



















Preview text:
HỌC VIỆN NGÂN HÀNG
Khoa Kế Toán – Kiểm Toán 🙞🙜🕮 ----- 🙞 ----- 🙜 BÀI TẬP LỚN
Môn: Kế toán tài chính 3 Nhóm lớp: 05 (Thứ 2 ca3)
Giảng viên hướng dẫn: Ths. Nguyễn Thị Bình Dạng đề: D
Nhóm sinh viên thực hiện: 05
46.Nguyễn Hải Yến (SĐT:0865965825) 06.Phạm Ngọc Anh 08.Đỗ Linh Chi 13.Nguyễn Hoàng Hà 21.Nguyễn Thị Hòe 39.Lê Thị Thùy 45.Roãn Thị Hồng Vi
Hà Nội, 12 tháng 12 năm 2023
Báo cáo hoạt động nhóm
Phần I: Yêu cầu tình huống
Câu 1: Trình bày nội dung Thuyết minh về các loại rủi ro trong NHTM? Dựa trên các
thảo luận tại lớp, hãy phân tích khái quát các sự kiện, rủi ro dẫn đến sự đổ vỡ của SVB?
Câu 2: So sánh khái quát sự khác biệt về trình bày Báo cáo tài chính cơ bản của
NHTM và DN phi tài chính (có thể minh họa thông qua BCTC cụ thể).
Câu 3: Để hướng đến áp dụng chuẩn mực IFRS đối với công cụ tài chính, theo nhóm
cần hoàn thiện các điều kiện cơ bản nào?
Câu 4: Bài tập thảo luận Ngày 15/3/200X tại TCTD F có các nghiệp vụ kinh tế phát sinh sau:
1. Khoản cho vay của khách hàng C kỳ hạn 9 tháng, trả lãi theo định kỳ 3 tháng đến
hạn thanh toán gốc và lãi lần thứ 2, biết dư nợ gốc còn lại là 200tr, Lãi: 15% cho cả kỳ.
Tuy nhiên, do gặp khó khăn trong kinh doanh nên khách hàng không trả được, TCTD
F cho phép điều chỉnh kỳ hạn trả lãi. Khoản nợ này cần được chuyển vào nhóm 4 “Nợ
nghi ngờ”. NH đã hạch toán lãi cộng dồn dự thu 2 tháng.
2. KH đến tất toán sổ tiết kiệm bằng EUR, kỳ hạn 3 tháng (Đúng hạn). Biết số tiền gửi
10.000 EUR, lãi suất 5%, loại trả lãi sau. NH đã hạch toán dự trả 2 lần.
3. KH D đến tất toán tiền gửi tiết kiệm có kỳ hạn 6 tháng, gửi ngày 1/12/200X-1, lãi
suất 12%/năm, loại trả lãi sau. Biết lãi suất tiền gửi thanh toán không kỳ hạn đang
được NH quy định là 2%.
4. Khoản cho vay công ty G trước đây khách hàng không trả được Nợ và lãi đúng hạn,
được phân loại vào nhóm 3. Nay khách hàng đã trả đầy đủ gốc và lãi đến hạn, trong
đó gốc 350 triệu, lãi suất phát sinh là 23 triệu. Phần gốc còn lại là 100 triệu được
TCTD đánh giá là nợ tốt chuyển về nhóm 1.
5. Công ty K đến làm thủ tục xin mua 30.000 USD để thanh toán tiền hàng, các thủ
tục giấy tờ hợp lệ, NH đã thanh toán vào TK tiền gửi của công ty này.
6. Nhận được thông báo của Citibank NewYork chấp nhận chuyển đổi cho NH
300.000 USD sang EUR theo tỷ giá quy định.
Yêu cầu: Nhóm hãy phân tích, hạch toán các nghiệp vụ phát sinh tại NH này và trình
bày ngắn gọn tác động của các nghiệp vụ này? Nhóm có thể tự giả định các thông tin
còn thiếu trong mỗi tình huống
Phần II: Xử lý tình huống
Câu 1: Trình bày nội dung Thuyết minh về các loại rủi ro trong NHTM?
Dựa trên các thảo luận tại lớp, hãy phân tích khái quát các sự kiện, rủi ro dẫn
đến sự đổ vỡ của SVB? 1.1.
Nội dung thuyết minh về các loại rủi ro trong NHTM
Theo thông tư 210/2009/TT-BTC, các NHTM phải thực hiện thuyết minh đầy đủ
về các loại rủi ro phát sinh từ công cụ tài chính (bao gồm mức độ rủi ro và cách thức
phát sinh rủi ro; mục tiêu, chính sách, quy trình quản lý rủi ro và phương pháp sử
dụng để đo lường rủi ro; và những thay đổi của mức độ rủi ro, cách thức phát sinh rủi
ro, mục tiêu, chính sách, quy trình quản lý rủi ro và phương pháp sử dụng để đo lường
rủi ro so với kỳ trước...) để đảm bảo người sử dụng báo cáo tài chính đánh giá sự ảnh
hưởng của công cụ tài chính đến tình hình tài chính và kết quả kinh doanh của đơn vị;
đánh giá bản chất cũng như phạm vi của các rủi ro phát sinh từ công cụ tài chính và
cách thức quản trị rủi ro của đơn vị.
Thông tư 210/2009/TT-BTC yêu cầu cụ thể NHTM cần thuyết minh về 3 loại rủi
ro chính là: rủi ro tín dụng, rủi ro thanh khoản và rủi ro thị trường.
Theo định nghĩa của 41/2016/TT-NHNN:
-Rủi ro tín dụng (bao gồm rủi ro do khách hàng hoặc do đối tác) là rủi ro do
khách hàng/đối tác không thực hiện hoặc không có khả năng thực hiện một phần hoặc
toàn bộ nghĩa vụ trả nợ theo hợp đồng hoặc thỏa thuận với ngân hàng, chi nhánh ngân hàng nước ngoài.
-Rủi ro thanh khoản là rủi ro phát sinh do: (i) Ngân hàng không có khả năng
thực hiện các nghĩa vụ trả nợ khi đến hạn; hoặc (ii) Ngân hàng có khả năng thực hiện
nghĩa vụ trả nợ khi đến hạn nhưng phải trả chi phí cao hơn mức chi phí bình quân của
thị trường theo quy định nội bộ của ngân hàng.
-Rủi ro thị trường là rủi ro do biến động bất lợi của lãi suất, tỷ giá, giá chứng
khoán và giá hàng hóa trên thị trường. Rủi ro thị trường bao gồm: rủi ro lãi suất, rủi ro
tiền tệ và rủi ro thị trường khác.
+ Rủi ro lãi suất là rủi ro do biến động bất lợi của lãi suất trên thị trường đối
với giá trị của giấy tờ có giá, công cụ tài chính có lãi suất, sản phẩm phái sinh lãi suất
trên số kinh doanh của ngân hàng, chi nhánh ngân hàng nước ngoài.
+ Rủi ro tiền tệ là rủi ro mà giá trị của các công cụ tài chính bị biến động xuất
phát từ biến động tỷ giá.
+ Rủi ro thị trường khác (rủi ro giá cả khác): là rủi ro do biến động bất lợi của
giá hàng hóa trên thị trường đối với giá trị của sản phẩm phái sinh hàng hóa, giá trị
của sản phẩm trong giao dịch giao ngay chịu rủi ro giá hàng hóa của ngân hàng, chi
nhánh ngân hàng nước ngoài.
Nội dung về thuyết minh các loại rủi ro trong NHTM được quy định cụ thể trong
thông tư 210/2009/TT – BTC như sau:
-Đối với rủi ro tín dụng:
“1 - Đơn vị phải thuyết minh theo loại công cụ tài chính các thông tin sau:
a) Số liệu thể hiện trung thực nhất mức độ rủi ro tín dụng tối đa tại ngày báo cáo
không tính đến tài sản đảm bảo hay hỗ trợ tín dụng;
b) Mô tả về tài sản đảm bảo nắm giữ làm vật thế chấp và các loại hỗ trợ tín dụng;
c) Thông tin về chất lượng tín dụng của các tài sản tài chính chưa quá hạn hay chưa bị giảm giá; và
d) Giá trị ghi sổ của các tài sản tài chính đáng nhẽ ra bị quá hạn hoặc bị giảm giá
nhưng đã được đàm phán lại.
2 - Đối với tài sản tài chính đã quá hạn hoặc giảm giá, đơn vị phải thuyết minh những thông tin sau:
a) Phân tích tuổi nợ của các tài sản tài chính đã quá hạn nhưng không giảm giá tại ngày báo cáo;
b) Phân tích tài sản tài chính được đánh giá riêng biệt là có giảm giá trị tại ngày
báo cáo, bao gồm những nhân tố mà đơn vị sử dụng khi xem xét sự giảm giá trị của tài sản; và
c) Mô tả và ước tính về giá trị hợp lý của tài sản đảm bảo nắm giữ bởi đơn vị.
3 - Đối với Tài sản đảm bảo và các hình thức hỗ trợ tín dụng nhận được , đơn vị
phải thuyết minh các thông tin sau:
a) Bản chất và giá trị ghi sổ của tài sản thu được; và
b) Nếu các tài sản chưa sẵn sàng chuyển thành tiền mặt, chính sách của đơn vị về
việc thanh lý những tài sản đó hoặc việc sử dụng chúng trong hoạt động của đơn vị.”
-Đối với rủi ro thanh khoản:
Đơn vị phải thuyết minh các thông tin sau:
1 - Phân tích thời gian đáo hạn còn lại dựa theo hợp đồng của các khoản nợ phải
trả tài chính (Phân tích trạng thái thanh khoản thông qua báo cáo phân tích tài sản và
nguồn vốn theo kỳ đáo hạn thực tế tại thời điểm lập báo cáo tài chính); và
2 - Mô tả phương thức quản lý rủi ro thanh khoản tiềm tàng.
-Đối với rủi ro thị trường: Đơn vị phải thuyết minh và phân tích độ nhạy cảm
đối với mỗi loại rủi ro thị trường tại ngày báo cáo, chỉ rõ mức độ ảnh hưởng tới lãi, lỗ
và vốn chủ sở hữu của đơn vị bởi thay đổi trong các biến số rủi ro liên quan có khả
năng tồn tại tại ngày báo cáo; Các phương pháp và giả định được sử dụng trong phân
tích độ nhạy cảm và những thay đổi về phương pháp và giả định được sử dụng so với
kỳ trước, và lý do của sự thay đổi đó. + Rủi ro lãi suất:
●Trình bày lãi suất thực tế trung bình trên các khoản mục tiền tệ chủ yếu
theo các kỳ hạn và đồng tiền khác nhau.
●Trình bày mô hình đã sử dụng để đo lường, quản lý rủi ro lãi suất.
●Trình bày bảng phân tích tài sản, công nợ và các khoản mục ngoại bảng
theo kỳ định lại lãi suất thực tế tại thời điểm lập báo cáo tài chính. + Rủi ro tiền tệ:
●Trình bày chiến lược của TCTD trong quản lý rủi ro.
●Trình bày về tỷ giá của các loại ngoại tệ quan trọng tại thời điểm lập báo
cáo và dự báo của ngân hàng về tỷ giá các loại ngoại tệ này trong thời kỳ tới.
●Để đánh giá rủi ro này, ngân hàng cần phân loại tài sản và công nợ theo
loại tiền tệ được quy đổi sang VNĐ tại thời điểm lập báo cáo tài chính.
+ Rủi ro thị trường khác (rủi ro giá cả khác): Ngoại trừ các khoản mục tài sản,
công nợ đã được thuyết minh ở phần trên, TCTD trình bày về bổ sung các rủi ro giá cả
thị trường khác có mức độ rủi ro chiếm 5% lợi nhuận ròng hoặc giá trị khoản mục tài
sản, công nợ chiếm 5% tổng tài sản theo các chỉ tiêu sau:
●Loại tài sản/công nợ
●Giá trị tài sản/công nơ; giá gốc, giá thị trường tại ngày lập báo cáo
●Mô hình đo lường rủi ro sử dụng 1.2.
Sự đổ vỡ của ngân hàng SVB
-Giới thiệu: Silicon Valley Bank (SVB) là Ngân hàng con của Tập đoàn Tài
chính Silicon Valley, được thành lập vào năm 1983 tại Santa Clara, California, Hoa
Kỳ; là 1 trong 16 ngân hàng lớn nhất nước Mỹ, chiếm trên 0,9% tổng tài sản của khu
vực ngân hàng. Ngân hàng tập trung vào việc hỗ trợ các doanh nghiệp đổi mới và khởi
nghiệp ở các ngành công nghệ và khoa học sự sống. SVB đã cung cấp dịch vụ tài
chính cho khoảng một nửa các công ty về công nghệ và chăm sóc sức khỏe được hỗ
trợ bởi vốn đầu tư mạo hiểm tại Hoa Kỳ.
-Tóm tắt các sự kiện đã xảy ra:
+ Vào năm 2021, một cuộc đánh giá của FED đã phát hiện những điểm yếu
nghiêm trọng trong cách thức ngân hàng này quản trị rủi ro lớn.
+ Tháng 7-2022, SVB bị đánh giá là kém hiệu quả về quản trị và kiểm soát.
+ Đến đầu năm 2023, cuộc đánh giá của FED về sức mạnh quản trị rủi ro của
SVB đã xác định được thêm nhiều thiếu sót và điều đó báo hiệu ngày sụp đổ của ngân hàng này không còn xa.
+ Ngày 8/3/2023, SVB thông báo lỗ 1,8 tỷ USD sau khi phải bán các khoản
đầu tư chứng khoán có tổng giá trị 21 tỷ USD và ngân hàng này dự kiến phát hành
thêm 2,25 tỷ USD cổ phiếu để bù đắp thua lỗ.
+ Ngày 9/3/2023, khách hàng của SVB ồ ạt đến rút tiền, ước tính lượng tiền rút
ra khoảng 42 tỷ USD trong một ngày và cổ phiếu của SVB giảm tới 60%.
+ Ngày 10/3/2023, SVB phải thông báo rằng, họ không còn tiền mặt để khách hàng rút nữa.
-Nguyên nhân đổ vỡ của SVB: + Nguyên nhân khách quan:
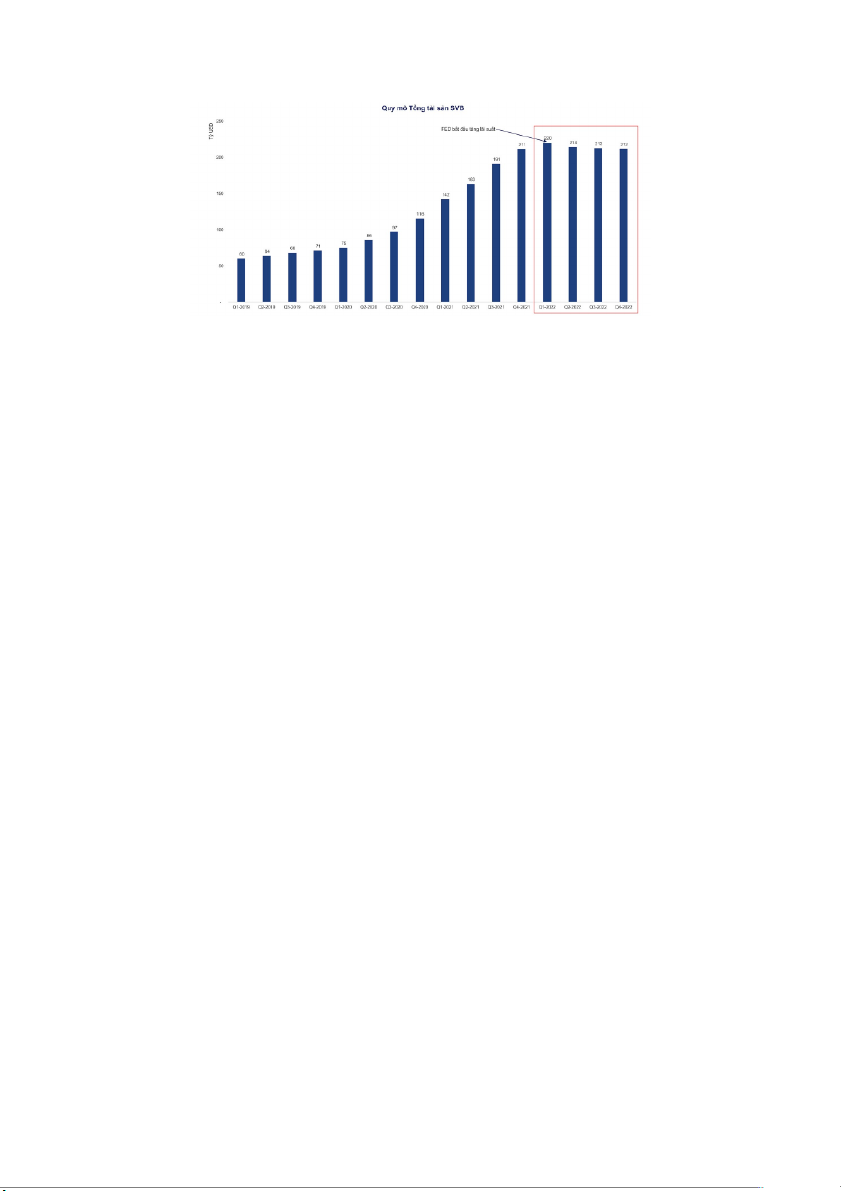
●Thị trường: Trong giai đoạn đại dịch COVID, từ năm 2019 – 2022, SVB
đã ghi nhận sự tăng trưởng kỷ lục trong tổng tài sản (TTS của SVB trong giai đoạn
này đã tăng hơn 3 lần). Những nhân tố góp phần vào sự tăng trưởng có thể kể đến
như: lãi suất thấp, các gói hỗ trợ của chính phủ và sự tăng trưởng nóng của các doanh
nghiệp công nghệ… đã khiến SVB sở hữu một lượng tiền mặt rất dồi dào. Đồng thời,
trong năm 2021, các sự kiện tạo tính thanh khoản gia tăng mạnh mẽ (như IPO, huy
động vốn SPAC, đầu tư vào các quỹ đầu tư mạo hiểm, mua bán và sáp nhập…). Trong
khi các sự kiện trên ảnh hưởng đến toàn bộ ngành tài chính, thì đối với SVB, một
ngân hàng tập trung chủ yếu vào vốn đầu tư mạo hiểm và khách hàng là các công ty
khởi nghiệp, lại nhận được những tác động tích cực “khổng lồ”. Trong năm 2021
SBV nhận được một lượng lớn tiền gửi từ các startup công nghệ và đầu tư mạo hiểm.
Lượng tiền tăng từ 60 tỷ USD vào đầu năm 2020 lên đến hơn 190 tỷ USD vào đầu năm 2022.
Hình 1.2. 1: Quy mô tổng tài sản của SVB từ 2019 - 2022
Tuy nhiên rủi ro bắt đầu xảy ra với SVB khi lạm phát tăng cao. Nguyên nhân
lạm phát tăng: Thứ nhất, do ảnh hưởng bởi đại dịch Covid-19, tình hình kinh tế ngưng
trệ khiến Chính phủ Mỹ phải “bơm” tiền trợ cấp. Thứ hai, xung đột Nga - Ukraine làm
giá năng lượng tăng cao. Để đối phó với lạm phát tăng kỷ lục, từ tháng 3/2022, Cục
Dự trữ Liên bang Mỹ (FED) đã tăng lãi suất, từ 0% đến 4,75%. Điều này khiến hàng
loạt startup công nghệ cũng như đầu tư mạo hiểm mà SBV tài trợ vốn rơi vào khó
khăn. Lãi suất tăng cao trong khi nền kinh tế khó khăn nên nhiều công ty khởi nghiệp
muốn huy động vốn bằng cách niêm yết lên sàn chứng khoán nhưng phần lớn là
không thành công. Bên cạnh đó, nhiều công ty cạn kiệt tiền sau khi trải qua đại dịch
Covid-19. Cuối cùng, họ chỉ còn cách rút tiền mà họ gửi ở SVB để trả lương cho nhân
viên và các chi phí hoạt động khác.
●Chính phủ không giải cứu: Sau khi SVB sụp đổ, Tổng công ty Bảo hiểm
Tiền gửi Liên bang (FDIC), Bộ Ngân khố Hoa Kỳ và FED đã ra thông báo rằng họ sẽ
bảo vệ tất cả các người gửi tiền ở SVB. Đồng thời, FED còn tiến hành thực hiện thêm
một số hành động như thành lập “Chương trình tài trợ có kỳ hạn ngân hàng (BTFP)”
nhằm đảm bảo các ngân hàng có thể đáp ứng nhu cầu của tất cả khách hàng gửi tiền,
hỗ trợ các doanh nghiệp và nhiều gia đình Mỹ….
Tuy nhiên, tuyên bố chung của các cơ quan quản lý đều cho biết sẽ không có
gói cứu trợ nào dành cho SVB hay các cổ đông của họ. Điều này có thể giải thích được do các lý do sau:
Trước tiên, SVB có nhóm đối tượng khách hàng đặc biệt nên sự sụp đổ của nó
không ảnh hưởng nhiều đến nền kinh tế nói chung. Nhưng người bị ảnh hưởng mạnh
nhất là các công ty công nghệ và khởi nghiệp vì họ gửi tiền ở SVB mà không rút được
sẽ không có chi phí duy trì hoạt động cho công ty. Các loại doanh nghiệp khác thì ít bị
ảnh hưởng hơn và khả năng khủng hoảng kinh tế như năm 2008 được dự đoán là ít xảy ra.
Tiếp đến, tổng tài sản của SVB đến hết năm 2022 là 212 tỉ USD, đây là ngân
hàng cỡ vừa, nếu so sánh ngân hàng Lehman Brothers hơn 600 tỉ USD phá sản năm
2008. Phạm vi hoạt động tập trung vào công nghệ, startup ở thung lũng Silicon nên sẽ
không có tác động domino lên hệ thống ngân hàng ở Mỹ. + Nguyên nhân chủ quan:
●Tệp khách hàng: Khách hàng của SVB chỉ tập chung ở một số lĩnh vực
nhất định. Mọi hoạt động huy động, cho vay, đầu tư… phần lớn đều diễn ra với nhóm khách hàng này.
Khoảng 91% danh mục cho vay trị giá 74 tỷ USD của SVB là dành cho các
quỹ đầu tư mạo hiểm, quỹ đầu tư tư nhân, các công ty công nghệ, khoa học đời sống,
chăm sóc sức khỏe và cho các cá nhân có giá trị tài sản ròng cao đang điều hành và
đầu tư vào các quỹ này ở Thung lũng Silicon. Tỷ lệ huy động từ nhóm này còn cao
hơn nữa - xấp xỉ 100%. Bình quân số dư tiền gửi/khách hàng là 4,2 triệu USD. Số dư
được bảo hiểm chỉ 250.000 USD. Kết quả là trong 173 tỷ USD tiền gửi có tận 152 tỷ
USD không được Công ty bảo hiểm FDIC bảo hiểm. Những khách hàng được bảo
hiểm toàn bộ chỉ gửi có 4,8 tỷ USD, mức độ cô đặc rất cao.
Nhóm khách hàng của SVB thuộc những lĩnh vực được đánh giá có rủi ro cao
và phụ thuộc nhiều vào chu kỳ kinh tế. Khi chính sách tiền tệ thắt chặt được thực hiện,
nhóm khách hàng này bị ảnh hưởng rất nghiêm trọng - họ không kiếm đủ dòng tiền
nuôi sống mình cũng như trả nợ cho ngân hàng.
●Loại TSTC đầu tư: Tỷ lệ dư tín dụng trên số vốn huy động của SVB
(Loan-to-Deposit) khá thấp, nên phần lớn tiền gửi còn dư được SVB đầu tư vào các
chứng khoán có thu nhập cố định như như TPCP, Tín phiếu Kho bạc, MBS, CMBS,
… Danh mục tài sản đầu của SVB được chia thành hai nhóm: Chứng khoán sẵn sàng
để bán (AFS) và chứng khoán nắm giữ đến ngày đáo hạn (HTM). Chứng khoán AFS
được mua để cung cấp thanh khoản trong ngắn hạn còn chứng khoán HTM để thu lợi
nhuận về trong thời gian dài.
Dựa theo số liệu trên BCTC của SVB năm 2021, giá trị của các chứng khoán
AFS vào cuối năm là 27 tỷ USD với mức lãi suất bình quân là 1,17%, trong khi giá trị
của các chứng khoán HTM là 98 tỷ đô la với mức lãi suất bình quân là 1,64%. So với
lãi suất của tín phiếu kho bạc có kỳ hạn 1 năm vào khoảng 0,10%, thì lãi suất thu được
từ các chứng khoán này đã tạo ra thu nhập ròng đáng kể cho SVB trong năm 2021 .
Tuy nhiên, đối diện với việc tăng lãi suất chưa từng có vào năm 2022, việc SVB nắm
giữ một lượng lớn chứng khoán nợ như vậy đã dẫn đến những thua lỗ nặng nề.
SVB ghi nhận các chứng khoán AFS “theo giá trị hợp lý với sự thay đổi trong
giá trị hợp lý được ghi nhận là lãi/lỗ chưa thực hiện trong một bộ phận riêng của vốn
chủ sở hữu”, trong khi các chứng khoán HTM “được ghi nhận theo giá trị phân bổ mà
không điều chỉnh cho sự thay đổi trong giá trị hợp lý”. Cuối năm 2022, trong 26 tỷ
USD chứng khoán AFS mà SVB nắm giữ đã ghi nhận được khoảng 2,5 tỷ USD chưa
thực hiện (chiếm tới 15% tổng vốn chủ sở hữu); trong 91 tỷ USD chứng khoán HTM
mà SVB nắm giữ (chiếm 43% tổng tài sản) khoản lỗ chưa thực hiện được tính toán lên
tới hơn 15 tỷ USD (chiếm tới hơn 90% tổng vốn chủ sở hữu). Tuy nhiên, những khoản
lãi/lỗ chưa thực hiện từ các chứng khoán HTM do biến động thị trường không được ghi nhận lại trên BCTC.
Hình 1.2. 2: Giá trị của các loại CKĐT của SVB ●Quản lý yếu kém
Vào năm 2021, FED đã phát hiện những điểm yếu nghiêm trọng trong cách
SVB xử lý các rủi ro. Các giám sát viên tại FED San Francisco đã đưa ra 6 cảnh báo,
được gọi là “các vấn đề cần chú ý” và “các vấn đề cần chú ý ngay lập tức”, cho thấy
công ty đang làm rất tệ trong việc đảm bảo sẽ có đủ tiền mặt lưu động. Song, SVB
không hề lấp những lỗ hổng được chỉ ra. Đến tháng 7.2022, SVB đã được đánh giá
giám sát đầy đủ và cuối cùng bị đánh giá là kém hiệu quả về quản trị và kiểm soát.
Theo Báo cáo hàng năm của SVB năm 2021, SVB không có một ủy ban quản
lý rủi ro riêng biệt mà thay vào đó, quản lý rủi ro được xử lý bởi Ủy ban Quản lý Tài
sản và Nợ. Không chỉ vậy, sau khi cựu CRO (Giám đốc quản trị rủi ro) của SVB đột
ngột từ chức vào tháng 4/2022. Sau đó cả năm, SVB không tuyển người thay thế.
SVB tích cực tìm cách để không được đưa vào nhóm “ngân hàng quan trọng
ảnh hưởng tầm hệ thống” vốn phải tuân thủ chặt các chuẩn mực khắt khe về thanh
khoản như Liquidity Coverage Ratio (Hệ số chi trả nhanh - LCR) và Net Stable
Funding Ratio (Chỉ số nguồn vốn ổn định ròng - NSFR). Chuẩn mực LCR yêu cầu
ngân hàng nắm giữ tài sản thanh khoản siêu cao đảm bảo khả năng chi trả cộng dồn
cho 30 ngày. NSFR yêu cầu các ngân hàng phải có nguồn vốn dài hạn, ổn định để
giảm rủi ro thanh khoản khi tiền đột ngột bị rút đi. ●Marketing yếu kém
Sự hoảng loạn của đám đông đã đẩy nhanh hơn quá trình đưa ngân hàng này
tới bờ vực phá sản. SVB ra thông báo về tình trạng khó khăn của mình cùng thời điểm
với Ngân hàng Silvergate (một trong những ngân hàng cho vay tiền mã hóa lớn nhất)
công bố ngừng hoạt động. Điều này khiến cho tâm lý bi quan về hoạt động của SVB
tăng mạnh. Trong thông cáo báo chí đưa ra, SVB chỉ đề cập đến các khó khăn mà
hoàn toàn thiếu đi sự giải thích và trấn an công chúng về tình trạng tài chính của mình.
-Sai sót trong chiến lược đầu tư của SVB và tác động:
+ Rủi ro tín dụng: Phần lớn danh mục cho vay của SVB là dành cho các quỹ
đầu tư mạo hiểm, quỹ đầu tư tư nhân, các công ty khởi nghiệp trong lĩnh vực công
nghệ, khoa học đời sống, chăm sóc sức khỏe… Đây đều là những lĩnh vực được đánh
giá có rủi ro cao và phụ thuộc nhiều vào chu kỳ kinh tế. Vì không phân tán rủi ro, tập
trung phần lớn vào một nhóm đối tượng khách hàng là doanh nghiệp trong một lĩnh
vực nhất định, nên khi lĩnh vực đó xảy ra suy thoái thì mức độ ảnh hưởng đến SVB vô cùng nghiêm trọng.
Hình 1.2. 3: Cơ cấu cho vay của SVB năm 2022
Sau “bong bóng tăng trường” từ 2019 - 2021, sang đến năm 2022 trước bối cảnh
suy thoái của nền kinh tế, hàng loạt startup công nghệ cũng như đầu tư mạo hiểm mà
SBV tài trợ vốn rơi vào khó khăn, khiến khả năng họ không thực hiện được một phần
hay toàn bộ nghĩa vụ trả nợ cho SVB trở nên vô cùng lớn.
+ Rủi ro thanh khoản: Đối tượng khách hàng chủ yếu của SVB là các startup
nhưng các start-up (khi cần vốn thường lựa chọn gọi vốn hơn là vay ngân hàng chính)
nên tỉ lệ cho vay của SVB thường tương đối thấp. SVB đã sử dụng phần lớn lượng
tiền gửi còn lại để đầu tư vào chứng khoán dài hạn với hy vọng sẽ thu lợi nhuận cao.
Do khách hàng hàng chủ yếu là các doanh nghiệp khởi nghiệp với nhu cầu vốn không
ổn định nên tiền gửi tại SVB chủ yếu là tiền gửi không kỳ hạn. Năm 2021, với trên
95% tổng tiền gửi tại SVB là tiền gửi không kỳ hạn và 90% tiền gửi vượt giới hạn bảo
hiểm 250.000 USD theo quy định của FDIC. Vào thời điểm cuối năm 2022, có tới
96% trong số 173 tỉ USD tiền gửi là tiền gửi không bảo đảm. Việc đầu tư phần lớn
vốn tiền gửi (chủ yếu là tiền gửi không kỳ hạn) vào trái phiếu dài hạn đã khóa chặt
khả năng thanh khoản của SVB, nếu khách hàng đồng loạt rút tiền ra NH, SVB sẽ
không đủ khả năng trả nợ và dẫn đến nguy cơ phá sản.
Khi lãi suất tăng mạnh vào năm 2022, nhiều công ty khởi nghiệp không được
niêm yết trên sàn chứng khoán, nhiều công ty cạn kiệt tiền sau khi trải qua đại dịch
Covid-19… Cuối cùng, họ chỉ còn cách rút tiền mà họ gửi ở SVB để trả lương cho
nhân viên và các chi phí hoạt động khác. Lúc này rủi ro của việc đem tiền gửi ngắn
hạn đi đầu tư dài hạn đã chính thức lộ diện. Làn sóng rút tiền gửi ồ ạt của các nhà đầu
tư tập trung đã kích hoạt sự sụp đổ của SVB, gây áp lực lên thanh khoản của NH này.
Để thanh toán cho khách hàng, SVB đã phải bán đi các TP dài hạn tuy nhiên vẫn
không đủ để trả nợ.
Hình 1.2. 4: Cơ cấu kinh doanh của SVB từ năm 2019 - 2022 + Rủi ro thị trường:
●Rủi ro lãi suất: SVB cho vay 35% tổng tài sản (43% huy động), 60%
tổng tài sản đầu tư vào chứng khoán lãi suất cố định với 76%, trong số đó là HTM
(trái phiếu nắm giữ đến ngày đáo hạn). Chênh lệch kỳ hạn lãi suất là 5 năm. SVB vô
cùng nhạy lãi suất do chênh lệch kỳ hạn lớn tạo đòn bẩy dài.
Và khi Fed tăng lãi suất quá nhanh và mạnh (để chống lạm phát lên cao kỷ lục
40 năm), từ tháng 3/2022 đến tháng 2/2023, Fed đã 8 lần nâng lãi suất, với tổng mức
tăng 450 điểm (từ 0-0,25% lên 4,5-4,75%/năm) các danh mục đầu tư tại SVB đã bị ảnh hưởng nặng nề.
Hình 1.2. 5: Biến động lãi suất các danh mục đầu tư của SVB từ năm 2019 - 2022
Tính đến cuối năm 2022, trong 26 tỷ USD chứng khoán AFS mà SVB nắm giữ
đã ghi nhận được khoảng 2,5 tỷ đô la chưa thực hiện (chiếm tới 15% tổng vốn chủ sở
hữu SVB); trong 91 tỷ USD chứng khoán HTM SVB nắm giữ (chiếm 43% tổng tài
sản của ngân hàng) khoản lỗ chưa thực hiện lên tới 15 tỷ USD (chiếm 90% tổng vốn chủ sở hữu).
Và khi làn sóng rút tiền của khách hàng ồ ạt diễn ra, SVB phải bán bớt trái phiếu
để lấy tiền cho khách hàng rút. Nhưng SVB đã mua trái phiếu kỳ hạn 10 năm của
Chính phủ lúc lãi suất thấp chỉ 1,79%, song ở thời điểm đó, lãi suất trái phiếu đã tăng
lên tới 3,9%. Điều này khiến SVB chỉ bán có 21 tỷ USD trái phiếu đã lỗ 1,8 tỷ USD.
Thực tế, SVB mua tổng cộng 128 tỷ USD trái phiếu nên lỗ là rất lớn.
Câu 2: So sánh khái quát sự khác biệt về trình bày Báo cáo tài chính cơ bản của
NHTM và DN phi tài chính (có thể minh họa thông qua BCTC cụ thể). I- Các khái niệm
1. Ngân hàng thương mại
Là loại hình ngân hàng được thực hiện tất cả các hoạt động ngân hàng và các hoạt
động kinh doanh khác theo quy định của Luật các tổ chức tín dụng nhằm mục tiêu lợi nhuận.
2. Doanh nghiệp phi tài chính
Theo định nghĩa của oecd-ilibrary.org, các doanh nghiệp phi tài chính chịu trách nhiệm
về một phần lớn hoạt động kinh tế ở hầu hết các nền kinh tế tiên tiến. Các doanh
nghiệp phi tài chính sản xuất hàng hoá và dịch vụ, đầu tư và sử dụng một lượng lớn lực
lượng lao động của đất nước.
3. Báo cáo tài chính
Báo cáo tài chính là những báo cáo được lập dựa vào phương pháp kể toàn tổng hợp số
liệu từ các sổ sách kế toán, theo các chỉ tiêu tài chính phát sinh tại những thời điểm
hoặc thời kỳ nhất định. Các báo cáo tài chính phản ánh một cách hệ thống tình hình tài
sản của đơn vị tại những thời điểm, kết quả hoạt động kinh doanh và tình hình sử dụng
vốn trong các thời kỳ nhất định, đồng thời được giải trình, giúp cho các đối tượng sử
dụng thông tin tài chính nhận biết được thực trạng tài chính, tình hình sản xuất kinh
doanh của đơn vị để ra các quyết định phù hợp.
Hệ thống báo cáo tài chính nước ta bao gồm:
- Bảng cân đối kế toán
- Báo cáo kết quả hoạt động kinh doanh
- Báo cáo lưu chuyển tiền tệ
- Bản thuyết minh các báo cáo tài chính
II. Sự khác biệt về trình bày Báo cáo tài chính cơ bản của Ngân hàng thương mại
và Doanh nghiệp phi tài chính.
Bảng cân đối kế toán của doanh nghiệp cũng như của ngân hàng thương mại đều phản
ánh chung một nội dung, đó là tình hình tài sản cũng như là nguồn hình thành tài sản
đó của doanh nghiệp (hay ngân hàng) tại một thời điểm nhất định (thường là cuối
kỳ kế toán). Tuy nhiên, giữa Báo cáo tài chính của Doanh nghiệp và của Ngân hàng
thương mại có một số khác biệt nhất định sau.
VỀ BẢNG CÂN ĐỐI KẾ TOÁN (CĐKT)
A. PHẦN TÀI SẢN
Giống như trong bảng cân đối kế toán của doanh nghiệp, phần tài sản trong bảng cân
đối kế toán của ngân hàng phản ánh toàn bộ giá trị tài sản hiện có của ngân
hàng thương mại vào thời điểm báo cáo. Sở dĩ không trình bày phần tài sản của ngân
hàng thành tài sản ngắn hạn và tài sản dài hạn là vì phần lớn tài sản của ngân hàng tồn
tại dưới dạng tiền có tính thanh khoản rất cao, việc sử dụng không gặp một hạn chế
nào có thể thực hiện hoặc thanh toán trong tương lai gần.
BẢNG CĐKT NGÂN HÀNG
BẢNG CĐKT DOANH NGHIỆP PHI THƯƠNG MẠI TÀI CHÍNH - Khoản mục tiền: - Khoản mục tiền:
Tiền mặt, vàng bạc, đá quý ❖Tiền
❖Các khoản tương đương tiền ❖Tiền gửi tại NHNN
❖Tiền, vàng gửi tại các tổ chức
tín dụng và cho vay các tổ chức tín dụng khác
+Việc phân biệt số dư tiền gửi của
ngân hàng tại các ngân hàng khác và tại
các đơn vị khác trên thị trường tiền tệ là
cần thiết để đánh giá mối liên hệ và sự
độc lập của ngân hàng này với ngân
hàng khác và với thị trường tiền tệ.
- Khoản mục cho vay: sinh lời từ cho vay - Khoản mục phải thu khách hàng: Hình
các tổ chức tín dụng, cho vay doanh thức bán chịu cho khách hàng làm xuất
nghiệp, khoán kinh doanh, chứng dùng và hiện Khoản mục phải thu khách hàng
cho vay kinh doanh với mục đích cho vay cũng là hoạt động tín dụng của doanh
cá nhân: cho vay tiêu sinh lời.
nghiệp (Giống Tín dụng thương mại)
- Khoản mục các công cụ tài chính phái Không có khoản mục này
sinh và các tài sản tài chính khác. Không có khoản mục này
- Khoản mục hàng tồn kho
- Khoản mục bất động sản đầu tư
- Khoản mục chứng khoán: Thành phần - Khoản mục các khoản đầu tư tài chính
chứng khoán đầu tư với mục đích thanh ngắn hạn. khoản và sinh lời.
- Khoản mục các khoản đầu tư tài chính dài hạn
- Khoản mục tài sản cố định (bao gồm tài - Khoản mục tài sản cố định
sản cố định hữu hình và vô hình)
- Khoản mục tài sản khác: góp vốn, đầu - Khoản mục tài sản ngắn hạn khác
tư dài hạn, TSCĐ, các khoản phải các - Khoản mục tài sản dài hạn khác
khoản lãi, phí phải thu, tài sản thuế thu
nhập doanh nghiệp hoãn lại.
B. PHẦN NGUỒN VỐN
Giống như phần nguồn vốn trong bảng cân đối kế toán của doanh nghiệp, phần nguồn
vốn trong bảng cân đối kế toán của ngân hàng cũng phản ánh nguồn hình thành tài sản
hiện có vào thời điểm lập báo cáo của ngân hàng thương mại, được chia thành nợ phải
trả và nguồn vốn chủ sở hữu, qua đó nhằm đánh giá khả năng huy động vốn của ngân hàng.
Riêng phần nợ phải trả trong bảng cân đối kế toán của ngân hàng sẽ không chia thành
nợ phải trả ngắn hạn và nợ phải trả dài hạn giống như trong bảng cân đối kế toán của
doanh nghiệp. Nguyên do là vì phần lớn nợ phải trả của ngân hàng đều có thể thực
hiện hay thanh toán trong thời gian gần.
BẢNG CĐKT NGÂN HÀNG
BẢNG CĐKT DOANH NGHIỆP PHI THƯƠNG MẠI TÀI CHÍNH
- Khoản mục nợ phải trả:
- Khoản mục nợ phải trả: ❖Nợ ngắn hạn
Tiền gửi khách hàng: Tiền gửi thanh ❖Nợ dài hạn
toàn, tiền gửi tiết kiệm, tiền gửi kỳ hạn,
tiền gửi khác, Tiền gửi và vay các TCTD
khác, Vốn tài trợ, ủy thác đầu tư, Phát hành giấy tờ có giá
- Khoản mục vốn chủ sở hữu:Vốn điều
- Khoản mục vốn chủ sở hữu:
lệ, thặng dư vốn cổ phần, các quỹ của
❖Vốn góp chủ sở hữu
ngân hàng, lợi nhuận giữ lại
❖Thặng dư vốn cổ phần ❖Cổ phiếu quỹ ❖Các quỹ
❖Lợi nhuận chưa phân phối
Ngoài ra trong bảng cân đối kế toán của ngân hàng còn phải trình bày thêm phần nợ
tiềm tàng và các cam kết tín dụng, cam kết khác. Nội dung và giá trị các nghĩa vụ nợ
tiềm ẩn và các cam kết được trình bày ngoài bảng cân đối kế toán. C. PHẦN NGOẠI BẢNG
BẢNG CĐKT NGÂN HÀNG
BẢNG CĐKT DOANH NGHIỆP PHI THƯƠNG MẠI TÀI CHÍNH
Các khoản tín dụng gián tiếp như: bảo
Phản ánh những tài sản hiện có ở doanh
lãnh nợ, bảo lãnh thanh toán, thư tín
nghiệp nhưng không thuộc quyền sở hữu
dụng, các nghĩa vụ nợ tiềm ẩn liên quan
hoặc kiểm soát lâu dài của doanh nghiệp
đến các nghiệp vụ kinh tế như: bảo lãnh như:
dự thầu, bảo lãnh thực hiện hợp đồng,..
- Tài sản thuê ngoài; Vật tư, hàng hóa
các nghĩa vụ nợ tiềm ẩn ngắn hạn phát
nhận giữ hộ, nhận gia công; Hàng hóa
sinh từ việc sử dụng hàng hóa giao nhận nhận bán hộ, nhận ký gửi.
là tài sản đảm bảo, các cam kết bảo lãnh Phản ánh một số chỉ tiêu kinh tế đã được
phát hành giấy tờ có giá.
phản ánh ở các khoản trong Bảng cân đối
Các cam kết của ngân hàng với khách
kế toán, nhưng cần theo dõi để phục vụ
hàng trong việc thực hiện các giao dịch yêu cầu quản lý như:
trong tương lai như: các hợp đồng giao
- Nợ khó đòi đã xử lý; Ngoại tệ các loại
dịch lãi suất, hợp đồng giao dịch ngoại
(chi tiết theo nguyên tệ); Dự toán chi sự tệ,... nghiệp.
Phần ngoại bảng được chuyển qua theo
dõi tại Thuyết minh BCTC đối với doanh
nghiệp áp dụng Thông tư 200/2014.
Phần ngoại bảng được giữ nguyên theo
dõi riêng đối với doanh nghiệp vừa và nhỏ theo QĐ 48/2006.
VỀ BÁO CÁO KẾT QUẢ HOẠT ĐỘNG KINH DOANH (BCKQHĐ):
Báo cáo KQHĐ của ngân hàng và doanh nghiệp phi tài chính đều gồm 2 phần là: 1. Phản ánh lãi, lỗ.
2. Tình hình thực hiện nghĩa vụ với Nhà nước.
Tuy nhiên, báo cáo KQHĐ của ngân hàng và doanh nghiệp phi tài chính khác nhau ở
các khoản mục ở phần 1. Cụ thể: BÁO CÁO KQHĐ CỦA BÁO CÁO KQHĐ CỦA
NGÂN HÀNG THƯƠNG MẠI DN PHI TÀI CHÍNH
Thu lãi: tiền lãi thu được từ hoạt động Doanh thu thuần: Doanh thu bao gồm:
cho vay, từ các hợp đồng repo... Chiếm tỷ Doanh thu bán hàng hóa dịch vụ, doanh
trọng lớn trong tổng nguồn thu, tính rủi thu tài chính, các khoản giảm trừ doanh
ro cao, phụ thuộc nhiều vào biến động lãi thu trong kỳ. suất.
Chi phí bao gồm: Gia vốn hàng bán, chi
phí tài chính, chi phí quản lý, chi phí bán
Chi phí lãi: lãi phải trả cho các khoản hàng trong kỳ.
vốn tiền gửi, vay vốn từ NHNN và TCTD
➔Lợi nhuận gộp = Doanh thu
khác và phát hành giấy tờ có giả. Là thuần - Chi phí
khoản mục chỉ phí lớn nhất, phụ thuộc Thu nhập và Chi phí khác: bao gồm
nhiều vào biến động lãi, ngoài ra còn phụ những khoản thu và chi phí không phục
thuộc vào tâm lí KH, chu kỳ kinh tế, hành vụ hoạt động kinh doanh trong kỳ. lang pháp lí....
➔Thu nhập lãi ròng = Thu từ lãi - Chi phí lãi.
Thu ngoài lãi: thu từ kinh doanh ngoại
hối, phí chuyển tiền, thanh toàn, chúng
khoản kinh doanh,... Chiếm tỷ trọng thấp,
tính rủi ro thấp, ít phụ thuộc vào biển
động lãi suất thị trường.
Chỉ ngoài lãi: chi phí cho các hoạt động
kinh doanh khác của NHTM cũng như
các khoản chi phí thường xuyên như các
chỉ phí nhân sự khác, chi phí khấu hao
nhà cửa, thiết bị ngân hàng, các chi phí
khác và không bao gồm chi phí dự phòng
rủi ro tín dụng. Chiếm tỉ trọng thấp, ít
phụ thuộc biến động lãi suất thị trường.
➔Thu nhập ngoài lãi = Thu ngoài lãi - Chi ngoài lãi.
Chí phí dự phòng rủi ro tín dụng: khoản
chi phí không bằng tiền mặt, được xác
định dựa trên chất lượng các khoản tín
dụng của NHTM. Mục tiêu của khoản
mục này là để dự phòng cho những khoản
vay có vấn đề và được khấu trừ khỏi thu nhập trong kỷ của NHTM.
Lợi nhuận bao gồm: Lợi nhuận từ hoạt
➔Thu nhập trước thuế = Thu
nhập lãi ròng + Thu nhập ngoài động kinh doanh, lợi nhuận từ hoạt động lãi.
khác, lợi nhuận sau thuế là lãi cổ tức (nếu có)
➔Thu nhập sau thuế = Thu nhập
trước thuế + Thuế thu nhập.
Nghĩa vụ thuế TNDN bao gồm: Thuế
TNDN phải nộp trong kỳ cả thuế TNDN
Đây là khoản thu nhập còn lại sau khi chưa nộp trong kỳ.
thực hiện nghĩa vụ với NSNN.
Nhìn vào BCKQKD người đọc có thể thấy được bức tranh toàn cảnh về lãi lỗ trong
doanh nghiệp, với tốc độ tăng trưởng của doanh thu, chi phí, lợi nhuận so trước. Tỷ lệ
của các khoản doanh thu, chi phí, lợi nhuận cấu thành nên kết quả kinh doanh trong kỳ
báo cáo của doanh nghiệp.
VỀ BÁO CÁO LƯU CHUYỂN TIỀN TỆ (BCLCTT):
Báo cáo lưu chuyển tiền tệ là báo cáo phản ánh các khoản thu và chi tiền trong kỳ của
ngân hàng thương mại/doanh nghiệp phi tài chính về hoạt động kinh doanh, hoạt động
đầu tư và hoạt động tài chính. Mục đích của BCLCTT là nhằm trình bày tiền tệ đã sinh
ra bằng accsh nào và ngân hàng thương mại/doanh nghiệp phi tài chính đã sử dụng
chúng như thế nào trong kỳ báo cáo.
BCLCTT được lập trên cơ sở cân đối giữa lượng tiền trong kỳ theo công thức:
Tiền tồn đầu kỳ + Tiền thu trong kỳ = Tiền chi trong kỳ + Tiền tồn cuối kỳ
BCLCTT CỦA NGÂN HÀNG
BCLCTT CỦA DOANH NGHIỆP PHI THƯƠNG MẠI TÀI CHÍNH
Lưu chuyển tiền từ hoạt động kinh
Dòng tiền từ hoạt động kinh doanh. doanh.
- Đây là nguồn chủ yếu sinh ra tiền mặt
Phần này phản ánh toàn bộ dòng tiền thu cho doanh nghiệp và cũng là lượng tiền
vào và chi ra liên quan trực tiếp đến hoạt mặt mà bản thân doanh nghiệp kiếm
động kinh doanh của NHTM như tiền
được từ hoạt động kinh doanh của mình.
thu lãi cho vay, thu từ các khoản phải thu - Các dòng tiền từ hoạt động kinh doanh
khác…, các chi phí bằng tiền như chi lãi gồm: lưu chuyển tiền tệ nhận được của
tiền gửi cho khách hàng, tiền thanh toán khách hàng, lưu chuyển dòng tiền thanh
cho công nhân về tiền lương và
toán cho nhân viên hoặc nhà cung cấp,
BHXH…, các chi phí khác bằng tiền (chi thanh toán/ hoàn thuế thu nhập. phí văn phòng phẩm,...)
Lưu chuyển tiền từ hoạt động đầu tư
Dòng tiền từ hoạt động đầu tư.
Phản ánh các dòng tiền như:
- Đây là dòng tiền có liên quan đến việc
- Mua sắm tài sản cố định
mua hoặc bán lại tài sản dài hạn và các
-Tiền chi cho thanh lý, nhượng bán tài
khoản đầu tư khác (không liên quan tới sản cố định việc tổ chức kinh doanh)
-Tiền thu từ thanh lý, nhượng bán tài sản - Các dòng tiền từ hoạt động đầu tư gồm: cố định
Tiền mua sắm tài sản, máy móc, thiết bị;
-Tiền chi đầu tư, góp vốn vào các đơn vị tiền thu từ việc nhượng bán, thanh lí tài