






Preview text:
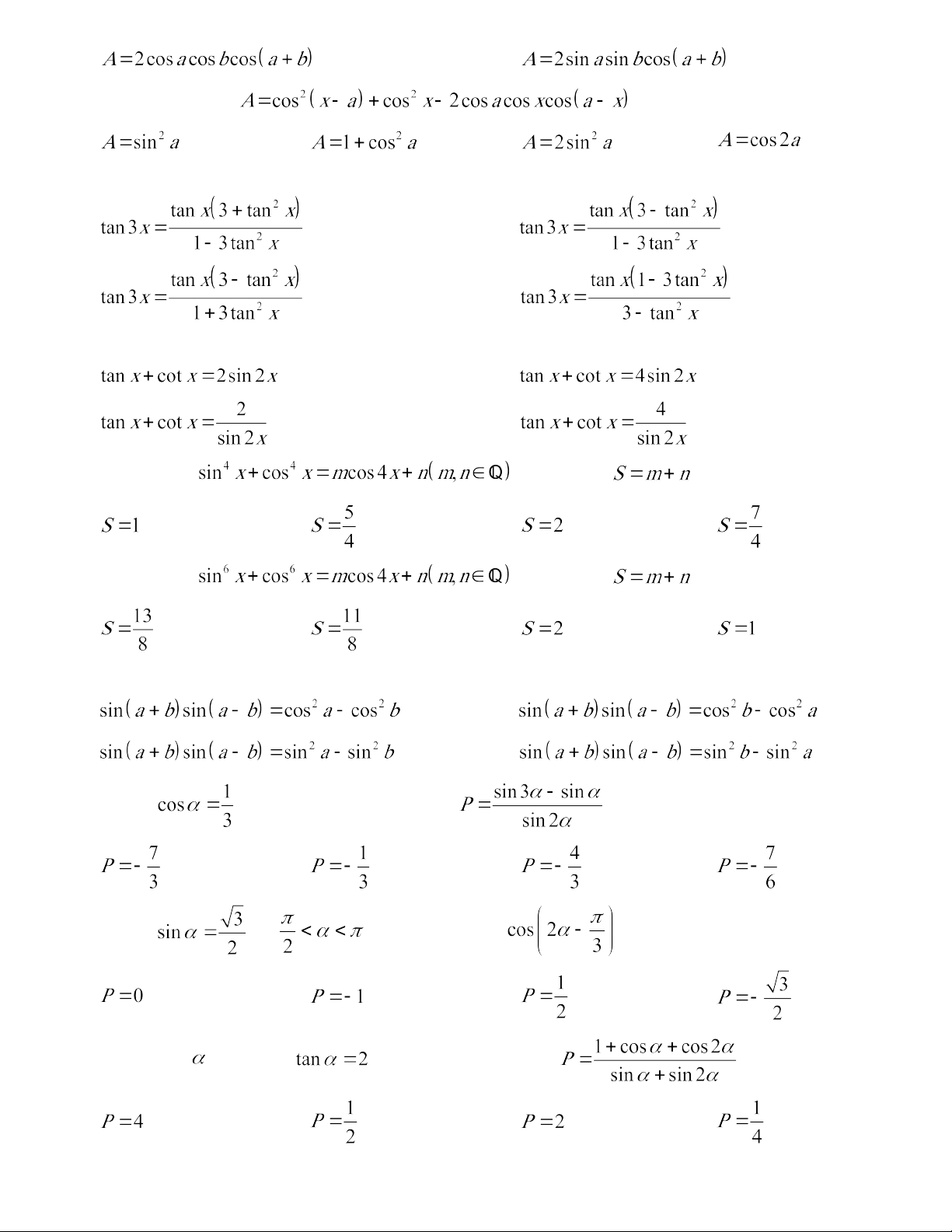
28 bài tập - Trắc nghiệm Công thức Lượng giác - File word có lời giải chi tiết Câu 1. Cho . Khi đó có giá trị bằng A. 1 B. C. D. Câu 2. Cho . Khi đó có giá trị bằng A. B. C. D. Câu 3. Cho . Khi đó có giá trị bằng A. B. C. D. Câu 4. Biểu thức
không phụ thuộc vào a và có giá trị bằng A. 6 B. 5 C. 3 D. 4
Câu 5. Kết quả rút gọn của biểu thức bằng A. 2 B. C. D.
Câu 6. Đẳng thức nào trong các đẳng thức sau là sai. A. B. C. D.
Câu 7. Rút gọn biểu thức ta được A. B. C. D.
Câu 8. Rút gọn biểu thức ta được. A. B. C. D.
Câu 9. Cho biểu thức:
. Rút gọn biểu thức trên ta được A. B. C. D.
Câu 10. Cho biểu thức
. Rút gọn biểu thức A ta được A. B. C. D.
Câu 11. Mệnh đề nào dưới đây là đúng? A. B. C. D.
Câu 12. Mệnh đề nào dưới đây là đúng? A. B. C. D. Câu 13. Biết rằng . Tính tổng . A. B. C. D. Câu 14. Biết rằng . Tính tổng . A. B. C. D.
Câu 15. Mệnh đề nào dưới đây là đúng? A. B. C. D. Câu 16. Cho
. Tính giá trị của biểu thức . A. B. C. D. Câu 17. Biết và . Tính giá trị của . A. B. C. D.
Câu 18. Cho góc thỏa mãn
. Tính giá trị biểu thức . A. B. C. D.
Câu 19. Tính giá trị biểu thức biết . A. B. C. D.
Câu 20. Tính giá trị của biểu thức biết . A. B. C. D.
Câu 21. Cho góc lượng giác a thỏa mãn
. Tính giá trị biểu thức . A. 1 B. 2 C. 3 D. 4
Câu 22. Khẳng định nào sau đây là đúng? A. B. C. D.
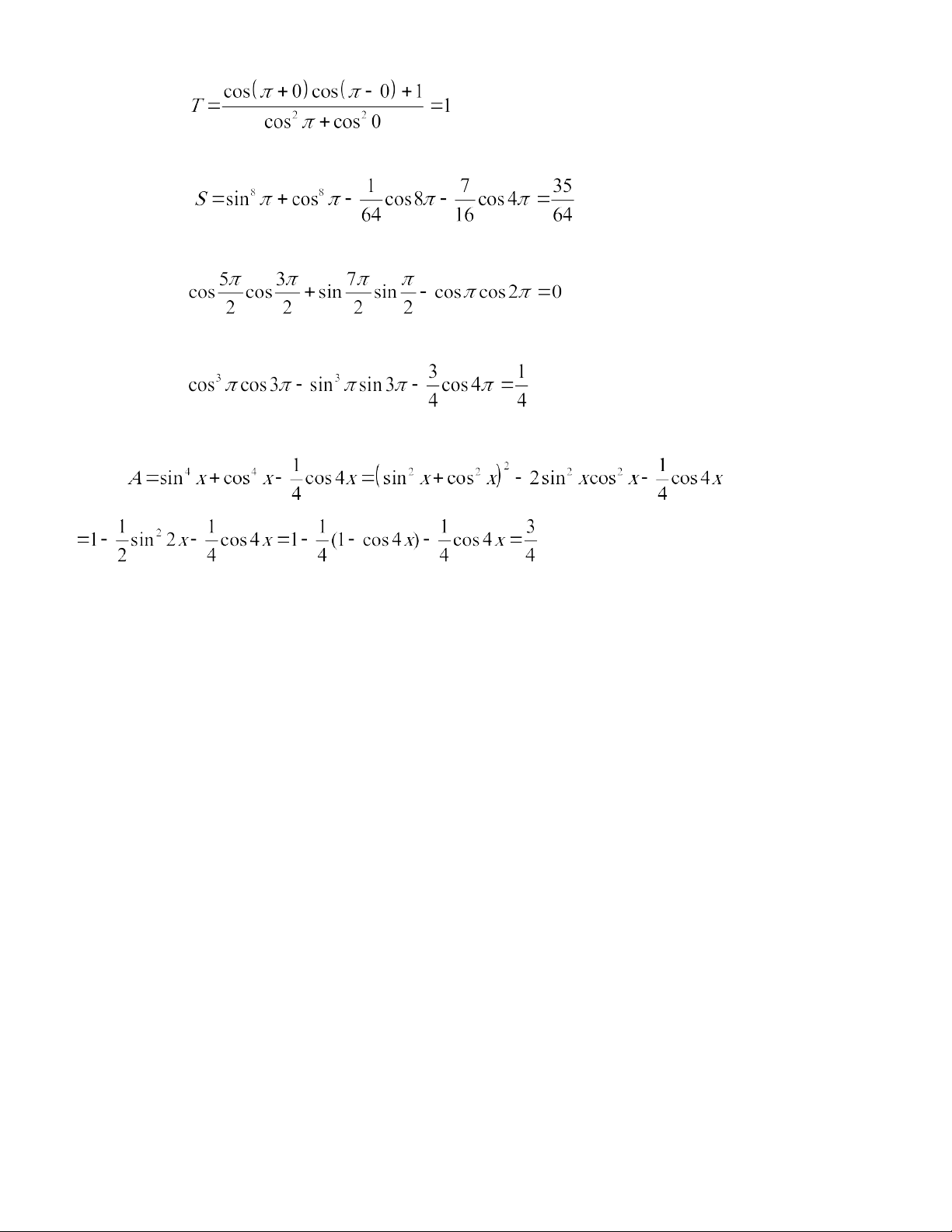
Câu 23. Giá trị của biểu thức là A. 1 B. 2 C. 0 D. 3
Câu 24. Giá trị của biểu thức là A. 3 B. 2 C. 1 D. 4
Câu 25. Giá trị của biểu thức là: A. B. C. D.
Câu 26. Giá trị của biểu thức . A. 2 B. 3 C. 0 D. 4
Câu 27. Giá trị của biểu thức . A. B. C. D. 0
Câu 28. Giá trị của biểu thức là: A. 0,2 B. 0,5 C. 0,75 D. 0,25 HƯỚNG DẪN GIẢI
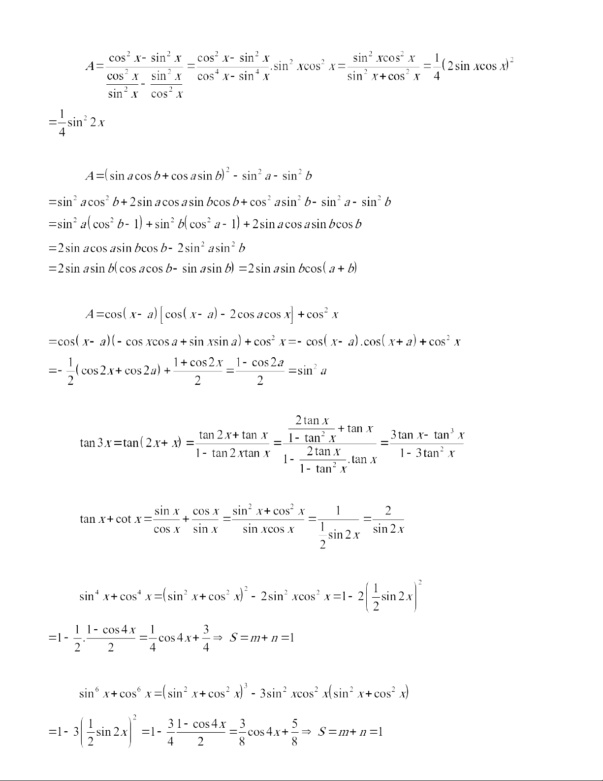
Câu 1. Chọn đáp án B Ta có .
Câu 2. Chọn đáp án A Ta có .
Câu 3. Chọn đáp án B Ta có .
Câu 4. Chọn đáp án C Ta có .
Câu 5. Chọn đáp án C Ta có .
Câu 6. Chọn đáp án C Ta có suy ra A đúng
Tương tự ta có B đúng. nên D đúng. nên C sai.
Câu 7. Chọn đáp án A Ta có: .
Câu 8. Chọn đáp án B Ta có: .
Câu 9. Chọn đáp án D Ta có:
Câu 10. Chọn đáp án A Ta có:
Câu 11. Chọn đáp án B Ta có
Câu 12. Chọn đáp án C Ta có
Câu 13. Chọn đáp án A Ta có .
Câu 14. Chọn đáp án D Ta có .
Câu 15. Chọn đáp án B Ta có .
Câu 16. Chọn đáp án A Ta có .
Câu 17. Chọn đáp án B Dễ thấy với .
Câu 18. Chọn đáp án B Ta có .
Câu 19. Chọn đáp án C Ta có
Câu 20. Chọn đáp án D Ta có
Câu 21. Chọn đáp án C
Câu 22. Chọn đáp án A
Câu 23. Chọn đáp án C
Do các đáp án đều là hằng số nên ta có thể chọn giá trị cho a, b. Thực nghiệm .
Câu 24. Chọn đáp án C Thực nghiệm
Câu 25. Chọn đáp án C Thực nghiệm,
Câu 26. Chọn đáp án C Thực nghiệm
Câu 27. Chọn đáp án C Thực nghiệm
Câu 28. Chọn đáp án C Ta có