



















Preview text:
Mục lục
Danh mục bảng, hình..........................................................1
Lời cảm ơn..........................................................................2
Lời mở đầu..........................................................................3
Chương I: Cơ sở lý thuyết và các yếu tố tác động đến cung -
cầu.....................................................................................4
1.1 Cơ sở lý thuyết về cung...........................................................4
1.1.1 Một số khái niệm........................................................................4
1.1.2 Các phương pháp biểu diễn cung..............................................4
1.1.3 Các yếu tố ảnh hưởng đến cung................................................5
1.2 Cơ sở lý thuyết về cầu..............................................................6
1.2.1 Một số khái niệm........................................................................6
1.2.2 Các phương pháp biểu diễn cầu.................................................6
1.2.3 Các yếu tố ảnh hưởng tới cầu....................................................7
1.3 Sự kết hợp của cung và cầu....................................................7
Chương II: Diễn biến cung - cầu và giá cả thị trường cà phê
Việt Nam giai đoạn 2019 - 2023...........................................9
2.1 Diễn biến giá cả thị trường cà phê giai đoạn 2019 - 2023.9
2.2 Diễn biến cung thị trường cà phê Việt Nam giai đoạn
2019 - 2023 và các yếu tố tác động...........................................11
2.2.1 Thực tế diện tích cà phê Việt Nam...........................................11
2.2.2 Sản lượng cà phê.....................................................................12
2.2.3 Các yếu tố tác động.................................................................12
2.3 Diễn biến cầu thị trường cà phê Việt Nam giai đoạn 2019
- 2023 và các yếu tố tác động.....................................................14
2.3.1 Tình hình cầu thị trường cà phê...............................................14
2.3.2 Các yếu tố tác động.................................................................16
Chương III: Tình hình cạnh tranh thị trường........................18
3.1 Hoàn cảnh xã hội....................................................................18
3.2 Cạnh tranh thị trường............................................................18
3.2.1 Cạnh tranh thị trường trong nước............................................18
3.2.2 Cạnh tranh của thị trường xuất khẩu.......................................19
Chương IV: Một số giải pháp nhằm phát triển thị trường cà
phê...................................................................................21
Kết luận............................................................................23
Tài liệu tham khảo.............................................................24
Danh mục bảng, hình Tên Trang Bảng 1: Biểu cung 4 Bảng 2: Biểu cầu 6 Hình 1: Hàm cung 5 Hình 2: Hàm cầu 7
Hình 3: Sự cân bằng của cung và cầu 8
Hình 4: Mô hình cung tăng nhỏ hơn cầu tăng 12
Biểu đồ 1: Giá cà phê năm 2019 9
Biểu đồ 2: Giá cà phê năm 2020 9
Biểu đồ 3: Giá cà phê quý II năm 2021 10
Biểu đồ 4: Giá cà phê nửa đầu 2022 10
Biểu đồ 5: Giá cà phê nửa cuối năm 2022 11
Biểu đồ 6: Diện tích trồng cà phê Việt Nam giai đoạn 11 2019 - 2023
Biểu đồ 7: Số lượng cửa hàng cà phê và trà sữa giai đoạn 14 2019 - 2023
Biểu đồ 8: Giá cà phê xuất khẩu trên các nước 15
Biểu đồ 9: Xuất khẩu sang Ý qua các tháng giai đoạn 16 2021 - 2023
Biểu đồ 10: So sánh xuất khẩu cà phê Việt Nam sang các 16 nước
Biểu đồ 11: Giá cà phê các thị trường xuất khẩu vào EU 20 năm 2023 1 2 Lời cảm ơn
Sau một thời gian tìm kiếm tài liệu và nghiên cứu sách vở, các
kênh đa phương tiện truyền thông đại chúng, dưới sự hướng dẫn của
cô Đỗ Minh Thu - giảng viên bộ môn Kinh tế vi mô của Học Viện Ngân
Hàng, nhóm chúng em đã hoàn thành bài tập lớn về chủ đề “Phân
tích diễn biến cung cầu và giá cả thị trường cà phê giai đoạn 2019 -
2023”. Chúng em xin gửi lời cảm ơn sâu sắc đến cô đã tận tình
hướng dẫn tận tình cho nhóm chúng em, để chủ đề bài tập lớn được
hoàn thiện và chúng em học hỏi được rất nhiều kiến thức, rèn luyện
thêm kỹ năng làm việc nhóm.
Bài tập lớn sẽ còn tồn tại nhiều thiếu sót về kiến thức, chúng
em mong sẽ nhận được sự đóng góp ý kiến từ cô, để bài tập sẽ được
hoàn thiện hơn nữa, và mỗi thành viên trong nhóm sẽ đúc kết được
nhiều kinh nghiệm hơn cho lần sau. 3 Lời mở đầu
Ngành cà phê là một trong các ngành chiếm vị trí và vai trò rất
lớn trong nền nông nghiệp hàng hóa, cà phê là sản phẩm đứng thứ 5
về giá trị tiêu thụ của thị trường thế giới với mức khoảng 70,68 tỷ đô
la (năm 2011). Tại Việt Nam, cà phê cũng là một trong những ngành
có sức hấp dẫn cao khi tận dụng lợi thế khí hậu nhiệt đới gió mùa
nóng ẩm quanh năm và vùng đất Bazan rộng lớn, màu mỡ. Trên thực
tế, từ những năm 90 của thế kỉ XX, việc trồng cà phê đã bắt đầu có
những bước phát triển mới hơn trước đó rất nhiều, đồng thời cũng
tạo ra nguồn công ăn việc làm cho một bộ phận cho người lao động.
Hơn nữa, việc trồng cà phê cũng giúp phủ xanh đồi trọc, giảm thiểu
nhiều tệ nạn cũng như thiên tai xảy đến, tạo định hướng phát triển
kinh tế cho đất nước. Trong xu thế hội nhập toàn cầu, việc xuất khẩu
cà phê không chỉ là kênh huy động máy móc phục vụ hiện đại hóa
đất nước mà còn là cán cân thương mại quan trọng trong tất cả các
quan hệ thương mại quốc tế khi xuất khẩu cà phê chiếm đến 10%
tổng kim ngạch xuất khẩu của cả nước và là mặt hàng xuất khẩu chủ
lực của đất nước chỉ xếp sau lúa gạo. Tuy nhiên để ngành cà phê
thực sự là trở thành một trong những thế mạnh của Việt Nam, điều
đó còn phụ thuộc vào nhiều yếu tố bên trong và yếu tố bên ngoài và
từ sự tác động của nhà nước, các doanh nghiệp,...đến sự tác động
của thị trường thế giới.
Với mong muốn tìm hiểu một cách sâu sắc hơn về tình hình
cung - cầu và sự biến động giá cả của thị trường cà phê tại Việt Nam
cũng như trên thế giới. Nhóm chúng em xin được đưa ra đề tài
nghiên cứu của nhóm mình: “Phân tích diễn biến cung cầu và giá cả
thị trường cà phê tại Việt Nam giai đoạn 2019 - 2023.”
Bài tiểu luận gồm bốn phần chính:
Chương I: Cơ sở lý thuyết và các yếu tố tác động đến Cung - Cầu
Chương II: Diễn biến Cung - Cầu và giá cả thị trường cà
phê trong giai đoạn 2019 - 2023
Chương III: Tình hình cạnh tranh thị trường
Chương IV: Một số giải pháp nhằm phát triển thị trường cà phê Việt Nam 4
Chương I: Cơ sở lý thuyết và các yếu tố tác động đến cung - cầu 1.1
Cơ sở lý thuyết về cung
1.1.1 Một số khái niệm
Cung: là số lượng hàng hóa/dịch vụ mà người bán muốn bán và
có khả năng bán ở các mức giá khác nhau trong một khoảng thời
gian nhất định, với giả định các yếu tố khác không đổi.
Lượng cung: là số lượng hàng hóa/dịch vụ mà người bán muốn
bán và có khả năng bán ở một mức giá nhất định trong một khoảng
thời gian nào đó, với giả định các yếu tố khác không đổi.
Luật cung: Trong điều kiện các yếu tố khác không đổi, khi giá
hàng hóa tăng lên, lượng cung hàng hóa sẽ tăng lên và ngược lại.
Kết luận: Giữa mức giá và lượng cung tồn tại mối quan hệ đồng biến với nhau.
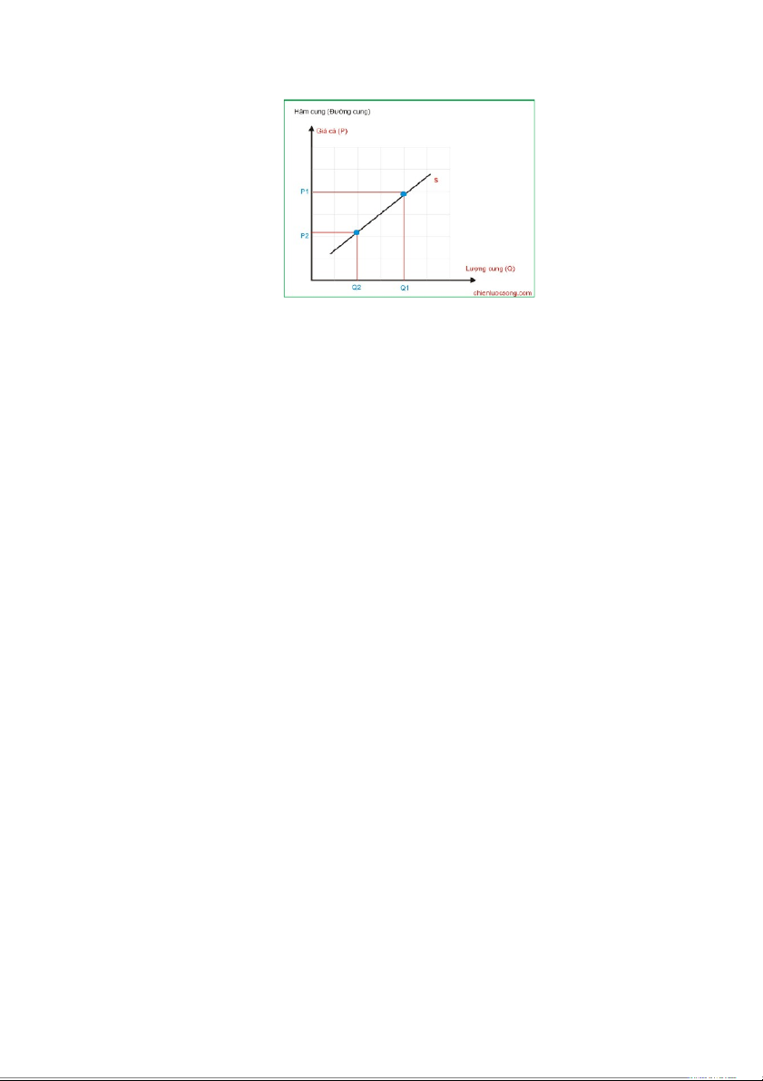
1.1.2 Các phương pháp biểu diễn cung
Biểu cung: Là sự mô tả cung bằng bảng, có thể là bảng dọc
hoặc ngang, trong đó có một cột (hàng) thể hiện mức giá (ký hiệu là P), cột Giá (nghìn đồng/ 3 4 5 6 7 8 tấn) Lượng cung(tấn) 13 18 23 28 33 38
(hàng) còn lại biểu thị lượng cung (ký hiệu là QS). Bảng 1: Biểu cung
Hàm cung tuyến tính có dạng: QS = c + d*P (d>0) Trong đó: P: giá hàng hóa. 5 QS: lượng cung hàng hóa. c: hằng số phản ánh giá cung khi giá hàng hóa bằng 0. d: hệ số biểu thị mối quan hệ giữa giá và lượng cung. Hình 1: Hàm cung
Nguồn: Chienluocsong.com
1.1.3 Các yếu tố ảnh hưởng đến cung a. Chi phí sản xuất:
Giá của các yếu tố sản xuất: Khi giá các yếu tố sản xuất (lao
động, đất đai, vốn, nguyên vật liệu,...) tăng khiến cho cung hàng hóa
đó giảm đi dẫn đến đường cung dịch trái.
Công nghệ: Công nghệ tiến bộ giúp chi phí sản xuất giảm đi
khiến cho cung hàng hóa tăng dẫn đến đường cung dịch phải.
Các chính sách của Chính phủ:
Thuế: Khi Chính phủ đánh thuế hoặc tăng thuế đối với hàng
hóa bán ra khiến chi phí sản xuất tăng làm cho cung hàng hóa giảm
đi dẫn tới đường cung dịch trái. 6
Trợ cấp: Khi Chính phủ quyết định trợ cấp hoặc tăng trợ cấp cho
người sản xuất khiến chi phí sản xuất giảm làm cho cung hàng hóa
tăng dẫn tới đường cung dịch phải.
b. Giá hàng hóa có liên quan:
Hàng hóa thay thế: Giá hàng hóa này giảm khiến lợi nhuận
hàng hóa này ít hơn so với hàng hóa kia làm cho cung hàng hóa kia
tăng. Khi đó giá hàng hóa này với cung của hàng hóa kia có mối quan hệ nghịch biến.
Hàng hóa bổ sung: Giá hàng hóa này giảm khiến lợi nhuận
giảm làm cho cung hàng hóa kia cũng giảm. Khi đó giá hàng hóa này
và cung của hàng hóa kia có mối quan hệ đồng biến.
c. Kỳ vọng của người sản xuất:
Nếu các kỳ vọng về thị trường trong tương lai thuận lợi thì cung hiện tại sẽ giảm.
d. Số lượng người sản xuất:
Thị trường càng nhiều người sản xuất dẫn đến quy mô lớn làm
cho cung hàng hóa tăng dẫn đến đường cung dịch phải. 1.2
Cơ sở lý thuyết về cầu
1.2.1 Một số khái niệm
Cầu: là số lượng hàng hóa mà người mua muốn mua và có khả
năng mua ở các mức giá khác nhau trong một khoảng thời gian nhất
định, với giả định các yếu tố khác không đổi.
Lượng cầu: là số lượng hàng hóa mà người mua muốn mua và
có khả năng mua ở một mức giá cụ thể trong một khoảng thời gian
nhất định, với giả định các yếu tố khác không đổi.
Luật cầu: Trong điều kiện các yếu tố khác không đổi, khi giá
một hàng hóa tăng lên, lượng cầu về hàng hóa đó sẽ giảm xuống và ngược lại.
Kết luận: Giữa mức giá và lượng cầu tồn tại mối quan hệ
nghịch biến với nhau.
1.2.2 Các phương pháp biểu diễn cầu
Biểu cầu: Biểu cầu là sự mô tả cầu bằng bảng, có thể là bảng
dọc hoặc bảng ngang, trong đó một cột (hàng) thể hiện mức giá (ký
hiệu là P) cột hàng còn lại biểu thị lượng cầu (ký hiệu là QD) 7 Bảng 2: Biểu cầu P (VNĐ/cha 10000 12000 14000 16000 i) QD(B) 500 800 1100 1400
Hàm cầu tuyến tính có dạng: QD = aP + b (a<0) Trong đó: P: giá hàng hóa. QD: lượng cầu hàng hóa.
a: hằng số phản ánh lượng cầu khi hàng hóa bằng 0
b: hệ số biểu thị mối quan hệ giữa giá và lượng cầu. Hình 2: Hàm cầu 8
Nguồn: Chienluocsong.com
1.2.3 Các yếu tố ảnh hưởng tới cầu
a. Giá hàng hóa liên quan:
Hàng hóa thay thế: Hai hàng hóa là thay thế thì giá của hàng
hóa này và cầu của hàng hóa kia có mối quan hệ đồng biến: PS↑ → QD ↑ .
Hàng hóa bổ sung: Hai hàng hóa là bổ sung thì giá của hàng
hóa này và cầu của hàng hóa kia có mối quan hệ nghịch biến: PC↑ → QD↓. b. Thu nhập:
Hàng hóa thông thường: Có mối quan hệ cùng chiều với thu nhập.
I↑ → QD↑ tại mọi mức giá (đường cầu dịch phải).
I↓ → QD↓ tại mọi mức giá (đường cầu dịch trái).
Hàng hóa thứ cấp: Có mối quan hệ ngược chiều với thu nhập.
I↑ → QD↓ tại mọi mức giá (đường cầu dịch trái).
I↓ → QD↑ tại mọi mức giá (đường cầu dịch phải). c. Thị hiếu:
Nếu người dùng ưa chuộng sản phẩm hơn thì cầu về hàng hóa tăng.
d. Kỳ vọng của người tiêu dùng:
Nếu các kỳ vọng về thị trường trong tương lai thuận lợi thì cầu hiện tại sẽ tăng.
e. Số lượng người tiêu dùng:
Số lượng người tiêu dùng càng nhiều thì cầu về hàng hóa đó càng tăng. 1.3
Sự kết hợp của cung và cầu
Cân bằng thị trường: Trạng thái cân bằng thị trường là trạng
thái mà tại đó lượng cầu bằng lượng cung. Khi mô tả trên đồ thị,
điểm cân bằng thị trường chính là điểm cắt nhau của đường cầu và đường cung. (QS = QD) 9
Trạng thái dư thừa: Trạng thái dư thừa là trạng thái mà tại đó
lượng cung vượt quá lượng cầu (trong một khoảng thời gian). Tình
trạng này xuất hiện khi mức giá trên thị trường cao hơn mức giá cân bằng (P’ > P0)
Trạng thái thiếu hụt: Trạng thái thiếu hụt là trạng thái mà tại đó
lượng cầu quá lượng cung (trong một khoảng thời gian). Giá trên thị
trường thấp hơn giá cân bằng (P’’ < P0)
Hình 3: Sự cân bằng của cung và cầu 10
Chương II: Diễn biến cung - cầu và giá cả thị trường cà phê
Việt Nam giai đoạn 2019 – 2023
2.1 Diễn biến giá cả thị trường cà phê giai đoạn 2019 - 2023
Năm 2019: Giá cà phê trong nước nhiều biến động có xu hướng
giảm với mức giảm chủ yếu là: 2.200 - 2.300 đồng/kg so với cuối năm 2018. Biểu đồ 1 : Giá cà phê năm 2019
Nguồn: Tổng cục Hải quan
Năm 2020: Giá cà phê trong nước biến động giảm trong 6
tháng đầu năm và có xu hướng tăng nhẹ trong 6 tháng cuối năm.
Biểu đồ 2: Giá cà phê năm 2020
Nguồn: Tổng cục Hải quan
Năm 2021: Trong quý II, giá cà phê tăng trung bình khoảng
10% vì nguồn cung giảm trong khi đó ở các thị trường lớn như EU, Mỹ nhu cầu tăng do phục hồi nhờ khống chế tốt dịch bệnh Covid - 19.
Biểu đồ 3: Giá cà phê quý II năm 2021
Nguồn: Tổng cục Hải quan
Năm 2022: Trong 6 tháng đầu năm mức giá cà phê có nhiều
biến động mạnh, ghi nhận mức tăng 16% so với năm 2021.
Biểu đồ 4: Giá cà phê nửa đầu năm 2022 12 Nguồn: Tổng cục Hải quan
Năm 2023: Trong nửa cuối năm 2023 giá cà phê có xu hướng
tăng vượt mốc 70.000 đồng/kg - mức giá cao kỷ lục từ trước đến nay
tăng mạnh so với những tháng đầu năm.
Biểu đồ 5: Giá cà phê nửa cuối năm 2023
Nguồn: Tổng cục Hải quan
Niên vụ 2019 – 2023 giá cà phê có nhiều biến động:
Năm 2020, giá cà phê trong nước biến động giảm trong 6 tháng
đầu năm và có xu hướng tăng nhẹ vào 6 tháng cuối năm. So với thời
điểm năm 2019, giá cà phê có xu hướng ổn định hơn. Giá cà phê cao
nhất tại khu vực Đăk Lăk (khoảng 33.500 đồng/kg) và thấp nhất tại
Lâm Đồng (khoảng 32.500 đồng/kg) - tháng 8/2020. Tại cảng TP.HCM
giá cà phê giao tại cảng ổn định ở ngưỡng 34.500 đồng/kg. Năm
2023, giá cà phê có nhiều biến động mạnh có xu hướng tăng vượt 13
mốc 70.000 đồng/kg mức giá cao kỷ lục nhất so với các năm gần
đây. So với tháng 10/2023 giá cà phê tăng 13.500 - 14.000 nghìn đồng.
2.2 Diễn biến cung thị trường cà phê Việt Nam giai đoạn
2019 - 2023 và các yếu tố tác động
2.2.1 Thực tế diện tích cà phê Việt Nam
Các khu vực trồng cà phê được mở rộng và phát triển trong những năm gần đây.
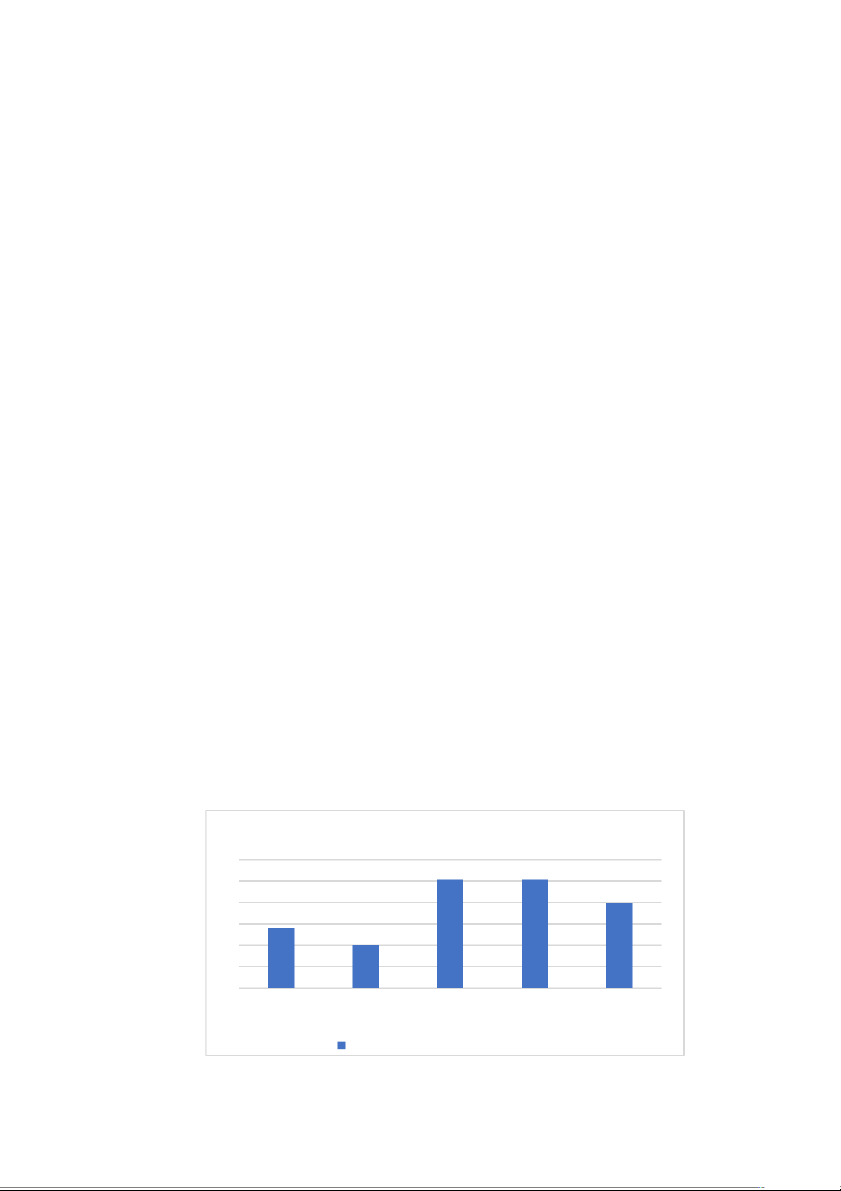
Biểu đồ 6: Diện tích trồng cà phê Việt Nam giai đoạn 2019 - 2023 (đơn vị: ha)
Nguồn: Tổng cục Hải quan
Việt Nam là nước sản xuất cà phê lớn thứ hai thế giới (sau
Brazil). Trong 5 năm canh tác giai đoạn 2019 - 2023 diện tích cà phê
tăng từ 680000 ha đến trên 710660 ha. So với năm 2019 thì diễn
tích cà phê năm 2023 tăng hơn 30.000 ha.Trong giai đoạn này do chịu nhiều
Diện tích trồng cà phê Việt Nam tác động của đại dịch 720 Covid - 710 19, cùng 700 với điều kiện thời 690 tiết không thuận 680 lợi: mưa 670 bão, 660 nắng nóng, năm 2019 năm 2020 năm 2021 năm 2022 năm 2023 khô hạn đặc biệt
Diện tích trồng cà phê Việt Nam(đv:ha) là cuộc khủng 14
hoảng dư thừa đã khiến cho diện tích trồng cà phê những năm này
biến đổi nhẹ, người dân có xu hướng chuyển sang các cây trồng công nghiệp khác.
2.2.2 Sản lượng cà phê
Lượng sản xuất của cà phê đều tăng nhẹ qua mỗi năm trong
giai đoạn 2019 - 2022 và giảm nhẹ vào năm 2023: Năm 2019 2020 2021 2022 2023 Sản lượng (triệu 1.78 1.8 1.816 1.84 1.78 tấn)
Sản lượng cà phê năm 2022 đạt mức cao nhất với 1.84 triệu
tấn. So với năm 2022, sản lượng cà phê năm 2023 có xu hướng giảm
0.06 triệu tấn. Tuy nhiên, trong giai đoạn 2019 - 2023, thời điểm
Covid - 19 diễn ra phức tạp, đã dẫn đến sự giảm phần nào của cung
sản xuất cà phê. Nguồn cung hạn chế hơn tuy nhiên nhu cầu vẫn
tăng lên vì vậy cung sản xuất tăng nhỏ hơn lượng cầu của con người
điều này được thể hiện qua mô hình cung tăng nhỏ hơn cầu dưới đây: Hình 4: Mô hình cung tăng nhỏ hơn cầu tăng
Theo mô hình ta thấy tuy lượng
cung nhỏ hơn lượng cầu, nhưng nhìn
chung chất lượng và giá cả vẫn có xu hướng tăng. P0→ P1: Tăng Q0→ Q1: Tăng
Nguồn: Sinh viên tự vẽ
2.2.3 Các yếu tố tác động a. Chi phí sản xuất
Công nghệ chế biến, trồng trọt, chăm sóc cây cà phê: 15
Trong giai đoạn 2019 - 2023, công nghệ chế biến, trồng trọt,
chăm sóc cây cà phê đã được phát triển mạnh mẽ với quy mô rộng
lớn, khoa học công nghệ áp dụng ngày càng mang tính chất ứng
dụng và phù hợp cao hơn, chất lượng tốt hơn. Nhờ có công nghệ kỹ
thuật phát triển mà sản lượng cà phê tăng dẫn đến cung cà phê cũng tăng. Yếu tố tự nhiên:
Yếu tố thời tiết: thời tiết nắng nóng, khô hạn, lượng mưa đã ảnh
hưởng nghiêm trọng đến sản lượng cà phê gây nên tình trạng mất
mùa hay được mùa. Đặc biệt là niên vụ 2022 -2023 được đánh giá là
năm “mất mùa được giá” của ngành cà phê (giảm 10 - 15% sản
lượng so với niên vụ trước) nhưng bù lại là giá liên tục tăng cao và
chạm mức cao nhất trong 30 năm qua.
Giá các yếu tố đầu vào:
Bên cạnh yếu tố về các yếu tố về diện tích trồng cà phê, khoa
học công nghệ, thời tiết, khí hậu,… thì giá của các yếu tố sản xuất
(tiền thuê lao động, nhân công, giá cây cà phê giống, giá phân bón
và các máy móc thiết bị khác) cũng ảnh hưởng đến cung của cà phê
Việt Nam. Khi giá của các yếu tố đầu vào tăng lên trong mấy năm
gần đây đã khiến chi phí sản xuất tăng, làm cho cung cà phê giảm
đi, đường cung cà phê dịch trái.
Chính sách của Chính phủ
Chính phủ đã áp dụng nhiều chính sách cho ngành cà phê
nhằm giúp ngành cà phê tại Việt Nam tăng khả năng cạnh tranh,
phát triển như: các chính sách hỗ trợ sản xuất (các gói hỗ trợ tái cơ
cấu, tái canh,…), chính sách hỗ trợ đầu vào thủy lợi phí( giống, phân
bón,..), hỗ trợ cho việc sản xuất theo tiêu chuẩn VGAP, GAP chính
sách đổi mới, chính sách thương mại,…đã khiến cho nông dân trồng
cà phê cũng như các doanh nghiệp cung cấp cà phê yên tâm phát
triển khiến cho cung cà phê tăng.
Trong niên vụ 2022 - 2023, tại Đăk Lăk các ngân hàng đã giải
ngân cho mục đích trồng mới, chăm sóc, thu mua, xuất khẩu cà phê.
Đặc biệt vào thời gian cao điểm (tháng 11 - 12/2023), với tổng số
vốn 24.017 tỷ đồng, tăng hơn 15,7% so với niên vụ trước đó. Đến
nay, dư nợ cho vay cây cà phê đạt 19.2339 tỷ đồng, chiếm hớn 13,6 16
% tổng dư nợ cho vay toàn địa bàn, với 115,544 khách hàng còn dư nợ.
b. Kỳ vọng của người sản xuất:
Với tình hình giá cà phê của những giai đoạn vừa qua (năm
2022 - 2023, giá cà phê Robusta đạt mức cao nhất trong nhiều năm
qua: 48.400 đồng/kg), người sản xuất hoàn toàn có kỳ vọng giá tiếp
tục tăng cao khiến cho họ sẽ cung ứng cà phê tương đối cầm chừng
để chờ giá lên. Kết quả là cung về hàng hóa trong giai đoạn này giảm.
2.3 Diễn biến cầu thị trường cà phê Việt Nam giai đoạn
2019 - 2023 và các yếu tố tác động
2.3.1 Tình hình cầu thị trường cà phê a. Tiêu thụ trong nước
Giai đoạn 2019 - 2023: Nhu cầu thị trường cà phê có sự biến động đáng kể.
Giai đoạn 2019 - 2021: Thị trường cà phê có sự thay đổi khi
dịch Covid - 19 diễn biến tác động nặng nề, ảnh hưởng đến xu hướng
tiêu dùng cà phê của nhiều người. Trong bối cảnh giãn cách xã hội,
cà phê được tiêu thụ nhiều hơn tại nhà, đặc biệt là nhóm đối tượng
trẻ tuổi cũng như là hướng đến phân khúc giá rẻ và trung bình để tiết
kiệm chi phí. Số lượng cửa hàng cà phê tăng lên đáng kể so với thị
trường trà sữa, cụ thể trong vòng 3 năm, cà phê tăng 290 của hàng
từ 816 lên 1106 gấp khoảng 2,7 lần cửa hàng trà sữa.
Xuất khẩu giảm mạnh khi nhu cầu cà phê nhân trên thế giới
không cao. Thời điểm này, nhiều doanh nghiệp chuyển hướng vào
trong nước nhằm thúc đẩy đầu ra cà phê cho Việt Nam.
Theo khảo sát gần đây đã chỉ ra, thực tế có tới 90% người sử
dụng thức uống này sau khi thức dậy. Theo tính toán tại Việt Nam,
trung bình mỗi người tiêu thụ khoảng 2kg cà phê/năm.
Biểu đồ 7: Số lượng cửa hàng cà phê và trà sữa giai đoạn 2019 - 2023 17