Report tài liệu
Chia sẻ tài liệu
Bài tập - Chương 8: Dãy Số Thời Gian & Phương Pháp Dự Báo môn Thống kê trong kinh tế và kinh doanh | Trường Đại học Kinh Tế Quốc Dân
Bài tập - Chương 8: Dãy Số Thời Gian & Phương Pháp Dự Báo mônThống kê trong kinh tế và kinh doanh | Trường Đại học Kinh Tế Quốc Dân. Tài liệu giúp bạn tham khảo, ôn tập và đạt kết quả cao. Mời đọc đón xem!
Môn: Thống kê trong kinh tế và kinh doanh 1.3 K tài liệu
Trường: Trường Đại học Kinh Tế Quốc Dân 8.2 K tài liệu
Tác giả:












Tài liệu khác của Trường Đại học Kinh Tế Quốc Dân
Preview text:
Chương 8: dãy số thời gian (Cũ: Chương 7) (Chương 15 SGK)
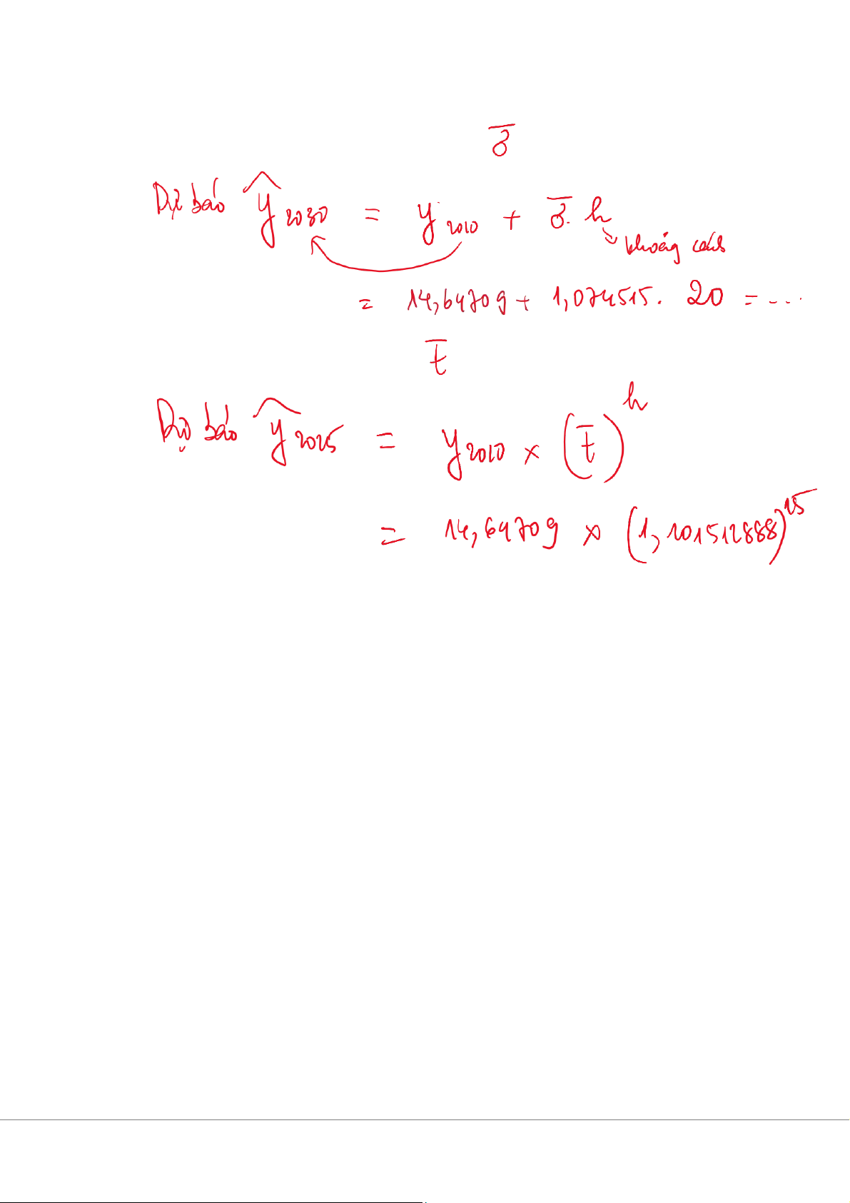
*/ BÀI TOÁN DỰ BÁO: 3 phương pháp
1/ Dựa vào lượng tăng giảm tuyệt đối bình quân:
2/ Dựa vào tốc độ phát triển bình quân:
3/ Dựa vào hàm xu thế (Học ở chương 6: Hồi quy)
1/ Sai, Hệ số biến thiên NÊN được sử dụng khi so sánh độ biến thiên ữa các chỉ gi tiêu khác
loại hoặc các chỉ tiêu cùng loại nhưng có số bình quân khác nhau. Với các chỉ tiêu cùng loại
có số bình quân giống nhau thì vẫn có thể sử dụng hệ số biến thiên nhưng ko cần thiết, thay
vào đó có thể dùng phương sai, độ lệch chuẩn để so sánh độ biến thiên giữa các chỉ tiêu này. Học chương: 1,2,3,4,8
Chưa học: Chương 5: Thống kê suy diễn (Ước lượng, kiểm định, xác định n ) Chương 6: Hồi quy Chương 7: Chỉ số
Tài liệu liên quan:
-
Ôn tập nhóm Bài Tập Hồi Quy | Thống kê trong kinh tế và kinh doanh | Trường Đại học Kinh tế Quốc dân
14 7 -
Thống Kê Xuất Nhập Khẩu và Giá Trị Hàng Hóa | Thống kê trong kinh tế và kinh doanh | Trường Đại học Kinh tế Quốc dân
17 9 -
Bài Tập Thống Kê Kinh Doanh | Thống kê trong kinh tế và kinh doanh | Trường Đại học Kinh tế Quốc dân
14 7 -
Bài tập Phân tích sự sụp đổ của Thomas Cook trong ngành du lịch | Thống kê trong kinh tế và kinh doanh | Trường Đại học Kinh tế Quốc dân
15 8 -
Thực Hành C1: Phân Tích Dữ Liệu Bất Động Sản Trên SPSS | Thống kê trong kinh tế và kinh doanh | Trường Đại học Kinh tế Quốc dân
10 5