



















Preview text:
Bài giảng môn học
Phương trình vi phân và đạo hàm riêng
Thời lượng: 4 tín chỉ(45/15/0) Phần I
PHƯƠNG TRÌNH VI PHÂN THƯỜNG
21(19+2/8/0)
Từ chương 1 đến chương 6 Mục tiêu
Về kiến thức: Hiểu và nhớ ý nghĩa vật lý, nhận dạng, sự tồn
tại nghiệm, thuật toán, phương pháp giải phương trình vi phân
(Ordinary Differential Equation, ODE)
Về kỹ năng: Vận dụng các định nghĩa, định lý, thuật toán,
chứng minh để khảo sát các ODE
Nội dung
Phương pháp giải ODE cấp 1
ODE cấp n giải được hoặc hạ thấp cấp được
Lý thuyết tổng quát của ODE tuyến tính cấp n, cấu trúc nghiệm tổng quát
Các ODE tuyến tính cấp n có nghiệm tổng quát dạng tường minh Hệ ODE Phần II
PHƯƠNG TRÌNH ĐẠO HÀM RIÊNG
24(24-8-0)
Từ chương 1 đến chương 5 Mục tiêu
Về kiến thức: Hiểu và nhớ ý nghĩa vật lý, nhận dạng, sự tồn
tại nghiệm, thuật toán, phương pháp giải phương trình đạo
hàm riêng (Partial Differential Equations, PDE)
Về kỹ năng: Vận dụng các định nghĩa, định lý, thuật toán,
phương pháp giải để khảo sát các PDE
Nội dung
Phương pháp giải PDE tuyến tính cấp 1 1
Phương trình truyền sóng, mô hình vật lý và cách giải
Phương trình truyền nhiệt, mô hình vật lý và cách giải
Phương trình Laplace, mô hình vật lý và cách giải
Tài liệu học tập
[1]. Nguyễn Thế Hoàn, Phạm Phu; Cơ sở phương trình vi phân và
lý thuyết ổn định; Nhà xuất bản Giáo dục; Hà nội, 2007;
[2]. Nguyễn Thế Hoàn, Trần Văn Nhung; Bài tập phương trình vi
phân; Nhà xuất bản giáo dục; 2005;
[3]. Nguyễn Thừa Hợp; Giáo trình phương trình đạo hàm riêng; Nhà
xuất bản Đại học Quốc gia Hà nội; 2006.
[4]. Phan Huy Thiện; Phương trình toán lý; Nhà xuất bản Giáo
dục; Hà nội; 2007. Đánh giá
Tỷ lệ điểm cho mỗi hình thức KT-ĐG: Bài thi cuối kỳ: 60% Kiểm tra giữa kỳ: 20% Bài tập theo chương: 15% Thái độ chuyên cần: 05% 2 Chương 1
Phương trình vi phân cấp một (3/2/0)
A. Mục tiêu chương
Về kiến thức: nắm vững ý nghĩa vật lý, nhận dạng, sự tồn tại
nghiệm, phương pháp giải phương trình vi phân (ODE) cấp một
Về kỹ năng: hiểu biết và vận dụng các thuật toán xây dựng,
nhận dạng và tìm nghiệm của ODE. Hiểu các khái niệm cơ
bản, các phương pháp chứng minh. Vận dụng khảo sát ODE cấp một
B.Nội dung chính
1. Các khái niệm mở đầu: Ví dụ về phương trình vi phân ; Định
nghĩa, bài toán Côsi (Cauchy) ; Ý nghĩa hình học.
2. Sự tồn tại và duy nhất nghiệm của bài toán Cô sy: Định lí Côsi-
Picar (tồn tại và duy nhất nghiệm) ; Sự kéo dài nghiệm
3. Các loại nghiệm của phương trình vi phân cấp một; Định nghĩa
; Nghiệm tổng quát ; Tích phân tổng quát ; Nghiệm riêng ; Nghiệm kỳ dị ;
4. Một số phương trình vi phân giải được bằng cầu phương:
Phương trình biến số phân ly và phân ly được ; Phương trình
thuần nhất và phương trình đưa được về dạng thuấn nhất ;
Phương trình thuần nhất suy rộng ; Phương trình tuyến tính cấp
một ; Phương trình Becnuly (Bernoulli) ; Phương trình Dacbu
(Darboux) ; Phương trình Ricati (Riccati) ; Phương trình vi phân
toàn phần ; Thừa số tích phân
C. Nội dung chi tiết 3
§1. Các khái niệm mở đầu
1. Ví dụ về phương trình vi phân
Bài toán 1. Xác
định luật dao động của vật có
khối lượng m đặt
trên lò so đàn hồi (Hình 1). Giải:
Chọn trục Oy thẳng đứng hướng từ trên
xuống dưới, gốc O đặt tại trọng tâm của
vật ở vị trí cân bằng. y là độ dịch chuyển m y
của vật so với vị trí cân bằng. m
Các lực ngoài tác dụng lên vật gồm:
+ Lực đàn hồi (của lò so) kéo vật trở về
vị trí cân bằng, tỷ lệ với độ dời, -ky , k > 0 là hệ số đàn hồi
////////////////////////////////////////////
+ Lực cản (không khí) hướng ngược Hình 1
chiều chuyển động và tỷ lệ với vận tốc,
, (λ, hằng số dương, dy/dt là vận tốc của vật). d2 y F=ma=m d2 y Lực quán tính,
dt2 , dt2 -gia tốc của vật.
Theo định luật Newton, phương trình chuyển động của vật đặt trên lò so là: d2 y m dy =−ky−λ dt2 dt p= λ/m ,q=k/m Đặt
, phương trình trên có dạng y'' + p y'+qy=0
Đây là ODE tuyến tính cấp 2 hệ số hằng số.
+ Nếu p2/4 < q, nghiệm của phương trình trên có dạng: 4 y=eαt (C1cos βt +C2sin βt ) trong đó: là các hằng số C
C = A sin ϕ ,C = A cosϕ , ( A= √C2+C2,ϕ =arctg 1 ) 1 0 2 0 1 2 0 Đặt C2 , suy ra y=eαt A sin( βt +ϕ0) Nhận xét 1.
Nghiệm này mô tả luật chuyển động tắt dần của vật. Do biên độ
dao động eαt A dần đến 0 khi t dần đến ∞
Nếu bỏ qua lực cản không khí, p = 0, thì chuyển động là dao 2 π y= A sin( βt +ϕ T= động điều hòa 0 ) có chu kỳ β , pha ban đầu ϕ0 . (đpcm)
Nhận xét 2: Do phụ thuộc vào hằng số tùy ý, (C1, C2), nên nghiệm
(tổng quát) của ODE, là tập hợp vô hạn hàm. Bài
toán 2 . Tính
tốc độ vũ trụ cấp 2 . Xác
định vận tốc nhỏ nhất để có thể phóng
một vật theo hướng thẳng đứng lên
không trung (bỏ qua sức cản không khí)
sao cho vật không quay lại trái đất. r = r(t) Giải: R /////////////////// O 5 Hình 2
Gọi P, m là khối lượng của quả đất, vật phóng tương ứng, khoảng
cách giữa tâm quả đất và trọng tâm của vật là r. Chọn trục Or như Hình 2.
Theo định luật hấp dẫn Newton, lực hút
(hướng xuống dưới) tác Pm f =k dụng lên vật là
r2 (k > 0 là hằng số hấp dẫn) phải bằng lực d2r m quán
tính dt2 . Do đó phương trình chuyển động của vật là: d2r P =−k dt2 r2
Đây là ODE cấp 2, xác định qui luật của vật được phóng thẳng lên không trung.
Các điều kiện đầu:
(1) Khi t = 0, r = R, bán kính của quả đất, dr(0 )=v0 (2) dt
(v0 là vận tốc ban đầu, vận tốc phóng). Vì .
nên phương trình trên có dạng
do điều kiện đầu, ta có
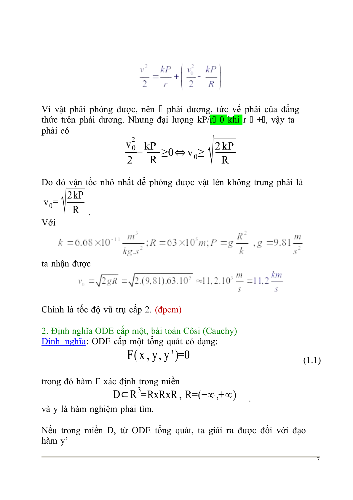
Thay vào biểu thức trên, ta nhận được biểu thức xác định vận tốc: 6
Vì vật phải phóng được, nên phải dương, tức vế phải của đẳng
thức trên phải dương. Nhưng đại lượng kP/r 0 khi r + , vậy ta phải có v20 kP − ≥0⇔ v ≥ √2kP 2 R 0 R
Do đó vận tốc nhỏ nhất để phóng được vật lên không trung phải là v0= √2kPR . Với ta nhận được
Chính là tốc độ vũ trụ cấp 2. (đpcm)
2. Định nghĩa ODE cấp một, bài toán Côsi (Cauchy)
Định nghĩa: ODE cấp một tổng quát có dạng: F( x , y, y ' )=0 (1.1)
trong đó hàm F xác định trong miền
D⊂ R3=RxRxR , R=(−∞ ,+∞) .
và y là hàm nghiệm phải tìm.
Nếu trong miền D, từ ODE tổng quát, ta giải ra được đối với đạo hàm y’ 7 y'=f ( x , y ) (1.2)
ta nhận được ODE cấp một đã giải ra đạo hàm
Hàm y=ϕ( x ) xác định và khả vi trong khoảng I = (a, b) là nghiệm
của phương trình (1.1) nếu
a).( x ,ϕ( x),ϕ'( x))∈ D ∀ x∈ I
b). F( x ,ϕ( x),ϕ' (x ))≡0 trên I
Ví dụ 1: Phương trình y '=2 y có nghiệm y = Ce2x xác định trong
khoảng (- , + ) với Clà hằng số tùy ý.
Bài toán Cô si
Tìm nghiệm của ODE (1.1) thỏa mãn điều kiện đầu: y(x0 )= y0 ,
trong đó x0, y0 là các số cho trước. Hay Cho trước (x U ⊂R2=RxR 0,y0) trong miền . Hãy tìm: I ⊂ R , x I (1). Miền con 0 ∈ ,
(2). Nghiệm ϕ : I → R của phương trình F(x,y,y’) = 0 thỏa mãn điều ϕ( x kiện đầu 0 )= y0
3. Ý nghĩa hình học
Xét ODE dưới dạng đã giải ra được với đạo hàm cấp một:
y'=f ( x , y ), ∀ ( x, y)∈G ⊂ R2 và
y=ϕ( x ): ϕ' (x )=f ( x,ϕ( x)), ∀ x ∈ I=(a,b)⊆ R
Khi đó y=ϕ( x ) được gọi là đường cong tích phân trong G của ODE tương ứng.
Bài toán Cô si là bài toán tìm đường cong tích phân đi qua điểm cho trước ( x0, y0)∈G . 8
Chọn hệ tọa độ Đề các vuông góc Oxy trong mặt phẳng. Xét miền
G= {( x, y )∈ R2: f ( x , y )∈[ c,d ]∈ R} ( x , y )∈G Tại mỗi điểm 0 0
vẽ véc tơ có độ dài bằng một, lập với
hướng dương trục hoành một góc α :tg α=f (x y = y(x) 0 , y0 ) . Mỗi véc tơ đó y
tạo nên một hướng trường trong
G. Làm như vậy với mọi điểm G
trong G, ta được trường véc tơ,
được gọi là trường hướng. dy (x ,y ) 0 0 =f ( x , y) a x O b Xét ODE dx và hàm
y= y( x) là đường cong tích phân của nó.
Từ ý nghĩa hình học của đạo hàm và ODE (1.2) tiếp tuyến tại mỗi
điểm thuộc đường cong tích phân của phương trình (1.2) luôn chứa
hướng trường thuộc G. Do vậy việc tìm nghiệm của (1.2) tương
đương với việc tìm một đường cong trong G sao cho tiếp tuyến với
nó tại mỗi điểm có hướng trùng với hướng trường tại điểm đó.
Để tìm nghiệm theo cách này, dùng phương pháp đường đẳng tà.
Đó là đường mà tại mỗi điểm của nó hướng trường không đổi. 9
§2. Sự tồn tại và duy nhất nghiệm của bài toán Cô si
1. Định lí Cô si-Pica (định lý tồn tại và duy nhất nghiệm) Xét ODE y'=f ( x , y ) (2.1)
Giả sử rằng hàm f xác định và liên tục trong G⊂ R2 đồng thời
thỏa mãn điều kiện Lipsit theo y trong G như sau: (2.2.) Khi đó:
(1). Ứng với mỗi điểm trong (x0,y0) thuộc G, tồn tại duy nhất nghiệm
y = y(x) của ODE (2.1) thoả mãn điều kiện ban đầu y(x0) = y0
(2). Nghiệm tìm được theo dãy xấp xỉ Picar và xác định trong miền b h=min {a, } [x M
0-h, x0+h] với
trong đó chọn a, b sao cho
Q= {( x , y ):|x−x |≤a, |y−y |≤b 0 0 }⊂G và Chứng minh:
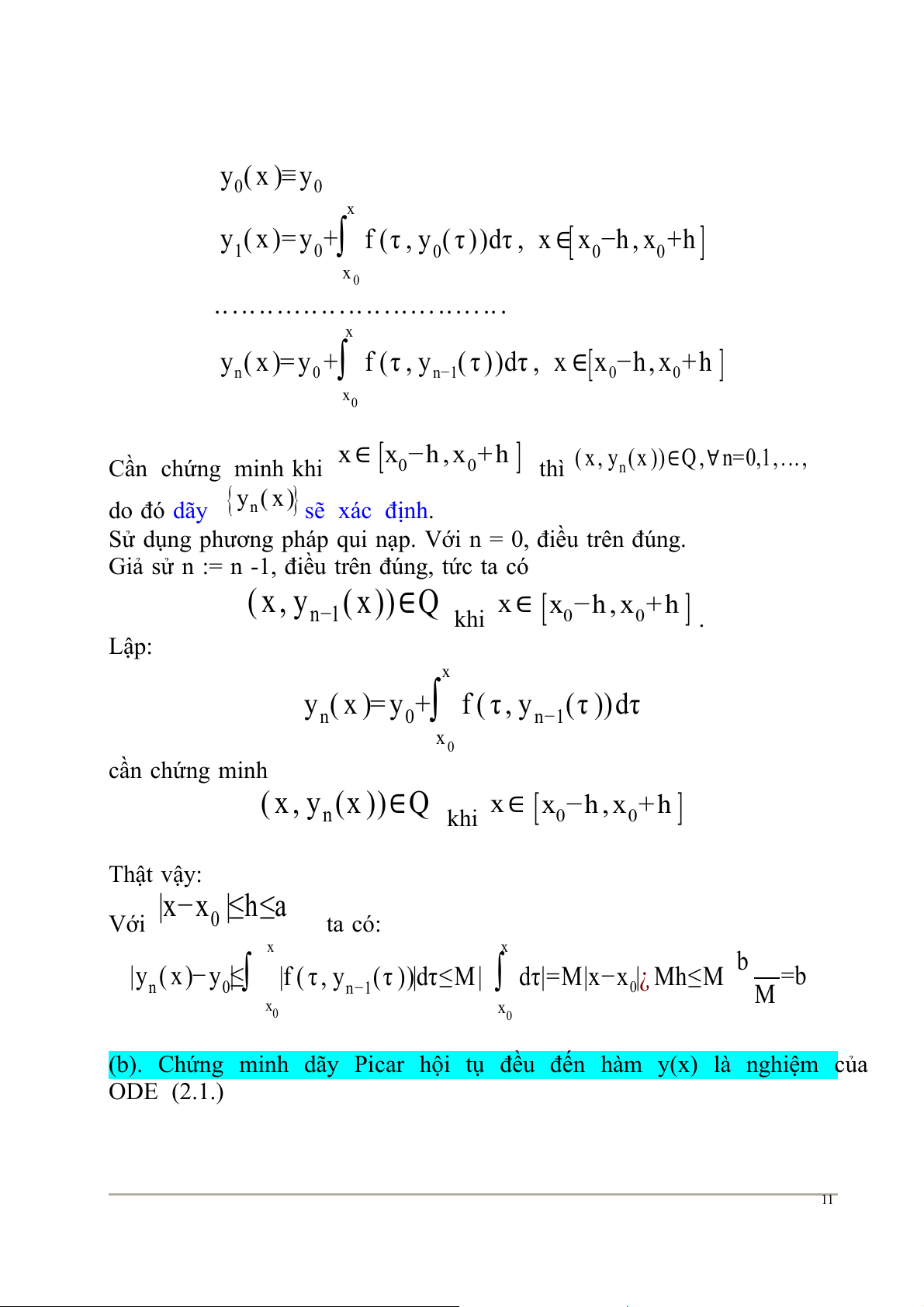
(a). Xây dựng dãy xấp xỉ Picar:
Tính miền xác định G của hàm f(x,y); Q= {( x , y ):|x−x Chọn a , b ∈ R sao cho 0|≤ a , | y− y0 |≤b }⊂G ; b h=min {a, } Tìm , M và [x0-h, x0+h];
Lập dãy xấp xỉ Picar như sau: 10 y0( x )≡ y0 x
y ( x)= y +∫ f (τ , y ( τ))dτ , x −h , x +h ] 1 0 ∈[ x 0 0 0 x 0
.. . .. .. ... .. .. . .. .. . .. .. . .. .. . .. . x
y ( x)= y +∫ f (τ , y ( τ))dτ , x −h , x +h ] n 0 n−1 ∈[x0 0 x0 x −h , x + h ]
Cần chứng minh khi ∈ [x0 0
thì ( x, yn(x ))∈Q ,∀ n=0,1,..., do đó dãy { y ( x ) n
} sẽ xác định.
Sử dụng phương pháp qui nạp. Với n = 0, điều trên đúng.
Giả sử n := n -1, điều trên đúng, tức ta có ( x, yn−1(x))∈Q x ∈ −h , x +h khi [x0 0 ] . Lập: x
y ( x )= y +∫ f ( τ, y (τ ))dτ n 0 n−1 x0 cần chứng minh ( x, yn(x ))∈Q x −h , x +h ∈ khi [x ] 0 0 Thật vậy: |x−x |≤h≤a Với 0 ta có: x x |y ( x)− y |≤∫ b
|f ( τ , y (τ ))|dτ≤M| ∫ dτ|=M|x−x |¿ Mh≤M =b n 0 n−1 0 M x0 x0
(b). Chứng minh dãy Picar hội tụ đều đến hàm y(x) là nghiệm của ODE (2.1.) 11
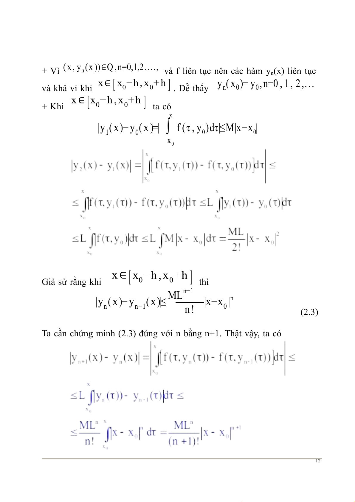
+ Vì ( x , yn(x ))∈Q , n=0,1,2... ., và f liên tục nên các hàm yn(x) liên tục x −h , x + h và khả vi khi ∈ [ x0 0
] . Dễ thấy yn(x0)= y0,n=0 , 1, 2,... x ∈ [x −h,x +h ] + Khi 0 0 ta có x
|y ( x)− y ( x )|=| ∫ f (τ , y )dτ|≤M|x−x | 1 0 0 0 x0 x ∈ [ x −h,x +h ] Giả sử rằng khi 0 0 thì | MLn−1 y ( x)− y ( x)|≤ |x−x |n n n−1 n ! 0 (2.3)
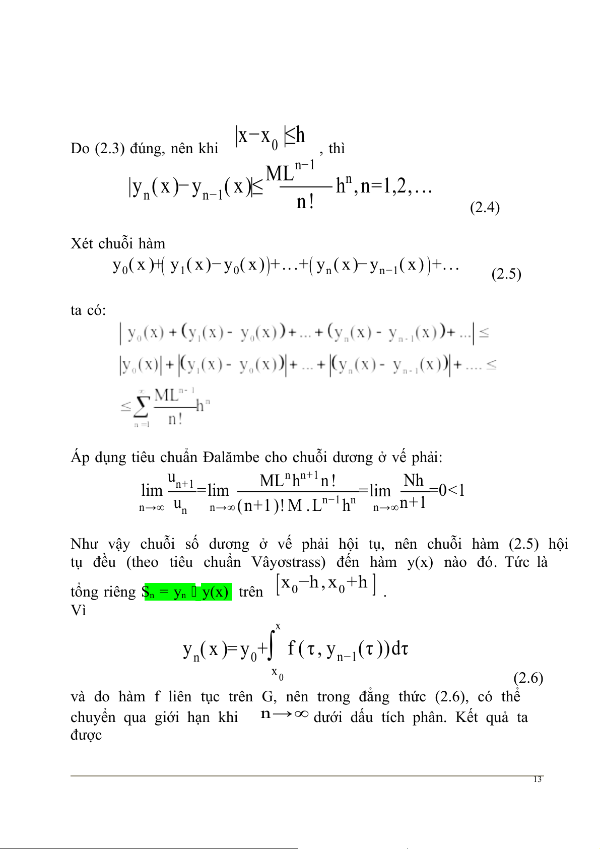
Ta cần chứng minh (2.3) đúng với n bằng n+1. Thật vậy, ta có 12 |x−x |≤h Do (2.3) đúng, nên khi 0 , thì −
|y ( x)− y ( x)|≤ MLn 1 hn,n=1,2,... n n−1 n! (2.4) Xét chuỗi hàm
y0( x )+( y1( x)− y0( x))+...+( yn( x)− y ) n−1( x ) +. . . (2.5) ta có:
Áp dụng tiêu chuẩn Đalămbe cho chuỗi dương ở vế phải: u n n+1 Nh lim n+1 =lim ML h n ! =lim =0<1 n→∞ u n+1 n n→∞ ( n+1 )! M . Ln−1 hn n→∞
Như vậy chuỗi số dương ở vế phải hội tụ, nên chuỗi hàm (2.5) hội
tụ đều (theo tiêu chuẩn Vâyơstrass) đến hàm y(x) nào đó. Tức là [x −h,x +h ] tổng riêng S 0 0 n = yn y(x) trên . Vì x
y ( x )= y +∫ f ( τ, y (τ ))dτ n 0 n−1 x0 (2.6)
và do hàm f liên tục trên G, nên trong đẳng thức (2.6), có thể
chuyển qua giới hạn khi n→∞ dưới dấu tích phân. Kết quả ta được 13 x
y( x)= y +∫ f (τ , y(τ))dτ 0 x0 (2.7) [x −h,x +h ]
Do dãy {yn( x )} hội tụ đều trên đoạn 0 0 nên hàm giới [x −h,x +h ]
hạn y ( x ) là hàm liên tục trên đoạn 0 0 .
Từ đẳng thức (2.7), do hàm f liên tục nên hàm y( x) khả vi trên [x −h,x +h ] 0 0 .
Từ (2.7) lấy đạo hàm hai vế theo x ta có:
y' ( x)=f ( x , y ( x )), x∈[ x −h,x +h 0 0 ]ỡ và y(x0) = y0, Vậy
là nghiệm của bài toán Cô si (đpcm)
Nhắc lại: Hàm f(x,y) được gọi là hội tụ đều theo biến y trong miền R nếu
(c). Nghiệm y(x) là duy nhất y(x) ∀ x ∈ [x −h', x +h' ] Giả sử là nghiệm của ODE (2.1) 0 0 thỏa y( x )=y mãn 0 0 .
y' ( x)≡f ( x , y ), ∀ x∈ [x −h', x +h' ] Khi đó 0 0 x
y( x)= y +∫ f (τ , y(τ))dτ 0 x0 (2.8) 14 [x −δ , x +δ ]
Đặt δ=min [ h , h ' ] . Trên 0 0 , trừ (2.8) cho (2.6) ta được Ta có x
| y( x)− y ( x)|=| y( x )− y
|=| ∫ f (τ , y(τ ))dτ|≤M|x−x |¿ Mδ 0 0 0 x0 . Tương tự ML | y( x)− y ( x)|≤ |x−x |2 1 2 ! 0 …………………….. MLn | y( x)− y ( x)|≤ |x−x |n n 0 Giả sử (n+1)! . Ta có Như vậy ta luôn có MLn | y( x)− y ( x)|≤ δn+1 , n=0,1,2 ,... n (n+1)! (2.9) 15 ∞ M ∑ Ln δn+1 S = Ln δn+1→0 khi n→∞ n Vì chuỗi n=0 ( n+1) ! hội tụ nên (n+1)! do đó từ (2.9) suy ra lim y ( x)= y ( x), x −δ , x +δ n ∈ [x0 0 ] n→∞ y(x)=y(x )
Do tính duy nhất của giới hạn ta suy ra (đpcm) Chú ý:
|f ' |≤M , ∀( x, y)∈G ⇒ |f (x, y)−f (x, y )|≤M|y−y| Nếu y
CM: Theo công thức Lagrăng(Lagrange) ta có (đpcm)
Điều ngược lại không đúng. Vì dụ hàm f(x,y) = |y|, thỏa mãn điều
kiện Lipsit, nhưng không có đạo hàm riêng tại y = 0. ∂f
Hệ quả: Nếu hàm f liên tục cùng đạo hàm riêng ∂ y trong miền G. ( x
Khi đó qua mỗi điểm trong
0 , y0 )∈G có một và chỉ một đường
cong tích phân của ODE (2.1) đi qua. ∂f
Chứng minh: ∂ y liên tục nên giới nội trên miền chữ nhật G, tâm tại
(x0,y0). Do đó thỏa mãn điều kiện Lipsit trên Q. Áp dụng định lý (đpcm). 16
2. Sự kéo dài nghiệm (đọc thêm, sinh viên trình bày)
Chứng minh: Giả sử y( x) là nghiệm duy nhất của (2.1) sao cho y( x )= y [ x −h , x +h ] 0
0 .Nghiệm này xác định trong đoạn 0 0 . x1= x 1= y(x 1)= y(x ) Đặt 0 0 +h , y0 0 0 +h . ( x1 , y1) Nếu điểm 0
0 là điểm trong của miền G thì tồn tại hình chữ ( x1 , y1) Q
nhật với tâm tại điểm 0 0 sao cho 1 ⊂ G . y
Theo định lý Cô si, tồn tại nghiệm
1( x ) của ODE (2.1) xác định 1−h , x 1+h ]: y ( x1 )= y 1 trên đoạn ∀ x ∈ [ x0 1 0 1 1 0 0 .
Do tính duy nhất nghiệm nên . và do khoảng nên nghiệm y ( x) 1 trên
khoảng này được gọi là nghiệm kéo dài của nghiệm y(x). x2= x 2= y(x 2)= y( x Tương tự, Đặt 0 1+ h1 , y0 0 1+ h1 ) . ( x2, y2) Nếu điểm 0
0 là điểm trong của miền G thì ta có thể kéo dài ( x2, x2+h
tiếp nghiệm y(x) lên khoảng 0 0 1 ] .
Người ta đã chứng minh rằng sau hữu hạn bước, quá trình kéo dài
nghiệm (về bên phải) sẽ dừng khi mà:
Sự kéo dài nghiệm về bên trái được thực hiện tương tự. (đpcm)
Có thể chứng minh quá trình kéo dài trên có thể tiếp tục đến biên của miền G. 17
§3. Các loại nghiệm của phương trình vi phân cấp một
1. Định nghĩa Xét ODE y'=f ( x , y ) (3.1)
trong đó hàm f xác định và liên tục trong miền G ⊂ R2
G là miền tồn tại và duy nhất nghiệm của ODE (3.1) nếu qua mỗi
điểm của miền G có một và chỉ một đường cong tích phân đi qua.
2. Nghiệm tổng quát
Hàm y=ϕ( x , C ) được gọi là nghiệm tổng quát của ODE (3.1) trong miền G nếu: C=ψ (x
(1). ∀ ( x0 , y0 )∈G , y0=ϕ ( x0 , C )⇒ ) 0 , y0
(2). y=ϕ( x , C ) thỏa mãn ODE (3.1) khi hằng số tích phân tính theo (1). Ví dụ: dy = y dx x
⇒G= {( x , y ): 0 là miền tồn tại và duy nhất nghiệm vì hàm f(x,y) = y/x liên tục và có
đạo hàm riêng ∂ y /∂ x=1/ x liên tục trong G.
Nghiệm y(x) = Cx là nghiệm tổng quát vì: Từ y0 = Cx0 C = y0/x0
Và kiểm tra trực tiếp y = Cx là nghiệm của ODE đã cho
Nếu hàm y=ϕ( x ) là nghiệm của ODE thì đường cong ϕ( x) được
gọi là đường cong tích phân. 18
Nghiệm tổng quát của (3.1) khi tích phân có thể là họ các đường
cong tích phân phụ thuộc tham số C {x=ϕ(t,C) y=ψ (t ,C ) Ví dụ: x y'=− , ( y≠0) y ;
có tích phân tổng quát là x2+ y2=C (C>0 )
Vì trong nửa mặt phẳng trên (và dưới) nó xác định nghiệm tổng
quát y= √C−x2 và y=− √C−x2
Nghiệm tổng quát dạng tham số {x=Ccos(t) y=C sin(t ) 2 2
Khử t ta đi đến tích phân tổng quát x + y =C (C>0 ) .
3. Tích phân tổng quát
Biểu thức Φ( x , y , C )=0 (C = const) là tích phân tổng quát của
ODE (3.1) trong miền G nếu từ biểu thức đó có thể xác định được
nghiệm tổng quát y=ϕ( x , C ) . Ví dụ: Phương trình x y'=− ( y≠0) y 19
có tích phân tổng quát là x2+ y2=C ( C >0 ) bởi vì nó xác định nghiệm tổng quát y=± √C−x2
4. Nghiệm riêng
Nghiệm nhận được từ nghiệm tổng quát với giá trị xác định của
hằng số tích phân được gọi là nghiệm riêng
5. Nghiệm kỳ dị
Nghiệm của ODE (3.1) là nghiệm kỳ dị nếu tại mỗi điểm của nó tính
duy nhất nghiệm bị phá vỡ. Ví dụ: Giải ODE y'=2 √y ( y ≥0) Trường hợp 1, y > 0
Do x + C > 0, x > -C nên trong miền
G= {( x, y): −∞phương trình trên có nghiệm tổng quát là
đây là họ các nhánh bên phải y
của các parabol mà trục đối
xứng song song với trục Oy,
còn đỉnh nằm trên trục Ox.
Thật vậy, miền G là miền tồn
tại và duy nhất nghiệm của ODE vì: O x Hình 3 20