





Preview text:
Experimental Report 2
MEASUREMENT OF MAGNETIC FIELD INSIDE A SOLENOID WITH FINITE LENGTH
Verification of the instructors
Class: CTTT Cơ Điện Tử 03 K69 Group: 3
Name: Nguyễn Trương Tùng Lâm
Student ID: 202418498
I. Experiment Motivation
- Investigate the magnetic field at a position along the axis of solenoid
- Investigate the relationship between the magnetic field and the current through the solenoid
II. Experimental results
1. Investigation of the magnetic field at the position along the axis of solenoid – B(x) I = 0.2 (A) x (cm) B (mT) x (cm) B (mT) x (cm) B (mT) 0 0.59 10 1.17 20 1.16 1 0.89 11 1.18 21 1.16 2 1.02 12 1.18 22 1.16 3 1.08 13 1.19 23 1.14 4 1.11 14 1.19 24 1.14 5 1.12 15 1.17 25 1.13 6 1.14 16 1.17 26 1.11 7 1.15 17 1.17 27 1.08 8 1.16 18 1.16 28 1.03 9 1.17 19 1.16 29 0.88 30 0.58
2. Measurement of the relationship between the magnetic field and the
current through the solenoid – B(I) x = 15 (cm) I (A) B (mT) 0.2 0.90 0.25 1.09 0.30 1.38 0.35 1.54 0.40 1.80 0.45 2.01 0.50 2.25 0.55 2.48 0.60 2.68
3. Comparison of experimental and theoretical magnetic field I = 0.4 A x (cm) B (mT) 0 0.78 15 1.79 30 0.94
III. Data analysis
1. Relationship between the magnetic field and the position of the probe inside the solenoid 1.8 1.6 1.4 1.2 1 0.8 B (mT) 0.6 0.4 0.2 0 -5 0 5 101520253035 x (cm)
Error bar: vertical 2ΔB=0.02 (mT) Comment:
The graph shows that the magnetic field inside a solenoid depends on the position
of the probe inside. The magnitude of the magnetic field increases from x=0 to
x=8, and then stable until x=25, then decreases at exactly the same pace as it
increases. The graph is symmetric around the point x=15 (cm).
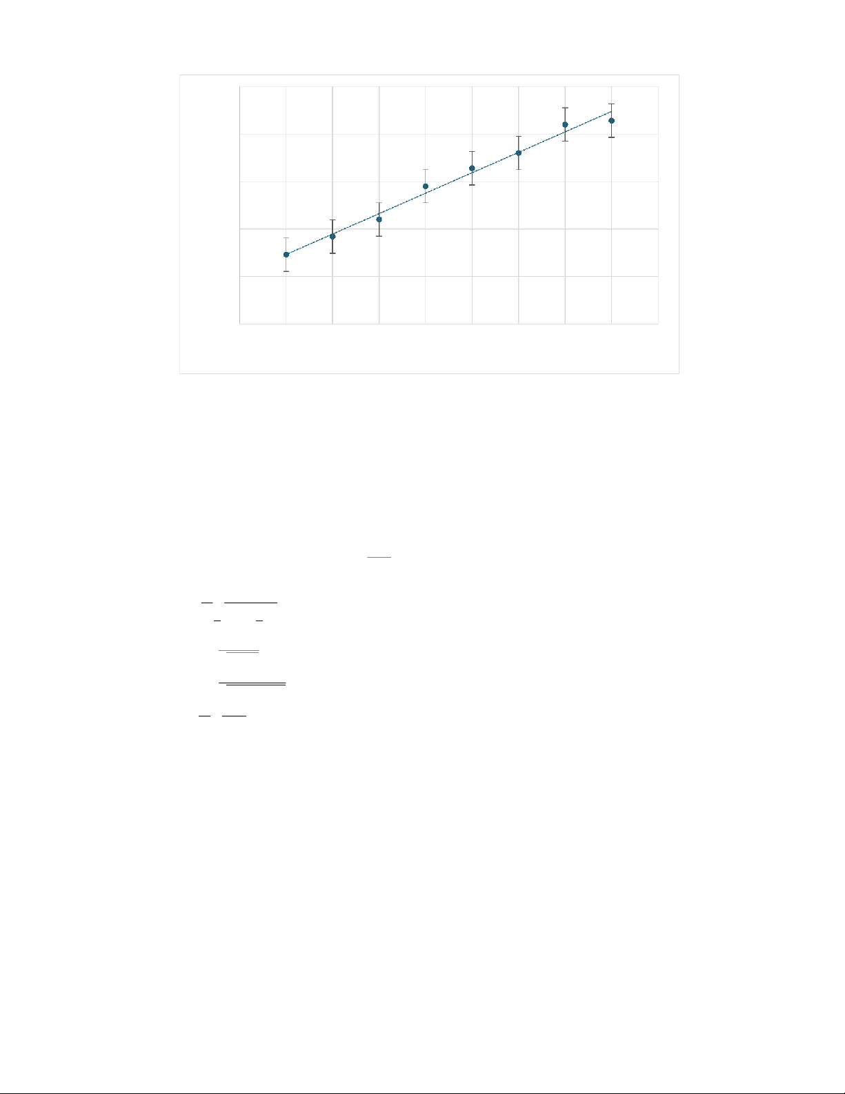
2.Relationship between the magnetic field and the applied voltage 2.5 2 1.5 B (mT)1 0.5
00.10.150.20.250.30.350.40.450.50.55 I (A)
Error bar: vertical 2ΔB=0.02 (mT) Comment:
The graph shows that the magnitude of the magnetic field and the voltage has a
linear relationship. But in this case, the resistance is unchanged, so the current also
has linear relationship with the voltage. So, we can see that relationship between
the magnetic field and the applied current is also linear
3. Comparison of experimental and theoretical magnetic field We have:
B=μ0μr2. I.n0(cosγ1−cosγ2) In this case, μ1=1 n0=NL=750 300×10−3=2500 I0=I √2=0.4 √2=0.566 (A) cosγ1=x√ R2+x2 cosγ2=−L−x √ R2+(L−x)2 R=D2=40.32=20.2(mm)
+) x=0 (cm):cos γ1=0,cosγ2=−0.998
B=μ0μr2In0 (cosγ1−cosγ2 )=1.256×106 2×0.566×2500× (0+0.998 ) ¿0.89 (mT)
+) x=15 (cm):cosγ1=0.991,cosγ2=−0.991 B=μ0μr =1.256×10 2In 6 0 (cosγ1−cosγ2 ) 2×0.566×2500× (0.991+0.991 ) ¿1.76 (mT)
+) x=30 (cm):cosγ1=0.998,cosγ2=0
B=μ0μr2In0 (cosγ1−cosγ2 )=1.256×106 2×0.566×2500× (0.998−0 )=0.89 (mT)
Comparison between theoretical values and experimental values: x (cm) Btheoretical (mT) Bexperimental (mT) 0 0.89 0.78 15 1.76 1.79 30 0.89 0.94
Compare with the obtained result in the experiment:
The result from the experiment is approximately close to the theoretical values.
The difference is due to the uncertainty of the instruments used.