



















Preview text:
lOMoAR cPSD| 59671932
ĐẠI HỌC BÁCH KHOA HÀ NỘI TRƯỜNG ĐIỆN
- ĐIỆN TỬ KHOA ĐIỆN TỬ
BÁO CÁO: THÔNG TIN VÔ TUYẾN
TOPIC 5: NHIỄU TRẮNG, NHIỄU ISI, NHIỄU XUYÊN
KÊNH, NHIỄU ĐỒNG KÊNH, NHIỄU ĐA TRUY CẬP
Giảng viên hướng dẫn: NGUYỄN THU NGA
Nhóm sinh viên thực hiện: Nhóm 01
1. Vũ Đức Anh – 20198114 2. Hà Trung Hải - 20198127
3. Nguyễn Trọng Lâm – 20198135
4. Nguyễn Hoàng Ly – 20198138
5. Phạm Ngọc Thành - 20198151 Hà Nội, 11 - 2022 MỤC LỤC
MỤC LỤC ..............................................................................................................................................2
LỜI MỞ ĐẦU ........................................................................................................................................3
DANH MỤC HÌNH ẢNH .....................................................................................................................4
DANH MỤC BẢNG BIỂU ....................................................................................................................4
PHẦN I. NHIẾU TRẮNG – GAUSSIAN NOISE ...............................................................................5
1. Khái niệm nhiễu trắng ..................................................................................................................5
2. Các phép biểu diễn toán học của nhiễu trắng ............................................................................6
PHẦN II. NHIỄU XUYÊN TÍN HIỆU ISI ..........................................................................................9
1. Khái niệm .......................................................................................................................................9
2. Nguyên nhân gây nhiễu .............................................................................................................. 10
3.Các biện pháp khắc phục nhiễu ISI ........................................................................................... 10
3.1. Bộ lọc cos nâng ............................................................................................................... 11
3.2. Bộ lọc ngang ép không ................................................................................................... 13
PHẦN III. NHIỄU XUYÊN KÊNH – Interchannel Interference .................................................. 15
1. Định nghĩa .................................................................................................................................. 15
2. ICI trong OFDM ........................................................................................................................ 15
3. Nguyên nhân & Tổng kết ........................................................................................................... 16
4. Phương pháp xử lí ICI................................................................................................................ 17
5. Công thức liên quan .................................................................................................................... 18
PHẦN IV. NHIỄU ĐỒNG KÊNH ..................................................................................................... 19
1. Định Nghĩa và Nguyên Nhân .................................................................................................... 19
2. Giải pháp .................................................................................................................................... 21
2.1. Nguyên lý tái sử dụng tần số ......................................................................................... 22
PHẦN V. NHIỄU ĐA TRUY CẬP ..................................................................................................... 27
1. Định nghĩa .................................................................................................................................. 27
2. TDMA: Đa truy nhập phân chia theo thời gian ...................................................................... 28
3. FDMA: Đa truy nhập phân chia theo tần số ........................................................................... 29
4. CDMA: Đa truy nhập phân chia theo mã................................................................................ 31
TÀI LIỆU THAM KHẢO .................................................................................................................. 33
LỜI MỞ ĐẦU
Nhiễu là một vấn đề rất quan trọng trong thông tin di động, ảnh
hưởng đến chất lượng của tín hiệu, khi xử lý tín hiệu và khi truyền
tín hiệu, tín hiệu làm gây méo tín hiệu hoặc xuất hiện các tạp âm
trong các thiết bị tái tạo lại tín hiệu
Vì vậy ta phải giám sát được chúng và tìm biện pháp khắc phục
tín hiệu nhiễu đến mức tối đa để tăng chất lượng của của tín hiệu.
Bài tiểu luận dưới đây sẽ trình bày một cách ngắn gọn lý thuyết
về 05 loại nhiễu trong thông tin di động. Nắm vững lý thuyết về
nhiễu và tìm hiểu, nghiên cứu các biện pháp khắc phục chúng sẽ
giúp mạng thông tin di động nâng cao chất lượng, hiệu quả.
Bố cục của bài báo cáo gồm có 05 phần, tương ứng với 05 loại nhiễu, đó là:
1. Nhiễu trắng (Gaussian Noise)
2. Nhiễu xuyên tín hiệu ISI gây ra bởi hiệu ứng phân tập đa đường (Intersymbol Interference)
3. Nhiễu xuyên kênh (Interchannel Interference)
4. Nhiễu đồng kênh (Co – channel Interference)
5. Nhiễu đa truy cập (Multiple access interference)
Nhóm chúng em xin chân thành cảm ơn cô Nguyễn Thu Nga
đã hướng dẫn, giúp đỡ để chúng em hoàn thành bài báo caó này. DANH MỤC HÌNH ẢNH
Hình 1. Đồ thị biểu diễn mâtj độ phổ công suất của nhiễu trắng trên toàn bộ dải tần. ........................... 5
Hình 2. Môi trường truyền dẫn với sự có mặt của nhiễu trắng ................................................................ 5
Hình 3. Hàm phân bố Gauss .................................................................................................................... 6
Hình 4. Mật độ phổ công suất nhiễu ........................................................................................................ 7
Hình 5. Mô hình gây nhiễu ....................................................................................................................... 9
Hình 6. Ví dụ minh họa tín hiệu Input và Output ..................................................................................... 9
Hình 7. Méo pha ..................................................................................................................................... 10
Hình 8. Bộ lọc cos nâng ......................................................................................................................... 11
Hình 9. Vị trí bộ lọc cân bằng kênh ........................................................................................................ 13
Hình 10. Bộ lộc cân bằng kênh .............................................................................................................. 13
Hình 11. Nhiễu xuyên kênh giữa 2 sóng mang kề nhau .......................................................................... 15
Hình 12. Lỗi dịch tần số ICI trong hệ thống OFDM .............................................................................. 16
Hình 13. Khoảng bảo vệ lặp ................................................................................................................... 17
Hình 14. Biểu đồ tiền tố lặp CP ............................................................................................................. 18
Hình 15. Giao thoa xuyên kênh .............................................................................................................. 20
Hình 16. Một hệ thống thông tin tế bào (Cellular) ................................................................................. 20
Hình 17. Các kỹ thuật giảm nhiễu .......................................................................................................... 22
Hình 18. FR1 .......................................................................................................................................... 23
Hình 19. FR3 .......................................................................................................................................... 24
Hình 20. Tín hiệu của các user giao thoa với nhau ................................................................................ 28
Hình 21. Các loại đa truy nhập thường gặp ........................................................................................... 28
Hình 22. Sự phân chia thời gian đối với các truy cập ............................................................................ 29
Hình 23. Sự phân chia theo thời giam đối với các truy cập ................................................................... 30
Hình 24. Nhiễu lân cận tren các kênh của FDMA ................................................................................. 30
Hình 25. Sự phân chia theo mã đối với các truy cập .............................................................................. 32
Hình 26. Sơ đồ nguyên lý trải phổ .......................................................................................................... 32 DANH MỤC BẢNG BIỂU
Bảng 1. Các kĩ thuật tái sử dụng tần số .................................................................................................. 25
PHẦN I. NHIẾU TRẮNG – GAUSSIAN NOISE 1.
Khái niệm nhiễu trắng
Nhiễu trắng là quá trình xác suất có mậ độ phổ công suất phẳng
(không đổi) trên toàn bộ dải tần. [1]
Hình 1. Đồ thị biểu diễn mâtj độ phổ công suất của nhiễu trắng trên toàn bộ dải tần.
Nhiễu trắng là một loại nhiễu có hàm mật độ xác suất tuân theo
phân bố Gauss. [1] Môi trường truyền dẫn thực tế không chỉ có tác
động của hiệu ứng phân tập đa đường và hiệu ứng doppler mà còn có
sự tác động của nhiễu trắng như hình dưới. Nhiễu trắng có thể do
nguồn khác nhau gây ra như do thời tiết, do bộ khuếch đại ở máy thu,
do nhiệt độ, hay do chính con người, tín hiệu của máy thu được viết
lại như sau: y(t)=x(t)*h(τ)+n(t)
Với n(t) là tác động nhiễu trắng
Hình 2. Môi trường truyền dẫn với sự có mặt của nhiễu trắng
Hiệu ứng Doppler: gây ra do sự chuyển động tương đối giữa máy phát
và máy thu, bản chất hiện tượng này là phổ của tín hiệu thu được bị xê
lệch đi so với tần số trung tâm một khoảng gọi là tần số Doppler. [1]
Hiệu ứng phân tập đa đường: tín hiệu từ anten phát được truyền đến
máy thu thông qua nhiều hướng phản xạ hoặc tán xạ khác nhau( dẫn
tới: suy giảm cường độ và xoay pha tín hiệu không giống nhau tại các
thời điểm các tần số khác nhau) [1] 2.
Các phép biểu diễn toán học của nhiễu trắng
Về mặt toán học, nguồn nhiễu trắng n(t) có thể mô hình bằng
một biến xác suất x tuân theo phân bố xác suất Gaus với giá trị kì
vọng µ (giá trị trung bình xác suát) bằng không và độ lệch chuần là 𝜎2 [1].
Điều này có nghĩa là: µ := E[x]=0 và 𝜎2:= E[(x- µ)2]
Do kỳ vọng bằng không nên độ lệch chuẩn cũng bằng phương
sai của biến ngẫu nhiên x. Cụ thể hơn nhiễu trắng có công suất không
đổi và là 𝜎2. Hàm phân bố còn được viết dưới dạng: 𝑥 1 ( 𝑃 𝑥 ) = 𝑒 − 2 𝑛𝜎 √ 2 𝜋𝜎
Mô hình phân bố này còn được biểu diễn như hình dưới đây:
Hình 3. Hàm phân bố Gauss
Ở phân bố Gauss, thông số µ xác định điểm giữa của phân bố
và thông số 𝜎2. Xác định độ rộng của hàm phân bố.
Về mặt lí thuyết, nhiễu trắng có băng tần vô hạn và công suất
nhiễu là đều đặn ở mọi tần số .Về mặt thực tế không có hệ nào có
băng tần vô hạn mà bị giới hạn ở một băng tần nào đó. [1] Do vậy
mật độ phổ công suất của nhiễu cũng bị giới hạn như sau:
Hình 4. Mật độ phổ công suất nhiễu
Ở hình trên ta giả sử là hệ thống có băng tần giới hạn 𝐵 = 2𝜔𝑔
với chu kì lấy mẫu là ta. Mật độ phổ công suất của nhiễu như Hình 4
được viết lại như sau:
𝜎2𝑡𝑎 𝑛ế𝑢 |𝜔| 𝜔𝑔;
⏀𝑛𝑛(𝑗𝜔) = 𝐹{𝜑𝑛𝑛(𝜏)} = { 0 𝑛ế𝑢 |𝜔|𝜔𝑔
Trong đó: ⏀𝑛𝑛(𝑗𝜔) – Hàm mật độ công suất nhiễu
𝜑𝑛𝑛(𝜏) – Hàm tự tương quan của nhiễu
Hàm tự tương quan là biến đổi Fourier của hàm mật độ phổ
công suất. [1]Công suất của nhiễu có thể tính được bằng cả từ hàm
mật độ công suất nhiễu hoặc hàm tự tương quan của nhiễu: 𝑃𝑛 𝜎 𝑡
Tỉ số tín hiệu trên tạp âm: 𝑃𝑆 𝑆𝑁𝑅 = 𝑃𝑛
Với: 𝑃𝑆 - công suất tín hiệu có ích.
Tỉ số SNR quyết định chất lượng tín hiệu và dung lượng kênh.
Sự can thiệp nhiễu trắng đến kênh truyền dẫn, cụ thể hơn là tỷ
số công suất tín hiệu trên tạp âm, ảnh hưởng trực tiếp đến thông
lượng của kênh và chất lượng tín hiệu thu.
PHẦN II. NHIỄU XUYÊN TÍN HIỆU ISI
Intersymbol Interference 1. Khái niệm
Trong môi trường truyền dẫn đa đường, nhiễu xuyên ký tự
(ISI) gây bởi tín hiệu phản xạ có thời gian trễ khác nhau từ các hướng
khác nhau từ phát đến thu là điều không thể tránh khỏi(các xung riêng
biệt chồng lên nhau trên miền thời gian ,các xung đến sau gây ảnh
hưởng lên xung đến trước) . Ảnh hưởng này sẽ làm biến dạng hoàn
toàn mẫu tín hiệu khiến bên thu không thể khôi phục lại được tín hiệu gốc ban đầu.
Hình 5. Mô hình gây nhiễu
Hình 6. Ví dụ minh họa tín hiệu Input và Output
2. Nguyên nhân gây nhiễu
Sự không chính xác của thời gian (tín hiệu phản xạ đến chậm
hơn đè lên tín hiệu đến trước gây nhiễu).
Độ rộng dải tần không đủ.
Méo biên độ: Các bộ lọc được sử dụng có đáp ứng xung
riêng,do đó đáp ứng tần số của kênh bị ảnh hưởng.Khi mà đặc tuyến
tần số của kênh truyền tin lệch khỏi các giả trị chuẩn hoặc các giá trị
mong muốn thì sẽ có méo xung.Việc bù các sai lệch đó gọi là cân bằng biên độ.
Méo pha: Một xung là sự tổng hợp hoặc chồng nhau của các
sóng hình sin có biên độ và pha riêng biệt.Nếu các quan hệ pha tương
đối của các sóng hình sin đó biến đổi thì sẽ xuất hiện méo pha.Méo
pha xuất hiện khi các thành phần tần số có sự khác biệt về độ lệch
thời gian trong qua trình truyền dẫn qua môi trường.Các bộ cân bằng
độ lệch thời gian thưòng được sử dụng để bù độ lệch và giảm méo pha. Hình 7. Méo pha
3.Các biện pháp khắc phục nhiễu ISI
Trong các hệ thống đơn sóng mang, ISI là một vấn đề khá nan
giải. Lí do là độ rộng băng tần tỉ lệ nghịch với khoảng thời gian kí
hiệu, do vậy, nếu muốn tăng tốc độ truyền dữ liệu trong các hệ thống
này, tức là giảm khoảng kí hiệu, vô hình chung đã làm tăng mức trải
trễ tương đối. Lúc này hệ thống rất nhạy với trải trễ. Và việc thêm
khoảng bảo vệ khó triệt tiêu hết ISI.
Để giảm nhiễu xuyên âm người ta phải làm thế nào hạn chế dải
thông mà vẫn không gây ra ISI. Khi dải thông bị giới hạn, xung sẽ có
đỉnh tròn thay vì đỉnh phẳng.
Một trong những phương pháp để loại bỏ nhiễu ISI là dùng bộ
lọc cos nâng và bộ lọc ngang ép không (phương pháp Nyquist I).
3.1. Bộ lọc cos nâng
Hình 8. Bộ lọc cos nâng
Tín hiệu từ nguồn gồm có M phần tử, song chúng ta hạn chế
chỉ khảo sát trường hợp khi các phần tử si(t) của tập tín hiệu chỉ khác
nhau về biên độ, tức là ta sẽ hạn chế chỉ xét hệ thống điều chế biên
độ xung PAM. Thực tế hệ thống này có thể xem như gán cho mỗi
một tin mk một hằng số akmà biên độ của xung đầu ra của bộ tạo xung
sẽ được nhân với nó.
Ta hãy giả sử rằng bộ tạo xung cho ra các xung Dirắc tại các
thời điểm t=kTs. Các xung dạng Dirac này, có biên độ thay đổi tuỳ
Theo sự thay đổi các giá trị Mk, qua bộ lọc T(ω) sẽ tới kênh truyền.
Phần máy thu trên hình 2.2 là máy thu tối ưu, thu lọc phối hợp, mạch
quyết định thực hiện lấy mẫu và so ngưỡng. Hàm truyền tổng cộng
của hệ thống (đặc tính tần số tổng cộng của hệ thống) là tích của hai
đặc tính của hai bộ lọc phát và thu C(ω)=T(ω).R(ω). Bây giờ chúng
ta sẽ tìm kiếm lớp các đặc tính lọc C(ω) sao cho việc truyền chuỗi tín
hiệu qua hệ thống sẽ không có ISI. Việc truyền được coi là không có
ISI nếu vào thời điểm quyết định tín hiệu lấy mẫu thứ k, chỉ có phản
ứng xung của tín hiệu thứ k là khác không còn phản ứng của các tín
hiệu khác đều bằng không.
Theo định lý Nyquist, độ rộng băng tần truyền dẫn nhỏ nhất để
có thể truyền được không méo tín hiệu băng gốc là B=1/2.T. Độ rộng
băng ở đây có nghĩa là dải tần mà ngoài nó giá trị hàm truyền đồng
nhất bằng không. Tần số 1/2T được gọi là tần số Nyquist. Do vậy
chúng ta sẽ xét các đặc tính lọc có độ rộng thông tần tối thiểu là 1/2T
(hay π/T tính theo tần số góc).Trước tiên ta hãy xem xét trường hợp
C(ω) là đặc tính của bộ lọc thông thấp lý tưởng, tức là đáp tuyến pha
của bộ lọc thì tuyến tính còn đáp tuyến biên độ |C(ω)| có dạng:
Bộ lọc lúc này có phanr ứng xung:
Có giá trị cực đại bằng 1 tại t = 0 và có giá trị bằng 0 tại t = kπ/ω0.
Gỉa sử rằng đầu vào của bộ lọc lý tưởng này có tín hiệu lối vào
bộ lọc T(ω) được cho bởi:
Trong trường hợp này, phản ứng xung đầu ra sẽ không gây nên
ISI nếu tần số cắt của bộ lọc là f0=ω0/2π=1/2T.
Do đơn giản trong tính toán, hàm số cong dạng cosine thường
được sử dụng để phân tích các bộ lọc này. Hàm truyền tổng cộng khi đó có dạng:
Hàm truyền liên tục thì có biên độ gợn sóng suy giảm theo luỹ
thừa 3 của biến t. Do vậy ngay cả khi đồng bộ không lý tưởng thì giá
trị của phản ứng xung đầu ra của các bộ lọc này sẽ bị chặn. Do đó,
ISI sẽ nhỏ ngay cả khi đồng bộ không lý tưởng.
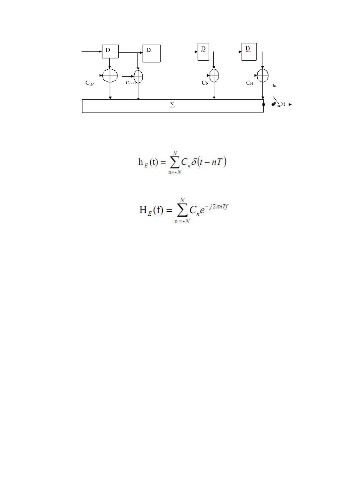
3.2. Bộ lọc ngang ép không
Hình 9. Vị trí bộ lọc cân bằng kênh
Theo Hình 9 ta có đáp ứng tần số của toàn hệ thống từ phát đến thu là H (f)= H (f). H (f)H (f) 0 T c E
Với đáp ứng xung tổng hợp : h (t)= f -1 [H (f) ] 0 0
Để thoả mãn điều kiện không có nhiẽu liên kí hiệu ISI thì
Tần số lấy mẫu tín hiệu bên thu là 1/T. Theo đó thì mật độ cân
bằng lý tưởng zero- ISI đơn giản là một bộ lọc nghịch đảo đáp ứng
tần số của bên phát và kênh truyền. Bộ lọc đảo này thường được xấp
xỉ bởi một bộ lọc FIR như hình vẽ dưới
Hình 10. Bộ lộc cân bằng kênh
Đáp ứng xung của bộ lọc cân bằng kênh là:
Đáp ứng tần số tương ứng là:
Vấn đề của bộ lọc đảo chính là lựa chọn các hệ số của bộ lọc sao
cho xấp xỉ đượcđiều kiện zero- ISI.
Trong môi trường truyền dẫn đa đường, nhiễu xuyên ký tự (ISI) gây
bởi tín hiệu phản xạ có thời gian trễ khác nhau từ các hướng khác nhau từ
phát đến thu là điều không thể tránh khỏi. Ảnh hưởng này sẽ làm biến dạng
hoàn toàn mẫu tín hiệu khiến bên thu không thể khôi phục lại được tín hiệu
gốc ban đầu. Các kỹ thuật sử dụng trải phổ trực tiếp DS-CDMA như trong
chuẩn 802.11b rất dễ bị ảnh hưởng bởi nhiễu đa đường vì thời gian trễ có
thể vượt quá khoảng thời gian của một ký tự. OFDM sử dụng kỹ thuật
truyền song song nhiều băng tần con nên kéo dài thời gian truyền một ký
tự lê1n nhiều lần. Ngoài ra, OFDM còn chèn thêm một khoảng bảo vệ
(guard interval - GI), thường lớn hơn thời gian trễ tối đa của kênh truyền,
giữa hai ký tự nên nhiễu ISI có thể bị loại bỏ hoàn toàn.
PHẦN III. NHIỄU XUYÊN KÊNH – Interchannel Interference 1. Định nghĩa
Nhiễu xuyên kênh gây ra do các thiết bị phát trên các kênh
liền nhau. Nhiễu liên kênh thường xảy ra do tín hiệu truyền trên
kênh vô tuyến bị dịch tần gây can nhiễu sang các kênh kề nó. Để
loại bỏ nhiễu xuyên kênh người ta phải có khoảng bảo vệ (guard
band) giữa các dải tần.
Hình 11. Nhiễu xuyên kênh giữa 2 sóng mang kề nhau 2. ICI trong OFDM
Trong OFDM, băng thông truyền được chia thành nhiều kênh nhỏ,
và được truyền song song với nhau. Do đó, giới hạn của ký tự tăng lên và
nhiễu liên ký tự (ISI) gây ra môi trường fading theo thời gian bị loại bỏ.
Tuy nhiên, với những giới hạn ký tự dài hơn,nhiễu xuyên kênh (ICI) gây ra bởi
Doppler ở kênh thông tin di động lại tăng lên phổ của các sóng mang chồng
lấn nhưng vẫn trực giao với sóng mang khác. Điều này có nghĩa là tại tần
số cực đại của phổ mỗi sóng mang thì phổ của các sóng mang khác bằng
không. Máy thu lấy mẫu các ký tự dữ liệu trên các sóng mang riêng lẻ tại
điểm cực đại và điều chế chúng tránh nhiễu từ các sóng mang khác. Nhiễu
gây ra bởi các dữ liệu trên sóng mang kế cận được xem là nhiễu xuyên kênh (ICI).
Hình 12. Lỗi dịch tần số ICI trong hệ thống OFDM
3. Nguyên nhân & Tổng kết
ICI sinh ra do sự chồng phổ giữa các sóng mang, gây ra xuyên
âm. Trong các hệ thống đơn sóng mang, ICI thường xuất hiện ở các
hệ thống làm việc tại các dải tần kề nhau. Trong các hệ thống này,
người ta đưa vào giữa các dải tần làm việc một khoảng phổ bảo vệ nhằm tránh xuyên âm.
ICI xảy ra khi kênh đa đường thay đổi trên thời gian ký tự
OFDM. Dịch Doppler trên mỗi thành phần đa đường gây ra dịch tần
số trên mỗi sóng mang, kết quả là mất tính trực giao giữa chúng.
ICI cũng xảy ra khi một ký tự OFDM bị nhiễu ISI.
Sự lệch tần số sóng mang của máy phát và máy thu cũng gây
ra nhiễu ICI trong hệ thống OFDM. Kết luận
ICI sinh ra do hiệu ứng đa đường, cộng thêm và khoảng bảo vệ “trắng”.
4. Phương pháp xử lí ICI
Thay khoảng bảo vệ "trắng" bằng khoảng bảo vệ lặp, tức là mở
rộng chu kì mẫu tín hiệu
Hình 13. Khoảng bảo vệ lặp Tiền tố lặp CP
Hình 14. Biểu đồ tiền tố lặp CP
Tái sử dụng tần số chương
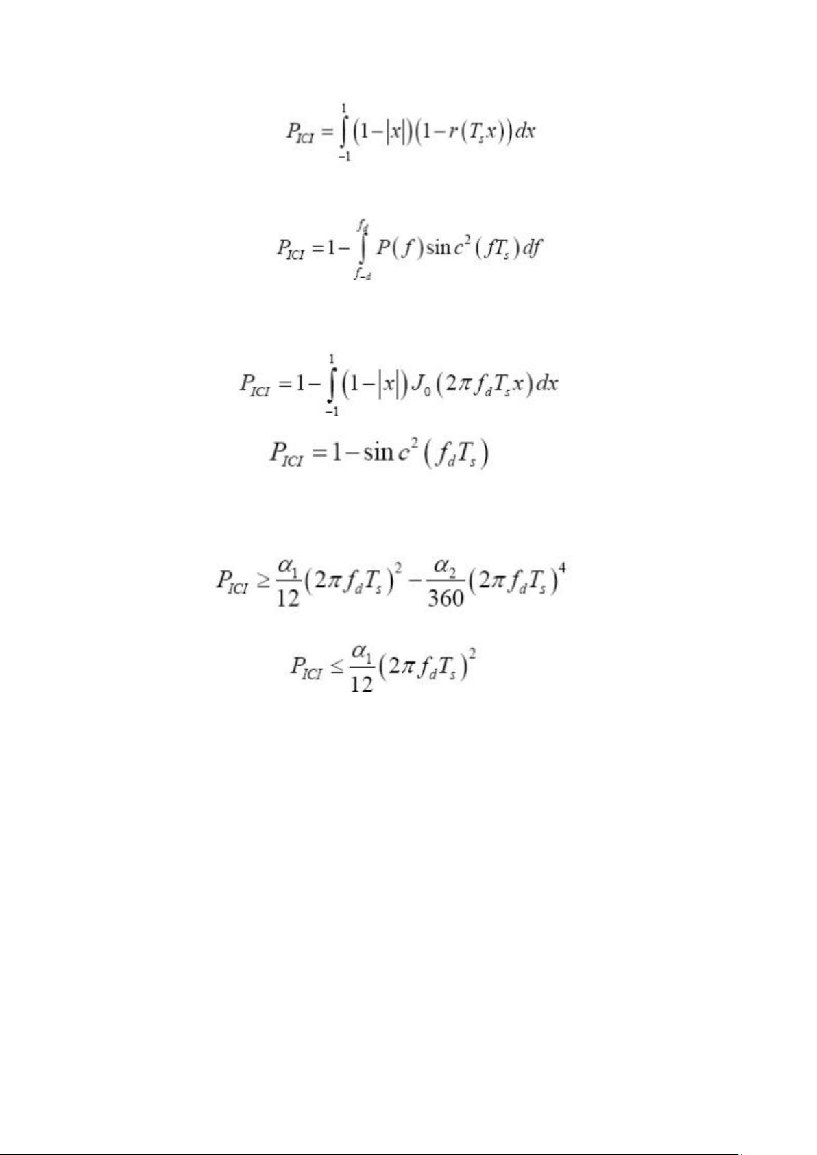
5. Công thức liên quan Năng lượng Của ICI
Năng lượng được biểu diễn theo hàm tương quan r(j)
Năng lượng được biểu diễn thông qua phổ Doppler
Biểu diễn theo kiểu thông thường
Giới hạn của công suất ICI
PHẦN IV. NHIỄU ĐỒNG KÊNH
Co – Channel Interference 1.
Định Nghĩa và Nguyên Nhân
Nhiễu đồng kênh xảy ra khi cả hai máy phát trên cùng một tần
số hoặc trên cùng một kênh. Máy thu điều chỉnh ở kênh này sẽ thu
được cả hai tín hiệu với cường độ phụ thuộc vào vị trí của máy thu so với hai máy phát.
Hình 15. Giao thoa xuyên kênh
Nhiễu đồng kênh thường gặp trong hệ thống thông tin số
Cellular (mạng đa tế bào), trong đó để tăng hiệu suất sử dụng phổ
bằng cách sử dụng lại tần số. Như vậy có thể coi nhiễu đồng kênh
trong hệ thống Cellular là nhiễu gây nên do các Cell sử dụng cùng 1 kênh tần số.
Hình 16. Một hệ thống thông tin tế bào (Cellular)
Một mạng Cellular với mỗi Cell sử dụng một dải tần được ký
hiệu 1 màu sắc khác nhau. Các Cell có cùng dải tần sẽ gây nhiễu đồng
kênh lẫn nhau. Nhiễu đồng kênh liên quan tới việc sử dụng tần số.
Có thể ví dụ trong mạng GSM: Trong mạng GSM, mỗi trạm BTS
được cấp phát một nhóm tần số vô tuyến. Các trạm thu phát gốc BTS
lân cận được cấp phát các nhóm kênh vô tuyến không trùng với các