
















Preview text:
51 bài tập - Trắc nghiệm Các dạng phương trình lượng giác thường gặp - File word có lời giải chi tiết
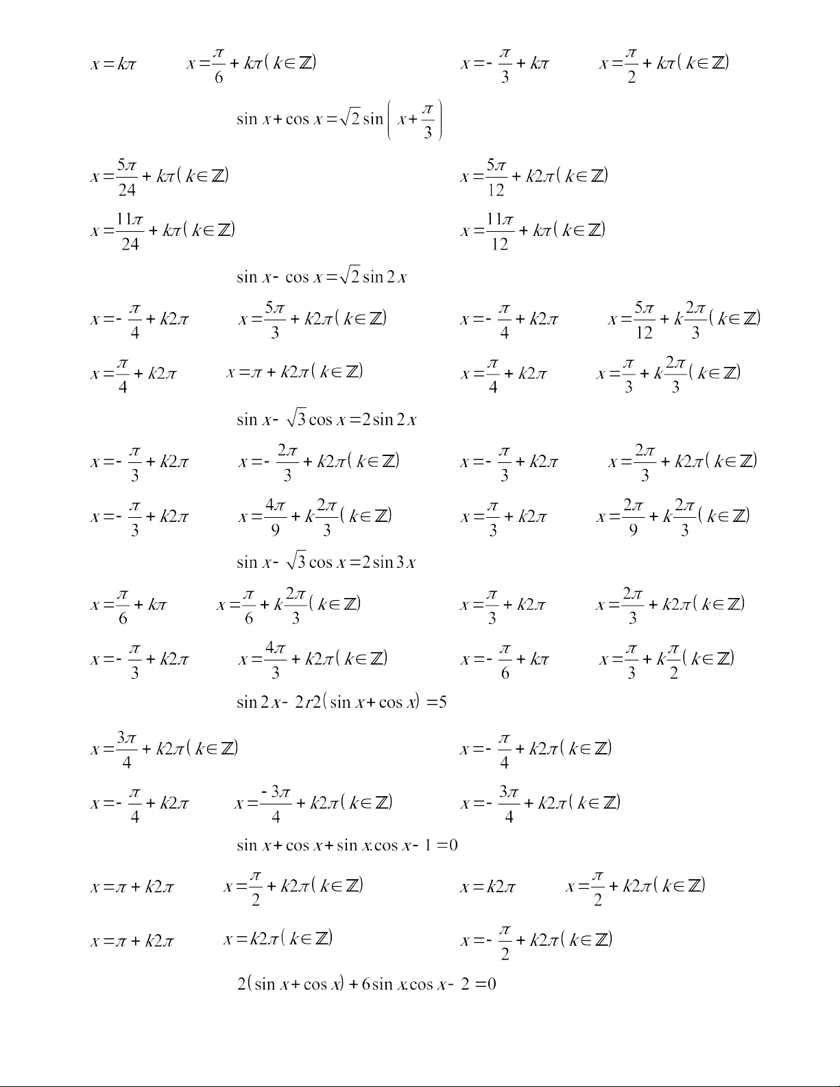
Câu 1. Phương trình có các nghiệm là: A. B. C. D.
Câu 2. Phương trình
có nghiệm khi và chỉ khi: A. B. C. D.
Câu 3. Nghiệm của phương trình là: A. B. C. D.
Câu 4. Phương trình có nghiệm là: A. B. C. D.
Câu 5. Phương trình nào sau đây vô nghiệm: A. B. C. D.
Câu 6. Nghiệm của phương trình là: A. B. C. D.
Câu 7. Số nghiệm của phương trình trên đoạn là: A. 3 B. 2 C. 4 D. 1
Câu 8. Với những giá trị nào của x, ta có đẳng thức: A. B. C. D.
Câu 9. Nghiệm của phương trình là: A. B. C. D.
Câu 10. Nghiệm của phương trình là: A. B. C. D.
Câu 11. Nghiệm của phương trình là: A. B. C. D.
Câu 12. Nghiệm của phương trình là: A. B. C. D.
Câu 13. Nghiệm của phương trình là: A. B. C. D.
Câu 14. Nghiệm của phương trình là: A. B. C. D.
Câu 15. Phương trình có các nghiệm là: A. B. C. D.
Câu 16. Tổng các nghiệm của phương trình trong khoảng là: A. B. C. D. Đáp án khác
Câu 17. Tổng các nghiệm của phương trình trên là: A. B. C. D.
Câu 18. Phương trình có đúng 1 nghiệm khi và chỉ khi: A. B. C. D. Đáp số khác
Câu 19. Nghiệm của phương trình là: A. B. C. D.
Câu 20. Nghiệm của phương trình là: A. B. C. D.
Câu 21. Nghiệm của phương trình là: A. B. C. D.
Câu 22. Nghiệm của phương trình là: A. B. C. D.
Câu 23. Giải phương trình . A. B. C. D.
Câu 24. Nghiệm của phương trình . A. B. C. D.
Câu 25. Nghiệm của phương trình là: A. B. C. D.
Câu 26. Nghiệm của phương trình là: A. B. C. D.
Câu 27. Điều kiện có nghiệm của phương trình A. B. C. D.
Câu 28. Nghiệm dương nhỏ nhất của phương trình là: A. B. C. D.
Câu 29. Nghiệm của phương trình là: A. B. C. D.
Câu 30. Nghiệm của phương trình là: A. B. C. D.
Câu 31. Nghiệm của phương trình là: A. B. C. D.
Câu 32. Giải phương trình . A. hoặc B. hoặc C. hoặc D. hoặc
Câu 33. Giải phương trình . A. B. C. D.
Câu 34. Giải phương trình . A. hoặc B. hoặc C. D.
Câu 35. Giải phương trình A. B. C. D.
Câu 36. Giải phương trình . A. hoặc B. hoặc C. hoặc D. hoặc
Câu 37. Giải phương trình A. hoặc B. hoặc C. hoặc D. hoặc
Câu 38. Giải phương trình . A. B. C. D.
Câu 39. Giải phương trình . A. hoặc B. hoặc C. hoặc D. hoặc
Câu 40. Giải phương trình . A. hoặc B. hoặc C. hoặc D. hoặc
Câu 41. Giải phương trình . A. hoặc B. hoặc C. hoặc D. hoặc
Câu 42. Giải phương trình . A. B. C. hoặc D.
Câu 43. Giải phương trình . A. hoặc B. hoặc C. hoặc D.
Câu 44. Giải phương trình A. hoặc B. C. hoặc D. hoặc
Câu 45. Giải phương trình . A. B. C. D.
Câu 46. Tìm m để phương trình có nghiệm A. B. C. D.
Câu 47. Phương trình có các nghiệm là: A. B. C. D.
Câu 48. Số nghiệm của phương trình trong khoảng là: A. 8 B. 5 C. 6 D. 3
Câu 49. Nghiệm của phương trình là A. B. C. D.
Câu 50. Nghiệm của phương trình là: A. B. C. D.
Câu 51. Nghiệm của phương trình là: A. B. C. D. HƯỚNG DẪN GIẢI
Câu 1. Chọn đáp án C
Phương trình tương đương
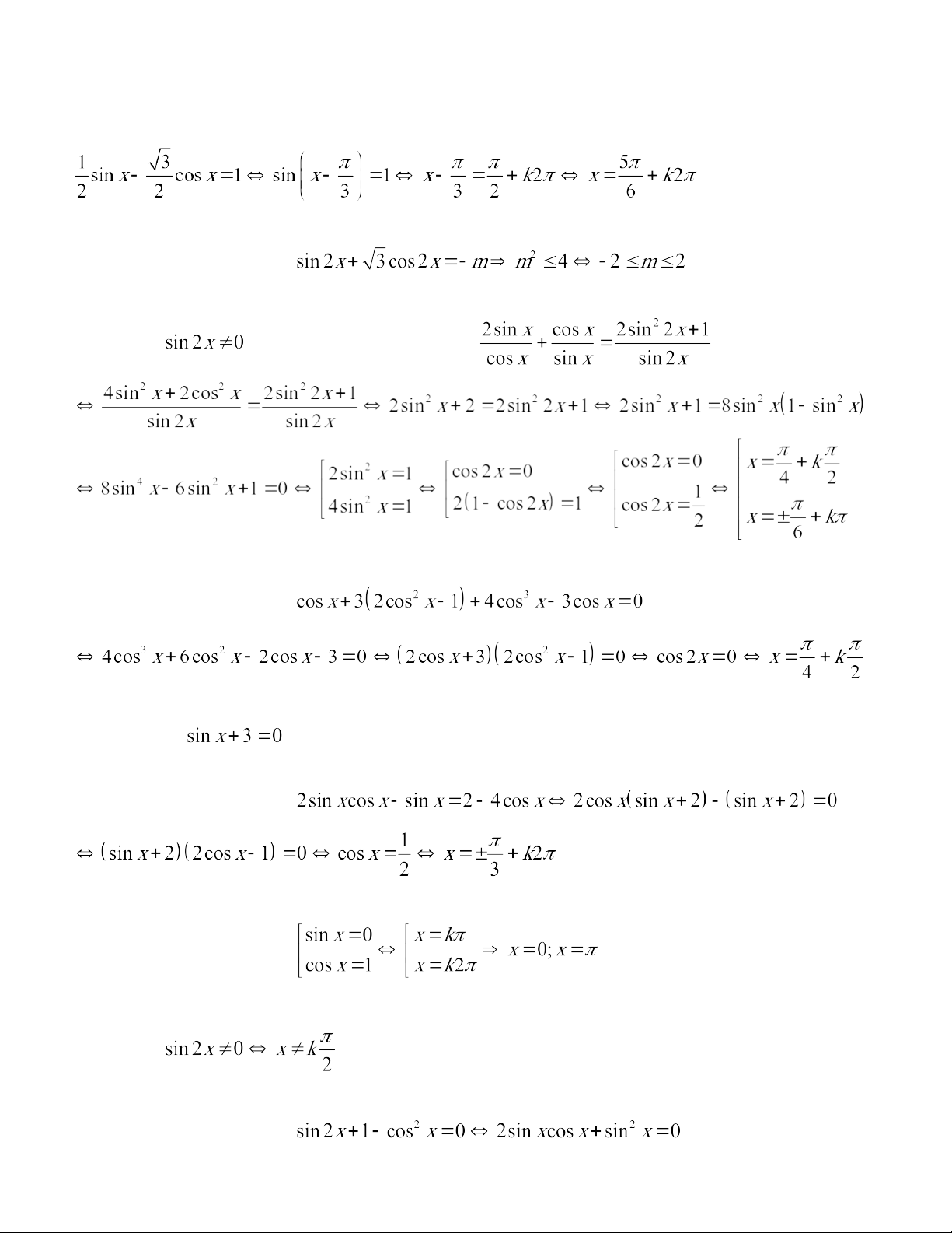
Câu 2. Chọn đáp án B
Phương trình tương đương
Câu 3. Chọn đáp án B Điều kiện:
. Phương trình tương đương
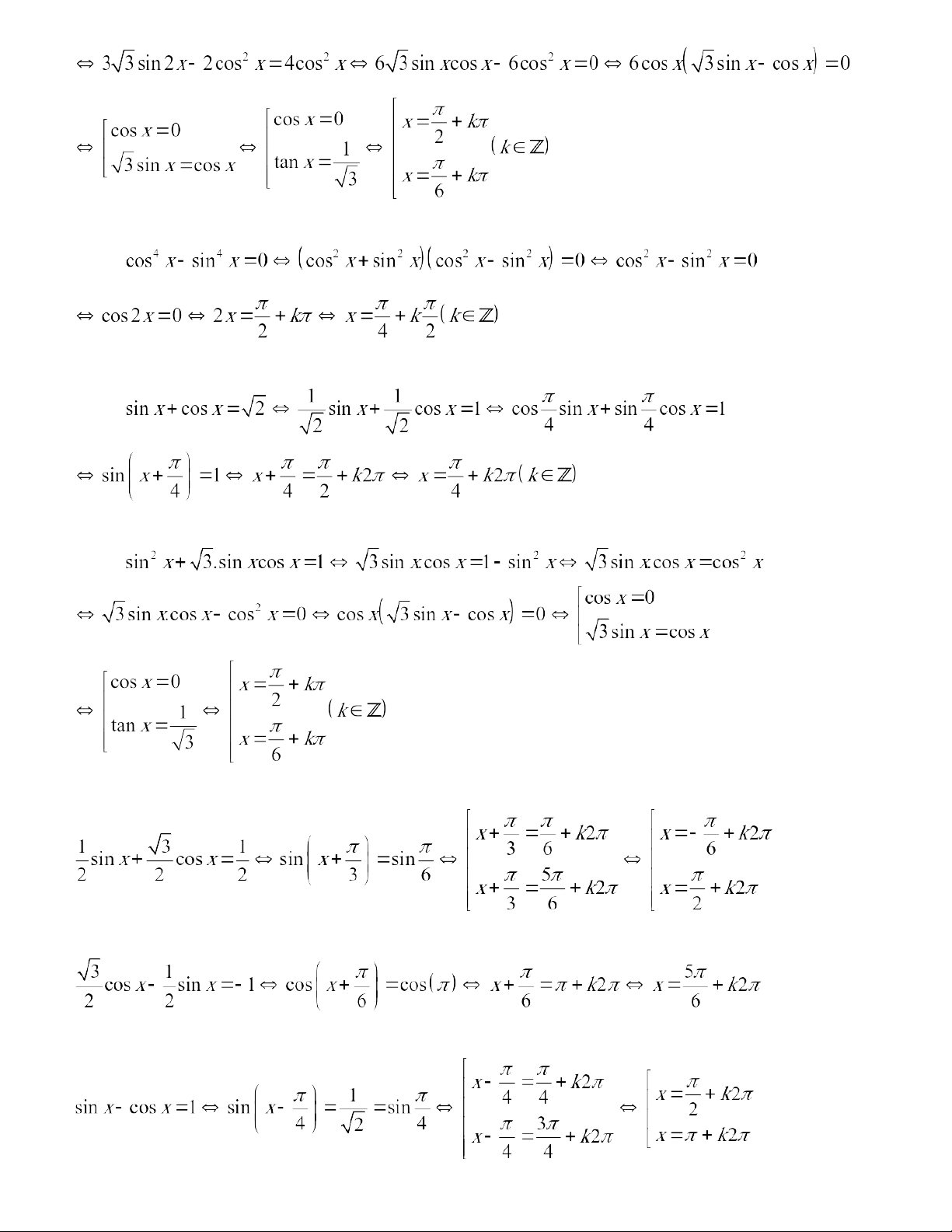
Câu 4. Chọn đáp án C
Phương trình tương đương
Câu 5. Chọn đáp án B Phương trình vô nghiệm
Câu 6. Chọn đáp án B
Phương trình tương đương
Câu 7. Chọn đáp án B
Phương trình tương đương
Câu 8. Chọn đáp án D Điều kiện:
Câu 9. Chọn đáp án B
Phương trình tương đương
Câu 10. Chọn đáp án A PT
Câu 11. Chọn đáp án D Điều kiện (*) PT Do đó
Câu 12. Chọn đáp án B PT
Câu 13. Chọn đáp án D PT
Câu 14. Chọn đáp án C PT
Câu 15. Chọn đáp án B PT
Câu 16. Chọn đáp án D PT
Câu 17. Chọn đáp án D PT
Câu 18. Chọn đáp án B Xét hàm số , với có Do đó
Câu 19. Chọn đáp án A PT
Câu 20. Chọn đáp án A PT
Câu 21. Chọn đáp án A PT
Câu 22. Chọn đáp án D PT
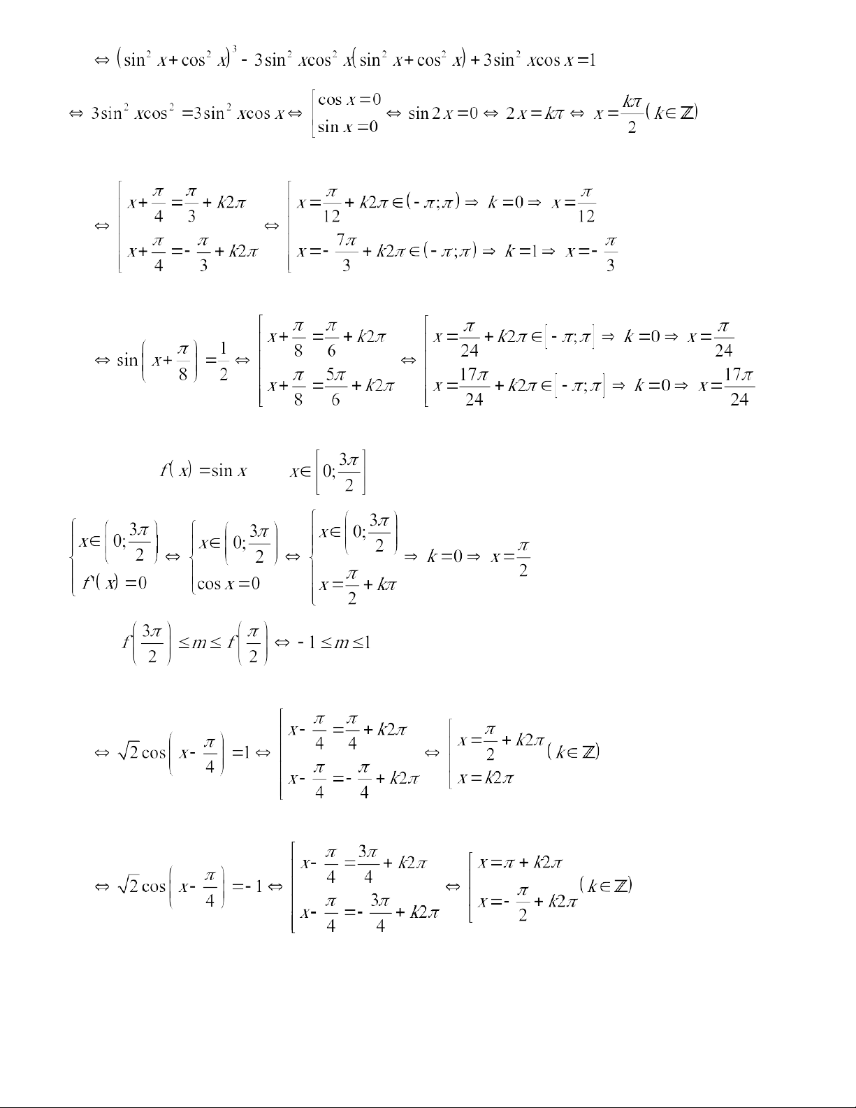
Câu 23. Chọn đáp án A Ta có
Câu 24. Chọn đáp án A Ta có
Câu 25. Chọn đáp án B Ta có
Câu 26. Chọn đáp án A Ta có
Câu 27. Chọn đáp án A
Theo lí thuyết ta có điều kiện là
Câu 28. Chọn đáp án A Ta có
Câu 29. Chọn đáp án A Ta có
Câu 30. Chọn đáp án A Ta có
Câu 31. Chọn đáp án A Ta có
Câu 32. Chọn đáp án B
Câu 33. Chọn đáp án C
Câu 34. Chọn đáp án A
Câu 35. Chọn đáp án B
Câu 36. Chọn đáp án C
Câu 37. Chọn đáp án D
Câu 38. Chọn đáp án A
Câu 39. Chọn đáp án B
Câu 40. Chọn đáp án C
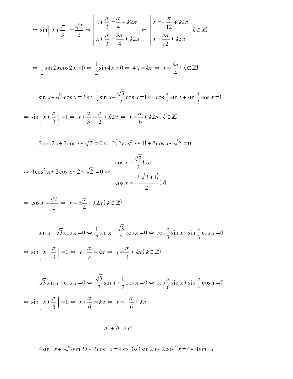
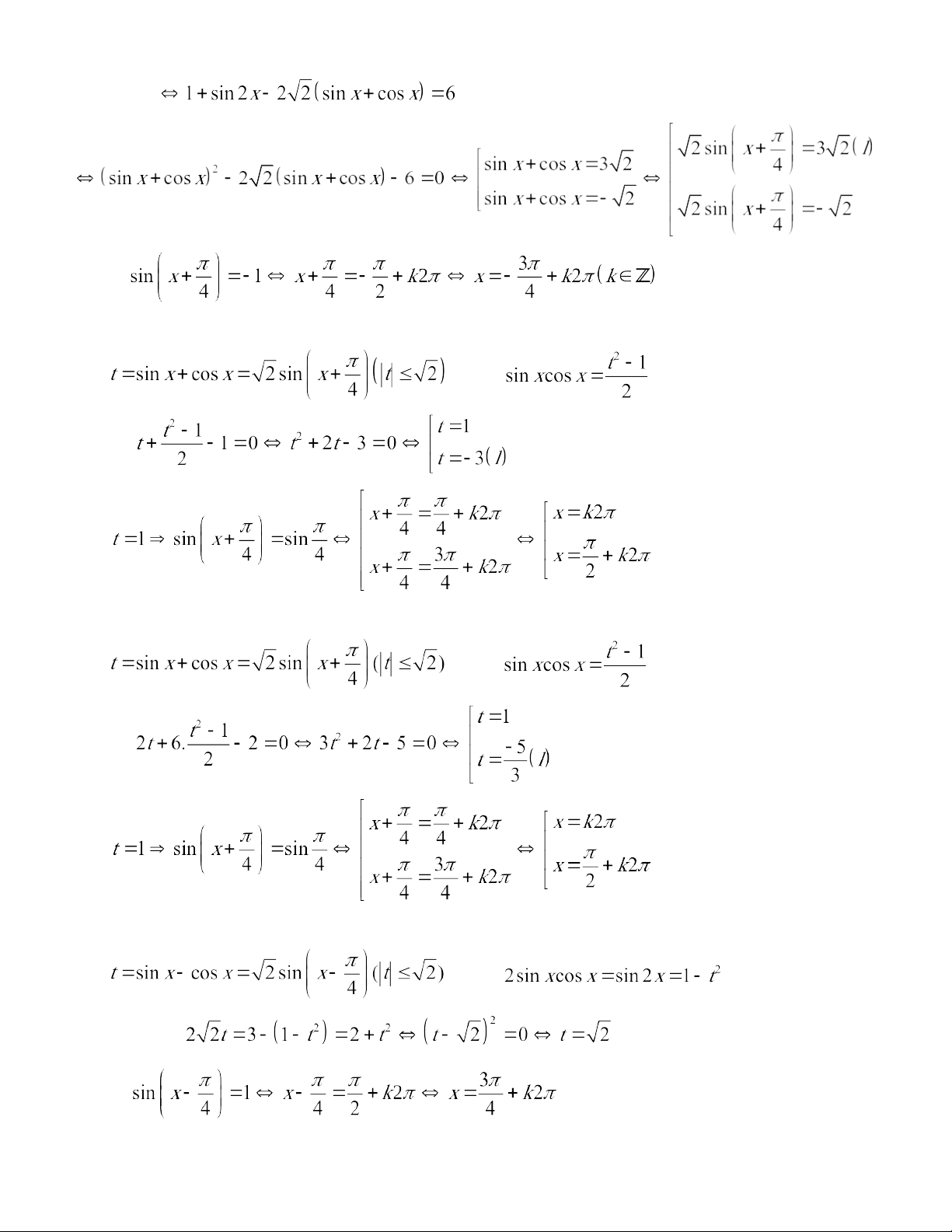
Câu 41. Chọn đáp án D Ta có: PT
Câu 42. Chọn đáp án D Ta có: PT Do đó
Câu 43. Chọn đáp án B Đặt ta có: . Khi đó Với
Câu 44. Chọn đáp án D Đặt ta có: Khi đó Với
Câu 45. Chọn đáp án D Đặt ta có: Khi đó ta có: Suy ra .
Câu 46. Chọn đáp án C PT (1) Do nên Lại có
do đó để PT có nghiệm thì
Câu 47. Chọn đáp án D Ta có: PT Đặt ta có: Khi đó Với
Câu 48. Chọn đáp án B PT (1) Cho Xét
HPT (1) có các nghiệm là .
Câu 49. Chọn đáp án C Ta có: PT
Câu 50. Chọn đáp án D Ta có: PT
Câu 51. Chọn đáp án C Ta có: PT