



















Preview text:
Mục Lục
I. Phân tổ thống kê................................................................................3
1.Bài 43/47.........................................................................................3
2. Bài 26/43........................................................................................4
II. Điều tra chọn mẫu............................................................................5
1. Bài 67/310......................................................................................5
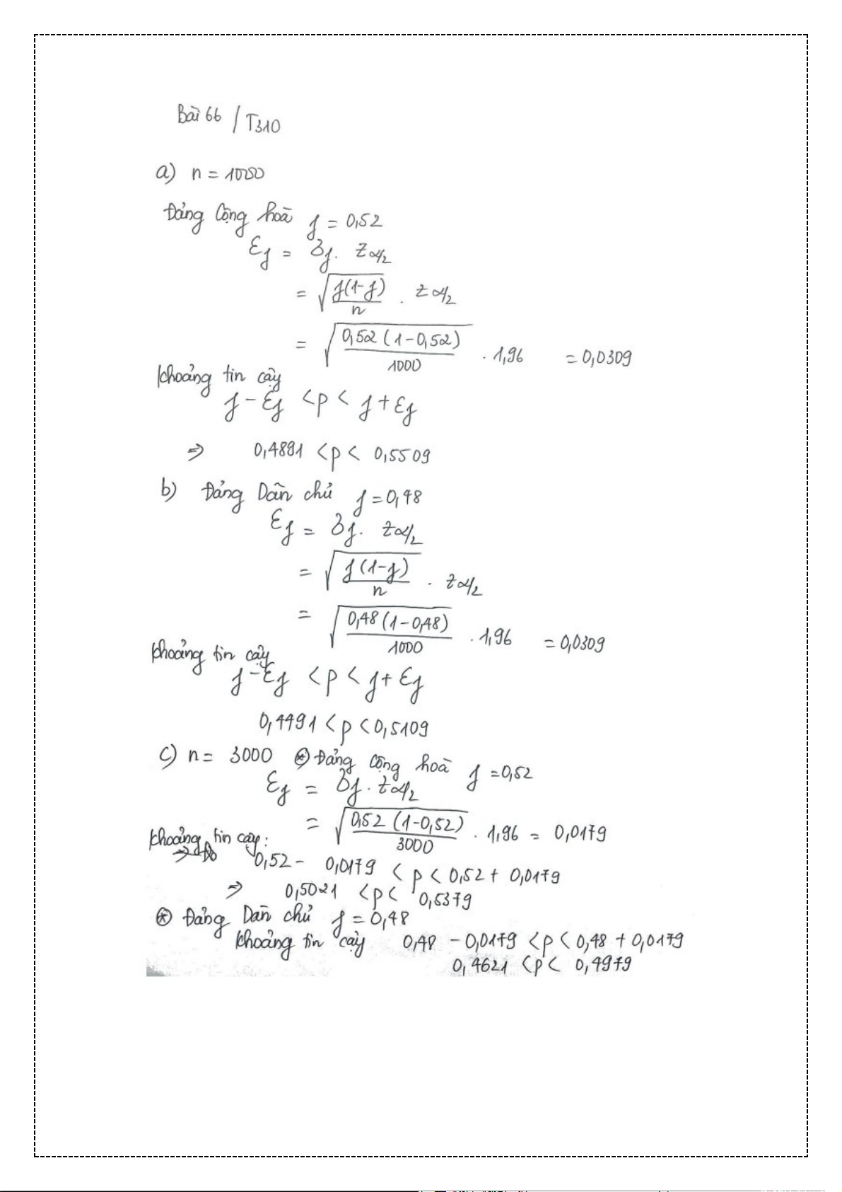
2. Bài 66/310......................................................................................6
3. Bài 45/307......................................................................................8
III. Kiểm định.......................................................................................9
1. Bài 27/342......................................................................................9
2. Bài 37/344......................................................................................9
IV. Hồi quy tương quan......................................................................11
1. Bài 19/478....................................................................................11
2. Bài 58/431....................................................................................12
V. Dãy số thời gian.............................................................................14
Bài 20/ 562.......................................................................................14 I. Phân tổ thống kê 1.Bài 43/47 2. Bài 26/43 II. Điều tra chọn mẫu 1. Bài 67/310 2. Bài 66/310 3. Bài 45/307 III. Kiểm định 1. Bài 27/342 2. Bài 37/344 IV. Hồi quy tương quan 1. Bài 19/478 2. Bài 58/431 V. Dãy số thời gian Bài 20/ 562