, dưa hấu,
sầu riêng, vải thiều... phụ thuộc lớn vào thị trường Trung Quốc, Campuchia, Thái Lan. Nếu thị
trường này đóng biên hoặc thay đổi chính sách → cầu sụt giảm nhanh. o
Thị hiếu và tiêu chuẩn thị trường khác nhau: Nhiều sản phẩm không đạt chuẩn xuất khẩu
nên khó mở rộng thị trường mới. o
Thiếu hệ thống phân phối hiện đại: Cầu bị “nghẽn” do khâu trung gian yếu, khiến sản phẩm
không tiếp cận được người tiêu dùng hiệu quả. Liên kết giữa sản xuất và tiêu thụ hóa hóa theo
chuỗi giá trị sản phẩm còn hạn chế, giá cả bấp bênh, phụ thuộc nhiều vào thị trường tự làm, tiềm ẩn yếu tố bất ổn.
Giải pháp khắc phục tình trạng trên.
Cho đến nay, giải pháp cho tình trạng này vẫn đang là một vấn đề nan giải và khó để giải quyết
một cách tốt nhất. Để giải quyết vấn đề này, chúng ta cần có cái nhìn rộng hơn, dài hơn nữa. Vì
vậy nông dân cần nhà nước có một giải pháp định hướng cho nông sản một cách cụ thể tại thời điểm hiện tại:
Phát triển liên kết chuỗi giá trị -
Thúc đẩy mô hình "liên kết 4 nhà": Nhà nước - nhà nông - nhà doanh nghiệp - nhà khoa học. -
Các doanh nghiệp bao tiêu sản phẩm cho nông dân, đảm bảo đầu ra ổn định, giảm phụ thuộc thương lái.
Mở rộng và đa dạng hóa thị trường tiêu thụ -
Không chỉ tập trung thị trường nội địa mà còn đẩy mạnh xuất khẩu, tìm thêm thị trường
mới ngoài Trung Quốc thị trường chính hiện nay (ví dụ: Nhật Bản, Hàn Quốc, châu Âu...). -
Chủ động xây dựng thương hiệu nông sản Việt Nam để tăng sức cạnh tranh.
Ứng dụng công nghệ số vào nông nghiệp -
Sử dụng thương mại điện tử (sàn nông sản online) để bán hàng trực tiếp, giảm khâu trung gian
Quy hoạch sản xuất theo tín hiệu thị trường -
Nông dân không nên sản xuất tự phát mà cần dựa vào nhu cầu thị trường (trong nước và xuất khẩu). -
Nhà nước cần xây dựng hệ thống dự báo cung - cầu, cảnh báo sớm vùng nào nên trồng cây
gì, nuôi con gì để tránh dư thừa cục bộ.
Câu 2: Cho biết câu sau đây đúng hay sai, giải thích:
1. Kinh tế học bàn về hành vi của con người, do vậy nó không thể là một khoa học
2. Nhập khẩu không được tính trong GDP
3. GDP tăng khi lãi suất giảm.
4. Khi thu nhập tăng lên cầu đối với tất cả các hàng hóa tăng lên và được biểu thị bằng sự
dịch chuyển sang bên phải của đường cầu. Trả lời :
1. "Kinh tế học bàn về hành vi của con người, do vậy nó không thể là một khoa học." là Sai Giải thích:
Kinh tế học đúng là nghiên cứu hành vi con người (ví dụ: tiêu dùng, sản xuất, đầu tư...),
nhưng nó vẫn là một môn khoa học. Vì kinh tế học sử dụng phương pháp khoa học như:
giả thuyết, phân tích dữ liệu, mô hình hóa và kiểm nghiệm thực tế để giải thích và dự đoán
các hiện tượng kinh tế.
2. "Nhập khẩu không được tính trong GDP." là Đúng Giải thích:
Theo em là nhận định đúng. Lý do cụ thể như sau:
- GDP là chỉ số đo lường tổng giá trị của tất cả các hàng hóa và dịch vụ cuối cùng được
sản xuất trong một quốc gia trong một khoảng thời gian cụ thể, thường là một năm. Giá trị
có thể được tạo ra bởi doanh nghiệp trong và ngoài nước, miễn là sản xuất trên phạm vi quốc gia đó.
- Có 3 phương pháp tính GDP (phương pháp chi tiêu, phương pháp sản xuất và phương
pháp thu nhập) nhưng cả 3 đều cho kết quả như nhau.
Trong đó phương pháp chi tiêu: GDP = C + I + G + X - IM
Trong đó với X = Xuất khẩu và IM= Nhập khẩu.
Trong phương pháp này, nhập khẩu được trừ ra khỏi tổng số vì GDP chỉ tính giá trị các
hàng hóa và dịch vụ sản xuất trong nước. Nhập khẩu không phải là sản phẩm của quốc gia
đó, vì vậy không được tính vào GDP.
3. "GDP tăng khi lãi suất giảm." nhận định là đúng Giải thích:
Khi lãi suất giảm ➔ vay tiền rẻ hơn ➔ tiêu dùng và đầu tư tăng ➔ tổng cầu tăng.
Khi tổng cầu tăng ➔ sản xuất, việc làm, thu nhập tăng ➔ GDP tăng.
Đây là mối quan hệ thông thường trong kinh tế học vĩ mô.
Nhưng nếu các yếu tố khác (như niềm tin tiêu dùng thấp, khủng hoảng tài chính...) kèm
theo thì giảm lãi suất có thể không đủ để kéo GDP tăng.
4. "Khi thu nhập tăng lên, cầu đối với tất cả các hàng hóa tăng lên và được biểu thị bằng
sự dịch chuyển sang bên phải của đường cầu." là không hoàn toàn đúng Giải thích: -
Khi thu nhập tăng, cầu đối với hàng hóa thông thường tăng ➔ đường cầu dịch chuyển sang phải. -
Tuy nhiên, hàng hóa cấp thấp hơn như ngô, sắn, mì tôm, xe buýt... có thể giảm cầu
khi thu nhập tăng vì người tiêu dùng chuyển sang mua hàng hóa chất lượng cao hơn,
thương hiệu rõ uy tín hơn.
Vì vậy, không phải "tất cả các hàng hóa" đều tăng cầu khi thu nhập tăng. PHẦN 2: BÀI TẬP
Cho lượng cầu và lượng cung của hàng hóa X ở các mức giá khác nhau như sau: Yêu cầu:
1. Viết phương trình hàm cung, hàm cầu.
2. Tính giá và lượng cân bằng trên thị trường
3. Nếu nhà nước quy định mức giá trần là Pc = 14 ngàn đồng thì điều gì sẽ xảy ra trên thị trường?
4. Vẽ đô thị minh họa các kết quả trên. Trả lời: 1.
Viết phương trình hàm cầu, hàm cung
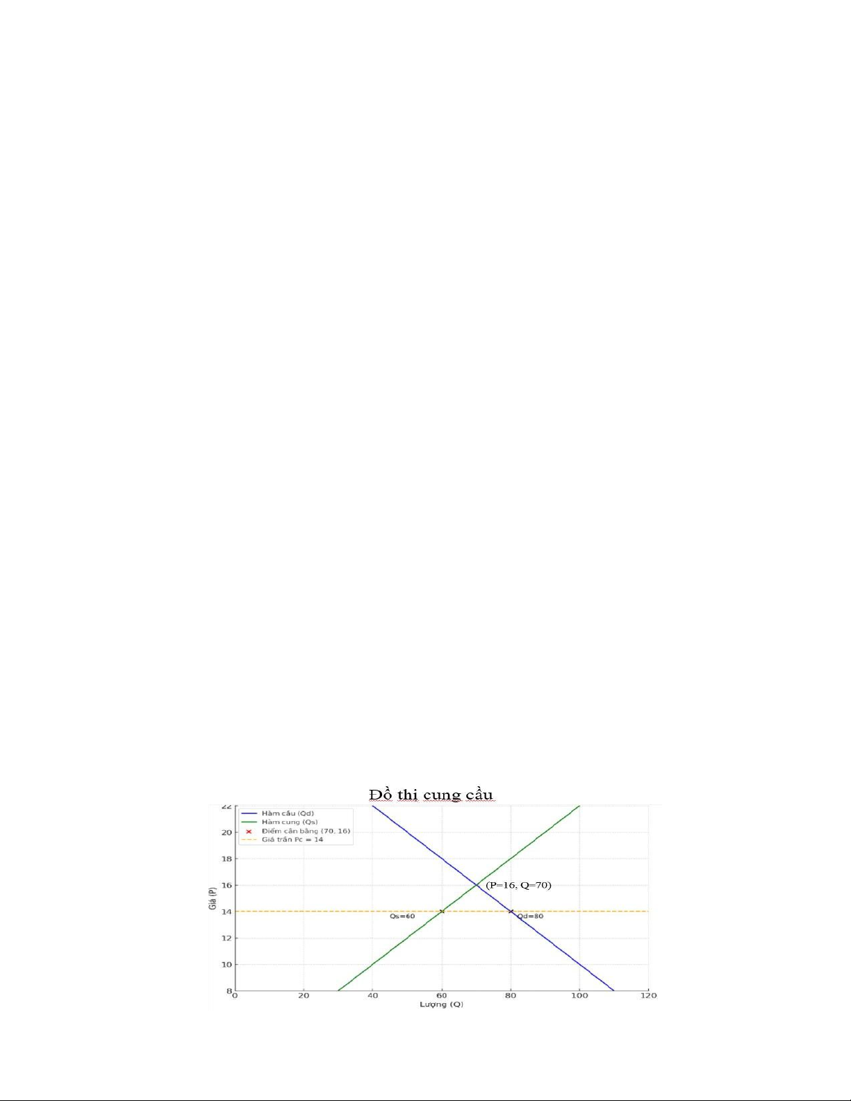
Ta thấy lượng cầu và lượng cung biến thiên tuyến tính theo giá P, nên ta giả sử hàm cầu và cung có dạng: • Hàm cầu: Qd=a−bP • Hàm cung: Qs=c+dP
Dựa vào bảng số liệu ta làm như sau: a/ Tính hàm cầu:
- Chọn 2 điểm cho hàm cầu: • Khi P=10 thì Qd=100 • Khi P=20 thì Qd=50
Giải hệ phương trình hàm cầu trên bằng cách thay P và Qd vào thì kết quả là: 100=a−10b (1) 50=a−20b (2)
Lấy phương trình (1) - (2): (100−50)=(a−10b)−(a−20b) 50=10b ⇒b=5
Thay b=5 vào phương trình (1) 100=a−10b, ta có: 100=a−50⇒a=150
Vậy Hàm cầu: Qd=150−5P b/ Tính hàm cung:
Chọn 2 điểm cho hàm cung: • Khi P=10 thì Qs=40 • Khi P=20 thì Qs=90
Giải hệ Giải hệ phương trình hàm cung trên bằng cách thay P và Qs vào thì kết quả là: 40=c+10d (1) 90=c+20d (2)
Lấy phương trình (1) - (2): (90−40)=(c+20d)−(c+10d) 50=10d⇒d=5
Thay d=5 vào phương trình (1) 40=c+10d, ta có: 40=c+50⇒c=−10
Vậy Hàm cung: Qs=−10+5P 2.
Tính giá và lượng cân bằng trên thị trường
Ở trạng thái cân bằng: Qd=Qs
Thế vào hàm cung cầu, ta có: 150−5P=−10+5P
150+10=10P => 160=10P => P=16
Thay P=16 vào một trong hai hàm:
• Hàm cầu: Qd=150−5×16=70
• Hàm cung: Qs=−10+5×16=70
Vậy tại sản lượng Qd=Qs=70 thì mức giá cân bằng là:
Giá cân bằng: 16 nghìn đồng, Lượng cân bằng: 70 đơn vị 3.
Nếu nhà nước quy định mức giá trần Pc = 14 nghìn đồng thì điều gì xảy ra? Tại P=14: • Qd=150−5×14=80 • Qs=−10+5×14=60
Lượng cầu > Lượng cung
Cụ thể: thiếu hụt hàng hóa
• Mức thiếu hụt = Qd−Qs=80−60=20 đơn vị.
=> Kết luận: Thị trường thiếu hụt 20 đơn vị hàng hóa khi áp giá trần Pc=14 nghìn đồng. 4. Vẽ đồ thị minh họa
• Trục hoành (OX): lượng (Q)
• Trục tung (OY): giá (P) • Vẽ 2 đường thẳng:
o Hàm cầu: đi qua (Q = 100, P = 10) và (Q = 50, P = 20) o
Hàm cung: đi qua (Q = 40, P = 10) và (Q = 90, P = 20)
• Điểm giao nhau ở (Q = 70, P = 16): điểm cân bằng.
• Kẻ thêm đường ngang tại Pc=14, ta thấy Qd=80 và Qs=60 → thiếu hụt.