

















Preview text:
HỌC VIỆN NGÂN HÀNG Khoa kinh tế ▬▬▬ ▬▬▬ Bài tập lớn TÊN NHÓM: NHÓM 3
Các nhân tố ảnh hưởng đến Cung- Cầu về trà sữa
Giảng viên hướng dẫn: Lê Danh Lượng Danh sách nhóm:
1. Nguyễn Thị Quỳnh: 25A4022843
2. Nguyễn Thị Lệ: 25A4022801
3. Nguyễn Xuân Bách: 25A4022764
4. Nguyễn Thị Mai: 25A4022816
5. Bùi Hồng Ngọc: 25A4022828
6. Nguyễn Thu Phương: 25A4022839 5/2023 MỤC LỤC 1 I.
PHẦN MỞ ĐẦU..........................................................................................................................3 1.
Bối cảnh.......................................................................................................................................3 2.
Lí do chọn đề tài..........................................................................................................................3 3.
Mục tiêu nghiên cứu....................................................................................................................3 4.
Đối tượng và phạm vi nghiên cứu...............................................................................................3 II.
CƠ SỞ LÝ THUYẾT..................................................................................................................4
1.1. Một số khái niệm.........................................................................................................................4
1.1.1. Khái niệm về cung.......................................................................................................................4
1.1.2. Khái niệm về cầu.........................................................................................................................4
1.2. Các nhân tố ảnh hưởng đến cung – cầu......................................................................................4
1.2.1. Các nhân tố ảnh hưởng đến cung...............................................................................................4
1.2.2. Các nhân tố ảnh hưởng đến cầu.................................................................................................5
1.3. Mối quan hệ cung – cầu..............................................................................................................5 III.
NỘI DUNG..................................................................................................................................7 1.
Phân tích cung trà sữa nước ta giai đoạn 2019 – nay.................................................................7
1.1. Số lượng nhà sản xuất.................................................................................................................7
1.2. Tiến bộ công nghệ.......................................................................................................................8
1.3. Giá của các yếu tố đầu vào..........................................................................................................9
1.4. Chính sách chính phủ................................................................................................................10
1.5. Kỳ vọng của các nhà sản xuất...................................................................................................11 2.
Phân tích cầu trà sữa nước ta giai đoạn 2019 - nay..................................................................11
2.1. Số lượng người mua..................................................................................................................11
2.2. Thu nhập của người mua..........................................................................................................13
2.3. Hàng hóa liên quan...................................................................................................................14
2.4. Thị yếu người tiêu dùng............................................................................................................15
2.5. Kỳ vọng của người tiêu dùng....................................................................................................16 IV.
KẾT LUẬN...............................................................................................................................17 I. PHẦN MỞ ĐẦU 1. Bối cảnh 2
Để nói về thị trường trà sữa ở Việt Nam thì đây là một thị trường đầy “mỏ vàng”
cho các nhà đầu tư bởi vì lợi nhuận cao và doanh thu tốt mà nó đem lại. Theo đánh
giá của công ty nghiên cứu thị trường Euromonitor, thị trường trà sữa Việt Nam có
tốc độ tăng trưởng hằng nam khoảng 20% và đạt quy mô gầm 300 triệu USD từ 6
năm trước.Khảo sát của một công ty khác cũng đưa ra rằng: Tại Việt Nam, trà sữa
đang đứng thứ 2 về lượng người ưa chuộng sử dụng với 23% và hầu hết tập trung
vào đối tượng là nữ giới (53%) và người trẻ từ 15 đến 22 tuổi (35%). Chính vì lẽ
đó, mà thông qua báo cáo này nhóm chúng mình hy vọng có thể giúp mọi người có
cái nhìn cụ thể và khách quan hơn về thị trường đầy to lớn và tiềm năng này.
2. Lí do chọn đề tài
Thị trường trà sữa là một trong những thị trường phát triển nhanh nhất trong ngành
thức uống tại Việt Nam và trên toàn thế giới trong những năm gần dây. Tuy nhiên,
dặc trưng của thị trường này là sự cạnh tranh khóc liệt giữa các thương hiệu trà sữa
và sự thay đổi nhanh chóng của sở thích và nhu cầu của người tiêu dùng. Do đó,
tác động của cung – cầu đến thị trường trà sữa là rất quan trọng và có thể ảnh
hưởng lớn đến sự thành công của các thương hiệu trà sữa.
Nghiên cứu về tác động cung – cầu đến thị trường trà sữa có thể giúp các nhà kinh
doanh và quản lý thị trường hiểu rõ hơn về cơ chế hoạt động của thị trường, các
yếu tố ảnh hưởng đến sự cân bằng giữa cung và cầu, từ đó đưa ra các chiến lược
phù hợp để tối đa hóa lợi nhuận và cạnh tranh trong thị trường này. Nghiên cứu
này cũng có thể giúp cho các nhà kinh doanh hiểu rõ hơn về nhu cầu và sở thích
của khách hàng, từ đó phát triển các sản phẩm và dịch vụ phù hợp với thị hiếu của
khách hàng, đồng thời tăng cường quản lý chi phí và tối ưu hóa quy trình sản xuất
để giảm thiểu rủi ro và tăng cường hiệu quả kinh doanh.
3. Mục tiêu nghiên cứu
- Làm rõ về diễn biến cung, cầu, giá cả và các yếu tố tác động đến cung, cầu, giá cả
của thị trường trà sữa.
- Phân tích cấu trúc thị trường của trà sữa.
4. Đối tượng và phạm vi nghiên cứu
- Đối tượng nghiên cứu: thị trường trà sữa
- Phạm vi nghiên cứu: từ năm 2019 – nay II. CƠ SỞ LÝ THUYẾT
1.1. Một số khái niệm 3 1.1.1. Khái niệm về cung
- Cung (S): là số lượng hàng hóa/dịch vụ mà người bán muốn bán và có khả năng
bán ở các mức giá khác nhau trong một khoảng thời gian nhất định, với giả định
các yếu tố khác không đổi.
- Lượng cung (QS): là số lượng hàng hóa mà người bán muốn bán và có khả năng
bán ở một mức giá nhất định trong một khoảng thời gian nào đó (các yếu tố khác không đổi). 1.1.2. Khái niệm về cầu
- Cầu (D): là số lượng hàng hóa mà người mua muốn mua và có khả năng mua ở
các mức giá khác nhau trong một khoảng thời gian nhất định, với giả định các yếu tố khác không đổi.
- Lượng cầu (QD): là số lượng hàng hóa mà người mua muốn mua và có khả năng
mua ở một mức giá cụ thể trong một khoảng thời gian nhất định, với giả định các
yếu tố khác không đổi.
1.2. Các nhân tố ảnh hưởng đến cung – cầu
1.2.1. Các nhân tố ảnh hưởng đến cung
Giá của hàng hóa liên quan trong sản xuất
- Giá của hàng hóa bổ sung trong sản xuất tăng làm cho cung tăng và ngược lại.
- Giá của hàng hóa thay thế trong sản xuất tăng làm cho cung giảm và ngược lại. Công nghệ sản xuất
- Khi có công nghệ tiến bộ thì cung sẽ tăng
Giá cả của các yếu tố sản xuất
- Giá cả của yếu tố dầu vào tác động ngược chiều đến cung
Chính sách thuế và trợ cấp
- Thuế có tác động nghịch đến cung
- Trợ cấp có tác động thuận đến cung
Số lượng nhà sản xuất
- Thị trường càng nhiều người sản xuất, quy mô càng lớn, cung về sản phẩm càng tăng và ngược lại.
Kỳ vọng của người sản xuất
- Kỳ vọng của người sản xuất tăng làm cho cung giảm và ngược lại. 4
1.2.2. Các nhân tố ảnh hưởng đến cầu
Số lượng người tiêu dùng
- Thị trường càng nhiều người tiêu dùng thì cầu sẽ càng tăng và ngược lại Giá hàng hóa liên quan
- Y là hàng hóa thay thế cho X thì PY tăng sẽ làm cầu về X tăng
- Y là hàng hóa bổ sung cho X thì PY tăng sẽ làm cầu về X giảm Thu nhập
- Đối với hàng hóa thông thường, thu nhập tăng sẽ làm cầu tăng.
- Đối với hàng hóa thứ cấp, thu nhập tăng sẽ làm cầu giảm. Thị hiếu
- Thị hiếu của người tiêu dùng có tác động thuận chiều đến cầu
Kỳ vọng của người tiêu dùng
- Kỳ vọng về thu nhập tương lai tăng sẽ làm cho cầu hiện tại tăng.
- Kỳ vọng về giá PX tương lai tăng sẽ làm cầu hiện tại tăng.
1.3. Mối quan hệ cung – cầu
1.3.1. Cân bằng thị trường
Cơ chế dẫn đến cân bằng cung cầu
- Cân bằng thị trường là trạng thái mà ở đó không có sức ép làm cho giá và sản lượng thay đổi.
- Cân bằng thị trường xuất hiện tại mức giá mà tại đó lượng cung và lượng cầu bằng nhau.
- Phương pháp xác định điểm cân bằng: ghép các biểu cung – cầu lại với nhau;
hoặc giải các phương trình cung – cầu. Trạng thái dư thừa 5
- Trạng thái dư thừa là trạng thái mà tại đó lượng cung vượt quá lượng cầu (trong một khoảng thời gian). - P1 > PE Q S > QD Cung > Cầu Trạng thái dư thừa Trạng thái thiếu hụt
- Trạng thái thiếu hụt là trạng thái mà tại đó lượng cầu vượt quá lượng cung
(trong một khoảng thời gian). - P1 < PE Q S < QD Cung < Cầu Trạng thái thiếu hụt 6 III. NỘI DUNG
Tác động của cung – cầu đến giá cả và sản lượng của trà sữa 1.
Phân tích cung trà sữa nước ta giai đoạn 2019 – nay
1.1. Số lượng nhà sản xuất
Ở nước ta, trà sữa đã trở thành thức uống được ưa chuộng thứ 2 kể từ khi xuất hiện
vào năm 2000 và chiếm được sự yêu thích của đông đảo thực khách, đặc biệt là giới trẻ.
Thị trường trà sữa ngày càng phát triển mạnh mẽ bởi trà sữa là thức uống được giới
trẻ, học sinh, sinh viên ưa chuộng và dần trở nên phổ biến từ đó đối tượng khách
hàng cũng ngày càng mở rộng hơn. Các nhà đầu tư cho rằng việc mở quán trà sữa
ở việt Nam giống như trào lưu mới và hình thức kinh doanh này luôn tiềm ẩn nhiều rủi ro.
Theo như thống kê trên thị trường Việt Nam có hơn 100 thương hiệu trà sữa lớn
nhỏ cùng nhau tồn tại, phát triển và mở rộng như Dingtea, ToCo ToCo, Gong Cha,
Phúc Long… với khoảng hơn 1.500 địa điểm bán với nhiều mức giá dao động từ
25-60 nghìn đồng/ly. Thị trường càng rộng thì khả năng cung ứng càng cao từ đó
làm tăng lượng cung ứng của trà sữa. Ngoài ra để trà sữa ngày càng phổ biến hơn
thì nhiều thương hiệu đã bắt đầu với trà sữa đóng chai, cùng nhiều mẫu mã đa dạng và bắt mắt.
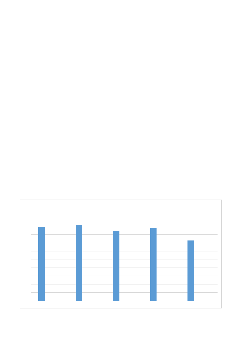
Số lượng cửa hàng trà sữa tại Việt Nam giai đoạn 2019 - 2023 500 450 400 350 300 250 200 150 100 50 0 2019 2020 2021 2022 2023 7
Số lượng cửa hàng trà sữa tại Việt Nam giai đoạn 2019 – 2023 có sự tăng giảm
không đồng đều. Theo đó, số lượng cửa hàng trà sữa giảm mạnh nhất trong giai
đoạn 2022-2023 với 93 cửa hàng đóng cửa. Những thương hiệu sở hữu nhiều chi
nhánh nhất bao gồm Bobapop, Tiger Sugar, Gong Cha, Koi Thé...
Thương hiệu sở hữu số lượng cửa hàng trà sữa nhiều nhất tại Việt Nam hiện tại là
Bobapop với 93 cửa hàng, theo dữ liệu từ Q&Me. Đứng ở các vị trí tiếp theo lần
lượt là Tiger Sugar (53 cửa hàng), Koi Thé (42 cửa hàng), The Alley (41 cửa
hàng), Gong Cha (40 cửa hàng) và Cha Go (27 cửa hàng).
Theo các chuyên gia ngành F&B nhận định, cơn sốt trà sữa đã có tín hiệu chững lại
trong 2 năm trở lại đây. Tuy nhiên, sự chững lại này cùng gần như trùng với đợt
dịch Covid-19, khi cả ngành F&B gặp rất nhiều khó khăn. Trà sữa đã qua cơn sốt
nhưng cũng đã trở thành một phần thói quen chọn đồ uống của người Việt. Vì vậy,
tiềm năng của thị trường vẫn còn rất lớn.
Điều này đã ảnh hưởng đến không ít đến cung trà sữa, số lượng nhà sản xuất trà
sữa giảm xuống dẫn đến cung trà sữa trên thị trường sẽ giảm đi, do đó người tiêu
dùng sẽ khó khăn hơn trong việc tìm kiếm các sản phẩm trà sữa phù hợp với nhu
cầu của họ. Tuy nhiên, trong thời gian gần đây, thị trường trà sữa đã tăng mạnh,
điều này đã làm cho rất nhiều của hàng được mở ra nhưng khi có nhiều nhà sản
xuất trà sữa, sự cạnh tranh giữa các thương hiệu sẽ tăng lên, đồng thời cũng sẽ có
nhiều sự lựa chọn cho người tiêu dùng. Điều này có thể dẫn đến một cung cấp trà
sữa phong phú và đa dạng hơn, giúp khách hàng có nhiều sự lựa chọn hơn để thỏa
mãn nhu cầu của mình. Tuy nhiên, nếu số lượng nhà sản xuất trà sữa quá nhiều,
cũng có thể dẫn đến sự cạnh tranh quá mức, dẫn đến tình trạng khó khăn trong việc
tiêu thụ sản phẩm và giảm giá trị của cả ngành. Do đó, số lượng nhà sản xuất trà
sữa nên được duy trì một cách hợp lý, đảm bảo sự đa dạng sản phẩm và sự cạnh
tranh lành mạnh trong ngành công nghiệp trà sữa.
1.2. Tiến bộ công nghệ
Dưới sự thúc đẩy của công nghệ cùng sự phát triển của khoa học kỹ thuật hiện đại,
trà sữa cũng đa dạng hoá nhiều hơn về mặt hình thức. Khi trà sữa ngày càng phổ
biến thì kì vọng và nhu cầu của thực khách ngày càng cao hơn. Có thể nói là ngành
công nghiệp này đang ở ngã ba đường, đối mặt với sự cạnh tranh quá mức và
luồng đầu tư ồ ạt của các thương hiệu trong và ngoài nước. Các nhà sản xuất cần
tìm kế sách, chiến lược để cải thiện sản phẩm, dịch vụ đáp ứng các tiêu chí lành
mạnh, ngon, rẻ, và phù hợp với nhu cầu của thực khách, bên canh đó việc sử dụng 8
công nghệ và máy móc vào sản xuất giúp cho năng suất lao động tăng và sức lao
động cho 1 sản phẩm giảm đi thì lượng cung ứng ra thị trường của hàng hoá sẽ
tăng lên làm tăng cung hàng hoá.
Như vậy để có thể ngày càng phát triển thì các ứng dụng công nghệ dây chuyền
sản xuất hàng loạt đã được sử dụng để tạo nên các loại trà sữa với nhiều hương vị
và mẫu mã tiện lợi hơn gần gũi với thực khách hơn từ đó làm tăng năng suất của
sản phẩm. Khi công nghệ ngày càng tiến bộ và được đưa vào sản xuất thì chi phí
sản xuất ra sản phẩm sẽ giảm đi, cùng 1 khoảng thời gian sẽ có thể tạo ra nhiều sản
phẩm có chất lượng như nhau dẫn đến tăng cung hàng hoá cung ứng ra thị trường.
Ngoài ra công nghệ còn được ứng dụng trong thanh toán hoá đơn, thay vì trả tiền
mặt thì thực khách còn có thể sử dụng nhiều cách khác để thanh toán như mã QR code, ví Momo, zalo pay,…
1.3. Giá của các yếu tố đầu vào
Thời điểm COVID-19 bùng phát và lan rộng trên toàn cầu, giá nhiều nguyên liệu
đã tăng liên tiếp, chi phí nguyên liệu đầu vào của nhiều doanh nghiệp theo đó cũng
tăng mạnh, làm ảnh hưởng đến tỷ suất lợi nhuận của các doanh nghiệp trong năm
2021. Do chịu các tác động trực tiếp từ yêu cầu giãn cách xã hội nên sức mua của
người tiêu dùng sụt giảm đáng kể. Nếu như trước đây nhiều người sẵn sàng chi tiêu
và chọn mua những đồ uống trà sữa cao cấp có mức giá từ 50.000đ-90.000đ, thì tại
thời điểm này họ thắt chặt chi tiêu, và lựa chọn những đồ uống có giá thành hợp lý hơn.
Sức mua của người tiêu dùng giảm dẫn đến doanh thu giảm, cộng thêm chi
phí vận hành, mặt bằng, lương cho nhân viên cao khiến nhiều doanh nghiệp “ đau
đầu” tìm cách tháo gỡ khó khăn.
- Đến tháng 7/2022 trà sữa tiếp tục dẫn đầu danh sách các loại đồ uống nhận được
nhiều lượt thảo luận nhất trên mạng xã hội, chiếm hơn 38% thảo luận của người
dùng. Thông tin trên khiến các thương hiệu trà sữa được cớ “sống lại” sống động hơn.
- Hiện nay trà sữa vẫn đứng đầu xu thế, là món đồ uống yêu thích của nhiều người,
đặc biệt là giới trẻ => Sức mua của người tiêu dùng tăng => doanh thu tăng. Nguyên liệu 9
- Trà: + trà khô thường được dùng trong pha chế trà sữa vì giúp giữ trọn hương
thơm, cho mùi vị đậm đà. Các loại trà thường được dùng trong pha chế trà sữa:
hồng trà( trà đen ), lục trà, trà ô long.
+ giá thành: khoảng 50.000-200.000VNĐ/kg
- Bột sữa: + bột sữa giúp làm tôn vị trà, bột sữa có thành phần giống kem topping
trang trí bánh gato. Các thương hiệu bột sữa quen thuộc như: kievit( Indonesia), B-
one( Thái Lan), S-creamer( Việt Nam)....
+ giá thành: 50.000-120.000 VNĐ
- Trân châu: + trân châu là loại topping quen thuộc nhất, nó tạo vị dai dai thích thú
cho người dùng khi thưởng thức đặc biệt rất phù hợp với trà sữa.
+ ngoài ra còn có các nguyên liệu khác như: thạch trái cây, thạch thủy tinh, pudding, siro trà sữa,...
+ giá thành: 70.000-150.000 VNĐ
1.4. Chính sách chính phủ
Mức thuế nhập khẩu trà sữa hiện nay đối với nguyên liệu không giống nhau, mỗi
mặt hàng sẽ có mức thuế khác nhau. Giao động từ 0 cho đến 50%.
Trong quá trình nhập khẩu nguyên liệu trà sữa về Việt Nam, hàng hóa nhập khẩu
phải chuẩn và hồ sơ giấy tờ phải đầy đủ về mặt pháp lý. Cơ quan nhà Nước làm rất
nghiêm ngặt về đầu vào nguyên liệu, không được phép nhập khẩu nguyên liệu
không rõ nguồn gốc, kém chất lượng và không đảm bảo về vấn đề an toàn thực phẩm.
Các loại thuế phải nộp: - Thuế môn bài:
+ Lệ phí môn bài sẽ được tính theo mức doanh thu mà chúng ta kê khai khi đăng
ký kinh doanh. Cụ thể tương ứng với các mức doanh thu:
Dưới 100 triệu/năm: miễn đóng thuế,
Từ 100-300 triệu/năm: đóng 300.00VNĐ/năm
Từ 300-500 triệu/năm: đóng 500.000VNĐ/năm
Trên 5000 triệu/năm: đóng 1.000.000VNĐ/năm
Có thể thấy lệ phí môn bài rất thấp, không đáng kể. Tuy nhiên, chủ quán cần đóng
thuế môn bài theo thời điểm quy định của pháp luật.
- Thuế GTGT (VAT) và thuế TNCN 10
+ Tỷ lệ tính thuế khoán là 4.5% ( bao gồm 3% thuế VAT và 1.5% thuế TNCN).
Doanh thu ấn định có thể được cơ quan chức năng dựa vào tình hình thực tế của
quán hoặc dựa theo doanh thu trung bình của các quán khác trong cùng khu vực
( đối với trường hợp quán trà sữa đang cần xem xét mới mở chưa hoạt động).
+ Mức thuế khoán có thể được điều chỉnh trong thời gian cửa hàng hoạt động. Như
đã đề cập bên trên, nếu doanh thu ấn định dưới 100 triệu/năm thì sẽ được miễn thuế.
1.5. Kỳ vọng của các nhà sản xuất
Từ những năm trước năm 2019 thì trà sữa là một cái tên “Hot” trong giới trẻ các
cửa hàng mọc lên ồ ạt, và các nhãn hàng, thương hiệu trà sữa nổi tiếng ra đời như:
Gong Cha, Trà Sữa, Ô Long, Koi Thé, The Coffee House, Phúc Long, Phúc Long
Tea &; Coffee, Sharetea, Xing Fu Tang, Ding Tea, Coco Fresh Tea &; Juice,...
Tính đến cuối năm 2020, Tốc độ tăng trưởng thị trường lên đến 200% có tới 4000-
5000 cửa hàng trà sữa trên toàn quốc.
Nhưng từ cuối năm 2020, dịch Covid bắt đầu hoành hoành thì các nhà sản xuất bi
quan rằng số lượng người mua hàng sẽ giảm đi đáng kể và các thương hiệu cạnh
tranh nhau khốc liệt, dẫn đến họ sẽ thu hẹp lại với nhau sản xuất dẫn đến lượng
cung giảm và đường cung dịch trái. Dẫn chứng cụ thể là sản lượng chỉ còn ¼ so
với gian đoạn đỉnh điểm trước đó.
Ngược lại, do các ông lớn trong dịch vụ vận chuyển giao hàng thực hiện chiến lược
kinh doanh giao đồ ăn thức uống tại nhà thì các cửa hàng nắm bắt thời cơ đó bắt
đầu đưa sản phẩm của mình nên các nền tảng giao hàng tại nhà. Dịch bệnh ngày
càng nghiêm trọng người dân không thể ra khỏi nhà nhưng trà sữa cũng đã trở
thành một thức uống không thể thiếu của giới trẻ vậy nên các nhà sản xuất lạc quan
rằng cầu trà sữa vẫn sẽ tăng trong thời gian tới, vậy nên họ thúc đẩy mở rộng sản
xuất sang kinh doanh online, lượng cung tăng lên và đường cung dịch phải. Đến
hiện tại, khi dịch bệnh đã được kiểm soát thì thức uống này vẫn không hề có xu hướng đi xuống. 2.
Phân tích cầu trà sữa nước ta giai đoạn 2019 - nay
2.1. Số lượng người mua 11
Lượng tiêu thụ trà sữa trên đầu người tăng dần từ nhóm người có thu nhập thấp
đến nhóm người có thu nhập cao và phổ biến nhất là ở các thành phố lớn. Theo báo
thanh niên cho thấy “Nghiên cứu chung của Momentum Works và Qlub
(Singapore) công bố người tiêu dùng Đông Nam Á chi 3,66 tỉ USD/ năm để mua
trà sữa. Trong đó người Việt Nam đứng thứ 3 với 362 triệu USD, tương đương với
8500 tỷ đồng trong năm 2021”. Số lượng giới tính nữ thích uống trà sữa áp đảo
hơn so với nam giới, chiếm 68,7% so với 31,3%. Giới tính 31% Nữ Nam 69%
Những người có thói quen thường xuyên uống trà sữa với mật độ gần như hàng
ngày đó là các bạn học sinh, sinh viên, dù giá một cốc trà sữa dao động từ từ
35.000-50.000 khá cao so với thu nhập họ kiếm được. Nhưng theo khảo sát thì số
người thích uống trà sữa phần lớn lại là họ (76%), còn lại là những người đi làm có
thu nhập chiếm ít hơn (24%). 12
2.2. Thu nhập của người mua
Thu nhập ảnh hưởng trực tiếp đến khả năng mua hàng của người tiêu dùng
Theo khảo sát về mức thu nhập hàng tháng của sinh viên HVNH cho thấy : -
Dưới 2 triệu/tháng : 36.7% -
2 triệu - 4 triệu/tháng : 56% -
Từ 4 triệu/ tháng trở lên : 7.3% 13
Mức thu nhập khoảng 2 triệu là phổ biến đối với các bạn sinh viên HVNH (chủ yếu
đền từ chu cấp gia đình và công việc làm thêm )
Với mức thu nhập trên nhu cầu chủ yếu về trà sữa chủ yếu với mức giá từ 20000- 50000đ/cốc
Sinh viên HVNH có mua trà sữa chủ yếu với mức giá từ 20000-50000đ/cốc.
Khi thu nhập tăng , hầu hết các sinh viên có nhu cầu về không đổi hoặc nhu cầu tăng
Khi thu nhập giảm thì đa số nhu cầu của sinh viên giảm , một số có nhu cầu không đổi 14
2.3. Hàng hóa liên quan
Khi giá hàng hóa thay đổi thì lượng cầu về trà sữa cũng thay đổi tùy vào tăng hay giảm giá TH1 : Tăng giá
Tăng dưới 10000/cốc, 80% sinh viên vẫn trung thành mua
Tăng trên 10000/cốc, có khoảng 63.1% sinh viên lựa chọn sẽ không mua hoặc mua ít hơn.
Giá tăng cầu giảm , sinh viên có xu hướng lựa chọn mua sản phẩm thay thế. TH2 : Giảm giá
Khi giá giảm dưới 10000/cốc, 87% sinh viên không thay đổi nhu cầu
Khi giá giảm trên 10000/cốc, 81% sinh viên sẽ mua thêm 3 cốc.
2.4. Thị yếu người tiêu dùng
Theo báo cáo về Xu hướng giao hàng thực phẩm và hàng hóa tại Việt Nam năm
2022 của Grab, thức uống được ưa chuộng nhất tại ứng dụng này là trà sữa với hai
năm liên tiếp giành ngôi vị cao nhất. Theo báo cáo, cứ mỗi một phút sẽ có hơn 20
ly trà sữa được bán ra vào nửa đầu năm 2021. Đây có thể xem là một con số không 15
quá kinh ngạc khi trà sữa dường như đã trở thành một loại đồ uống hàng đầu hiện nay.
Chưa dừng lại ở đó, theo báo cáo từ trang tin nổi tiếng của Singapore The Straits
Times về nghiên cứu mới nhất đã cho thấy, “cơn sốt” trà sữa trong những năm qua
trên khắp Đông Nam Á đã mang về doanh thu khổng lồ lên đến 3,7 tỷ đô la
USD/năm. Theo báo cáo này, người Việt cũng đã chi khoảng 362 triệu USD/năm
(tương đương khoảng 8.400 tỷ đồng) để uống trà sữa .
- Các yếu tố tác động đến lựa chọn tiêu dùng
Có rất nhiều yếu tố dễ dàng tác động đến quyết định tiêu dùng của khách hàng, suy
nghĩ, cảm nhận và các yếu tố từ môi trường bên ngoài đều có thể ảnh hưởng đến
quyết định mua sắm của người tiêu dùng. Khi ngày càng có nhiều sự lựa chọn trên
thị trường, các yếu tố tác động đến mua sắm cũng có sự thay đổi.
Theo khảo sát về các yếu tố ảnh hưởng đến quyết định mua trà sữa của sinh viên HVNH cho thấy:
Chất lượng, giá thành, hương vị của trà sữa là 3 yếu tố quan trọng nhất mà hầu hết
các bạn sinh viên quan tâm khi lựa chọn trà sữa. 3 yếu tố này chiếm lần lượt 75%; 64,6%; 61,9%. 16
2.5. Kỳ vọng của người tiêu dùng
Đi liền với thị hiếu là những kỳ vọng của người tiêu dùng trong thị trường nói
chung cũng như thị trường trà sữa Việt Nam nói riêng. Dưới đây là kết quả của
một cuộc khảo sát những lí do người tiêu dùng lựa chọn các cửa hàng
Có thể thấy được người tiêu dùng chọn các chuỗi cửa hàng bởi phần lớn thương
hiệu và hương vị sản phẩm, cửa hàng độc lập được yêu thích bởi không gian quán
cùng hương vị sản phẩm. Đối với những loại trà sữa ở phân khúc cao hơn như là
Koi Thé, The Alley,...người tiêu dùng kỳ vọng về một mức giá hợp lý hơn. Khi đó,
phần lớn người tiêu dùng Việt nam sẽ dễ dàng tiếp cận hơn với những nhãn hàng
này khi thu nhập của người Việt là chưa cao.
Trong bối cảnh Covid suốt 3 năm qua, những kỳ vọng này của người tiêu dùng vẫn
chưa đáp ứng được. Dịch bệnh ảnh hưởng không nhỏ đến thu nhập và hoạt động
sinh hoạt hàng ngày của người tiêu dùng. IV. KẾT LUẬN 17
Như vây, tác động cung – cầu đóng vai trò quan trọng đối với thị trường trà sữa.
Sự cân bằng giữa cung và cầu có thể ảnh hưởng đến lợi nhuận và thành công của
các thương hiệu trà sữa. Nếu cung vượt quá cầu, giá trà sữa có thể giảm, tuy nhiên
đồng thời cũng có thể dẫn đến sự cạnh tranh khốc liệt giữa các thương hiệu. Ngược
lại, nếu cầu vượt quá cung, giá trà sữa có thể tăng, nhưng cũng có thể dẫn đến sự
thiếu hụt nguyên liệu và sự không hài lòng của khách hàng.
Để tối đa hóa lợi nhuận trong thị trường trà sữa, các nhà kinh doanh cần hiểu rõ về
cơ chế hoạt động của thị trường và các yếu tố ảnh hưởng đến sự cân bằng giữa
cung và cầu. Họ cũng cần phát triển các sản phẩm và dịch vụ phù hợp với nhu cầu
và sở thích của khách hàng, tăng cường quản lý chi phí và tối ưu hóa quy trình sản
xuất để giảm thiểu rủi ro và tăng cường hiệu quả kinh doanh. 18