



















Preview text:
TRƯỜNG ĐẠI HỌC Y KHOA PHẠM NGỌC THẠCH
KHOA HỌC CƠ BẢN VÀ Y HỌC CƠ SỞ
BỘ MÔN VẬT LÝ Y SINH
TRƯỜNG ĐIỆN TỪ VÀ CƠ THỂ SỐNG GV: ThS.MAI THÁI CHÂU Mail:chaumt@pnt.edu.vn Phone: 0355946907 9/2022 DẪN NHẬP
1. VẬT LÝ NGHIÊN CỨU GÌ ?
2. Ở PHỔ THÔNG EM ĐÃ HỌC NHỮNG KIẾN THỨC VẬT LÝ NÀO?
3. TẠI SAO SINH VIÊN Y PHẢI HỌC VẬT LÝ ? NỘI DUNG
1. KIẾN THỨC CƠ BẢN VỀ ĐIỆN
2. ĐIỆN THẾ SINH VẬT - AN TOÀN ĐIỆN
3. TÁC DỤNG TRỊ LIỆU CỦA DÒNG ĐIỆN PHẦN 1
KIẾN THỨC CƠ BẢN VỀ ĐIỆN
I. Kiến thức cơ bản về điện Ø Mở bài Tia sét
I. Kiến thức cơ bản về điện Ø Mở bài Sét đánh G D S. D
I. Kiến thức cơ bản về điện Ø Mở bài Cá chình
I. Kiến thức cơ bản về điện Ø Điện tích ü Điện tích âm ü Điện tích dương
Hai điện tích cùng dấu thì hút trái dấu thì đẩy
I. Kiến thức cơ bản về điện Ø Những hạt mang điện ü Hạt electron, proton ü Lỗ trống, các ion…
ü Đơn vị điện tích (C)
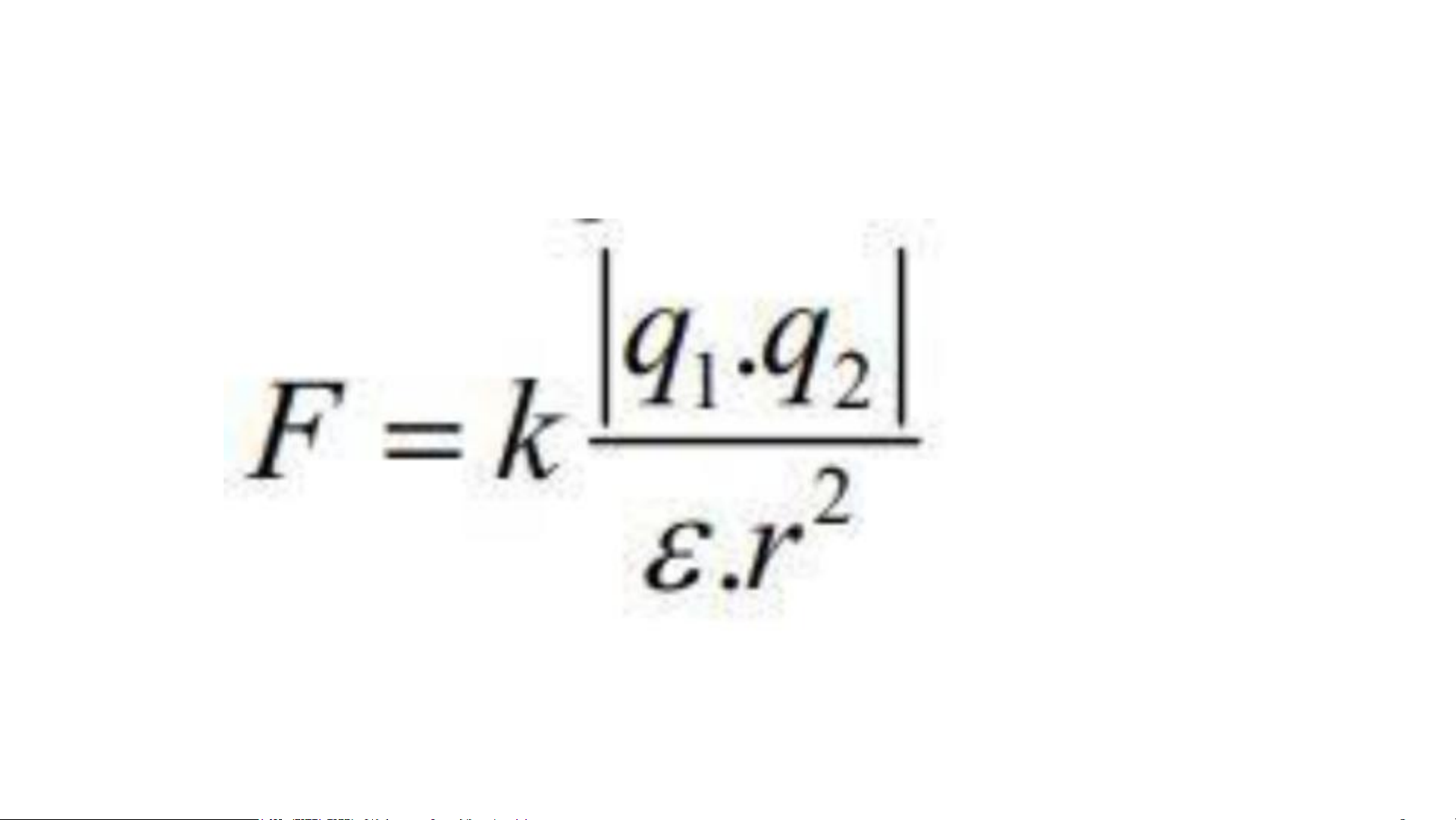
I. Kiến thức cơ bản về điện Định Luật CouLomb
ĐIỆN TÍCH. ĐỊNH LUẬT COULOMB
* TÌM LỰC TỔNG HỢP TÁC DỤNG LÊN MỘT ĐIỆN TÍCH Phương Pháp:
+ Bước 1: Viết biểu thức lực tổng hợp: F F F 1 2 + Bước 2: Tính F1 và F2. q2 F12
+ Bước 3: Vẽ hình, biểu diễn các vectơ F , F , F 1 2
+ Bước 4: Dựa vào hình vẽ tìm lực tổng hợp F. q1 F F23 21 q3
* Các trường hợp đặc biệt: F13
a. F F F F F 1 2 1 2 b.
F F F F F 1 2 1 2 c. 2 2
F F F F F 1 2 1 2
d. Tổng quát: 2 2 2 (F F 1, 2 )
F F F 2F F cos 1 2 1 2
I. Kiến thức cơ bản về điện Ø Điện trường
I. Kiến thức cơ bản về điện
I. Kiến thức cơ bản về điện
I. Kiến thức cơ bản về điện Điện Trường Q E k 2 r
1. Vectơ cường độ điện trường: F E F E q
- Điểm đặt: tại điểm đang xét q
- Phương: cùng phương với lực điện.
* Nếu q > 0: F E - Chiều:
* Nếu q < 0: F E
- Độ dài: biểu diễn độ lớn của cường độ điện trường theo 1 tỉ xích nào đó. F q E
2. Đơn vị đo cường độ điện trường: l à (V/m)
3. Cường độ điện trường
E do Q gây ra tại 1 điểm cách nó 1 khoảng r có:
+ Điểm đặt: tại điểm đang xét.
+ Phương: là đường thẳng nối Q và điểm đang xét. Q > 0 M E
+ Chiều: + Hướng xa Q nếu Q > 0. + ●
+ Hướng vào Q nếu Q < 0. Q < 0 E M Q + Độ lớn: ● E - k 2 r