








Preview text:
  lOMoAR cPSD| 46342985
TRƯỜNG ĐẠI HỌC Y DƯỢC CẦN THƠ 
KHOA Y TẾ CÔNG CỘNG 
BỘ MÔN DỊCH TỄ HỌC  LỚP YE K45  NHÓM 7  DANH SÁCH NHÓM  STT 
Họ và tên sinh viên  MSSV  1  Đặng Hoàng Anh Huy  1953010699  2  Ngô Huỳnh Xuân Hồng  1953010277  3  Hồ Thị Thu Hương  1953010278  4  Nguyễn Minh Ngọc  1953010523  5  Bùi Trung Hiếu  1953010563  6  Trần Gia Bách  1953010692  7  Nguyễn Đức Duy  1953010695  8  Cao Trà Hoàng Phong  1953010710  9  Ngô Minh Sang  1953010711  10  Huỳnh Cẩm Hồng  1953010827  11  Giang Phú Yên  1953010836                            lOMoAR cPSD| 46342985
CÁC BỆNH KHÔNG LÂY PHỔ BIẾN 
1. Tình hình bệnh Hen phế quản 
Bệnh hen suyễn gây ra những hậu quả về sức khỏe và kinh tế đối với 
các cá nhân và hệ thống chăm sóc sức khỏe trên toàn thế giới. Các nghiên cứu 
cho thấy sự khác biệt đáng kể về tỷ lệ mắc bệnh hen suyễn giữa các quốc gia, 
cho thấy tầm quan trọng của các yếu tố nguy cơ cụ thể ở từng quốc gia do mối 
liên hệ chặt chẽ của nó với các yếu tố môi trường và di truyền.[1] 
Bệnh hen suyễn chưa được coi là một vấn đề sức khỏe cộng đồng lớn 
ở các nước đang phát triển vì tỷ lệ lưu hành tương đối thấp. Tuy nhiên, vào đầu 
năm 2000, ISAAC (Khảo sát sức khỏe hô hấp cộng đồng châu Âu và Nghiên 
cứu quốc tế về bệnh hen suyễn và dị ứng ở trẻ em) cho thấy tỷ lệ mắc bệnh hen 
suyễn ở trẻ em trong độ tuổi đi học đã tăng lên ở một số quốc gia có thu nhập 
thấp và trung bình thấp (LMIC). Bệnh hen suyễn ở các nước đang phát triển 
được biết là thường liên quan đến các triệu chứng nghiêm trọng hơn, mặc dù tỷ 
lệ mắc bệnh hen suyễn ít phổ biến hơn so với các nước phương Tây. Mô hình 
này có thể phản ánh chẩn đoán muộn, điều trị kém và phản ứng tổng thể kém 
hơn đối với căn bệnh này ở những nơi có nguồn lực hạn chế. Ngoài ra, có tỷ lệ 
cao các yếu tố nguy cơ liên quan đến hen suyễn, bao gồm phơi nhiễm với hút 
thuốc thụ động, ô nhiễm không khí và nhà ở nghèo nàn ở các nước đang phát 
triển, đặc biệt là ở Khu vực Châu Á - Thái Bình Dương (APR). 
Tỷ lệ mắc bệnh hen suyễn và gánh nặng bệnh tật 
Mặc dù tỷ lệ lưu hành bệnh hen suyễn ở APR LMIC thấp hơn so với 
các nước có thu nhập cao nhưng gánh nặng bệnh hen suyễn lại cao hơn.  Tỷ lệ hiện mắc 
Việc ước tính chính xác tỷ lệ lưu hành bệnh hen suyễn trên toàn cầu 
là đòi hỏi khắt khe vì các bảng câu hỏi khác nhau đã được sử dụng để xác định 
các triệu chứng hen suyễn, thường được giải thích một cách chủ quan. Khảo sát      lOMoAR cPSD| 46342985
Y tế Thế giới (WHS) đã xem xét tỷ lệ mắc bệnh hen suyễn lâm sàng ở người 
trưởng thành bằng cách sử dụng bảng câu hỏi tiêu chuẩn được thiết kế bởi Tổ 
chức Y tế Thế giới (WHO) đã nhận thấy Úc, Thụy Điển và Vương quốc Anh là 
những quốc gia có tỷ lệ mắc bệnh cao nhất trên toàn cầu [4] (Hình 1). Việt Nam 
và Trung Quốc, hai quốc gia châu Á, nằm trong số ba   
Hình 1. Tỷ lệ mắc các triệu chứng hen suyễn trong 12 tháng trước đó ở những 
người từ 18–45 tuổi ở 70 quốc gia, Khảo sát Y tế Thế giới 2002–2003. [4] 
quốc gia có tỷ lệ mắc bệnh hen suyễn ở người trưởng thành thấp nhất. 
Các nghiên cứu đã đưa ra giả thuyết rằng tỷ lệ mắc bệnh hen suyễn 
ở các nước đang phát triển thấp hơn có thể là do tỷ lệ dị ứng thấp hơn, tỷ lệ cho 
con bú cao hơn, quy mô hộ gia đình lớn hơn, tiếp xúc với vi khuẩn (“hygiene 
hypothesis”), tỷ lệ nhiễm trùng chéo sớm cao hơn trong đời và việc sống ở nông 
thôn [5]. Yếu tố di truyền cũng có thể đóng một vai trò nào đó; tuy nhiên, việc 
quan sát sự khác biệt rõ rệt về tỷ lệ mắc bệnh hen suyễn giữa các thành phố 
khác nhau trong cùng một quốc gia cho thấy nguy cơ này liên quan nhiều hơn      lOMoAR cPSD| 46342985
đến các nguyên nhân môi trường và lối sống. Tuy nhiên, hiện nay người ta thừa 
nhận rằng tỷ lệ mắc bệnh hen suyễn và dị ứng đang gia tăng nhanh chóng ở các 
nước đang phát triển, đặc biệt là APR, nguyên nhân là do quá trình đô thị hóa 
nhanh chóng và ô nhiễm môi trường leo thang. [6]  Gánh nặng 
Phân tích cơ sở dữ liệu về tử vong của WHO cho thấy tỷ lệ tử vong 
do hen suyễn chuẩn hóa theo độ tuổi trong giai đoạn 2001-2010 ở mọi lứa tuổi 
ở LMIC cao hơn so với các nước có thu nhập cao [7]. Phân bổ tỷ lệ tử vong cao 
nhất đối với LMIC ở lục địa châu Phi, trong khi Philippines, Maldives và Thái 
Lan nằm trong số những quốc gia dẫn đầu về APR. 
Một đánh giá của Lancet về bệnh hen suyễn ở LMIC đã chỉ ra rằng 
mặc dù bệnh hen suyễn được xếp hạng là nguyên nhân phổ biến thứ 28 gây ra 
số năm sống được điều chỉnh theo tình trạng khuyết tật (YLL) trên toàn thế giới 
vào năm 2015, nhưng đây là nguyên nhân gây ra YLL cao thứ 8 ở Châu Đại 
Dương (Fiji, Kiribati, Quần đảo Marshall, Micronesia, Papua New Guinea, 
Samoa, Quần đảo Solomon, Tonga, Vanuatu)[8]. Đánh giá cũng cho thấy nhiều 
bệnh nhân hen chỉ được xác định trong phòng cấp cứu và thiếu sự theo dõi và 
điều trị thích hợp. Tương tự, trẻ em mắc bệnh hen ở LMIC được phát hiện có 
triệu chứng nặng hơn so với trẻ ở các nước phát triển. Điều đáng lưu ý là trong 
ISAAC-3, hơn 50% trẻ em mắc bệnh hen suyễn ở LMIC có các triệu chứng 
nghiêm trọng và hơn 30% số bệnh nhân hen nặng này chưa bao giờ được chẩn 
đoán chính thức về bệnh hen suyễn [9]. 
Nghiên cứu sâu và thực tế về bệnh hen suyễn trong nghiên cứu châu 
Á-Thái Bình Dương (AIRIAP) năm 2000 đã điều tra gánh nặng bệnh hen suyễn 
ở 8 quốc gia và chứng minh tỷ lệ nghỉ học và nghỉ làm ở bệnh nhân hen suyễn 
lần lượt là 36,5% trẻ em và 26,5% người lớn.      lOMoAR cPSD| 46342985
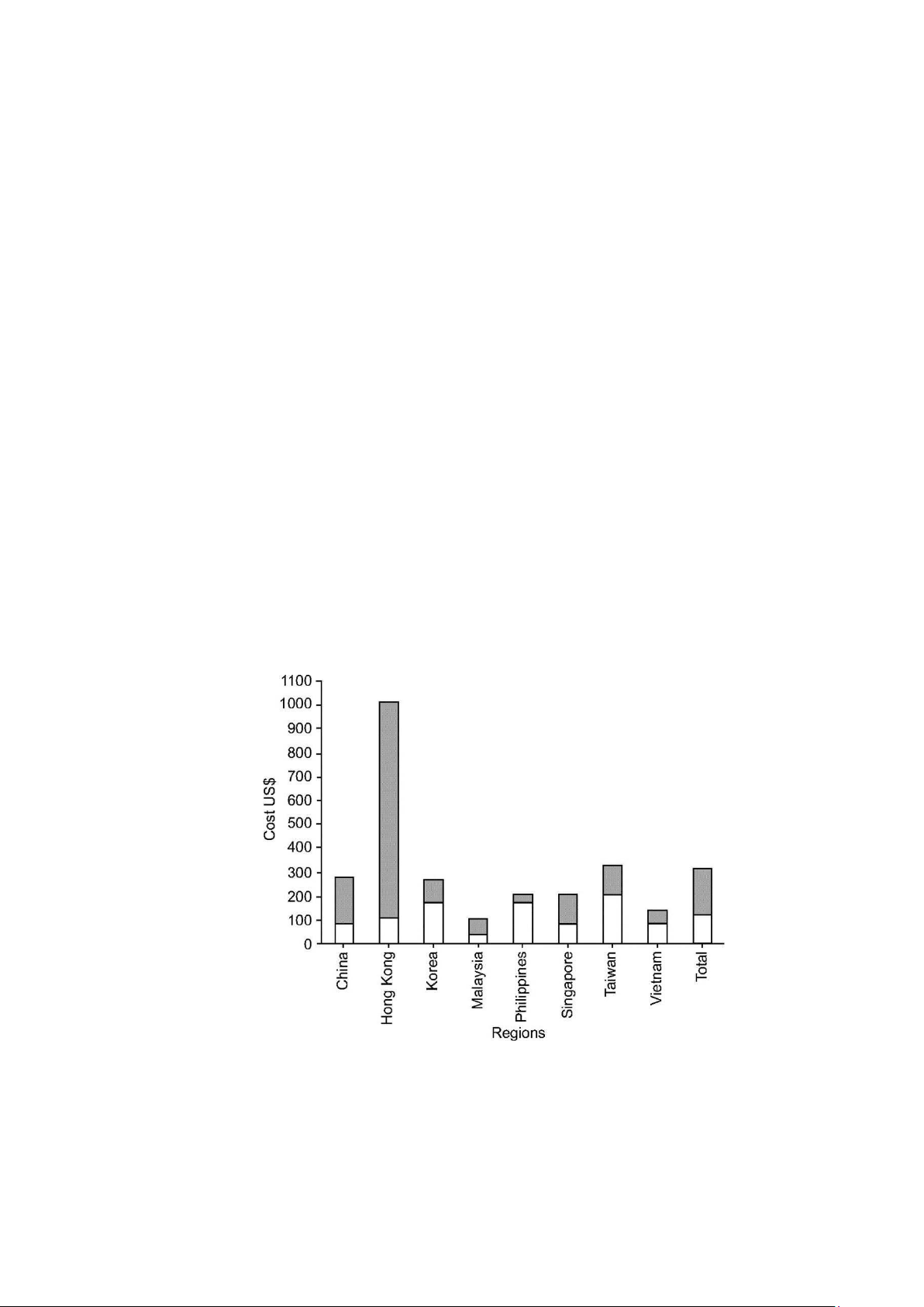
Chi phí điều trị bệnh hen suyễn khác nhau tùy theo từng quốc gia. 
Điều này liên quan đến chi phí trực tiếp và gián tiếp cho bệnh nhân, gia đình 
họ và hệ thống y tế, bao gồm các chi phí thăm khám bác sĩ, thuốc men, cấp cứu, 
nhập viện, ngày nghỉ học, ngày nghỉ làm, v.v…. Ví dụ: chi phí trung bình ước 
tính cho mỗi bệnh nhân mỗi năm vào năm 2017 ở Hoa Kỳ và Châu Âu lần lượt 
là 3100 USD và 1900 USD [10]. Ở Thái Lan, một quốc gia có thu nhập trung 
bình cao trong APR, chi phí trung bình hàng năm cho mỗi bệnh nhân là 599 
USD trong năm 2011[11]. Những ước tính kinh tế này thấp hơn đối với LMIC 
trong khu vực, với phân tích chi phí hồi cứu trong AIRIAP cho thấy chi phí 
dưới 300 USD trong APR LMIC trong số các quốc gia được khảo sát (Hình 2). 
Hơn nữa, phân tích cho thấy chi phí này chiếm 13% GDP bình quân đầu người 
của toàn khu vực, trong đó gánh nặng chi phí cá nhân cao hơn đối với Việt Nam 
(35%) và Philippines (21%) [2].   
Hình 2. Chăm sóc khẩn cấp và duy trì theo tỷ lệ trong tổng chi phí chăm sóc 
cho mỗi bệnh nhân theo khu vực [2]      lOMoAR cPSD| 46342985
2. Các yếu tố nguy cơ của hen phế quản [12]   
Hình 3. Những yếu tố nguy cơ của hen phế quản tại các quốc gia đang 
phát triển ở khu vực châu Á - Thái Bình Dương [3] - Những virus  đường hô hấp.  
- Do hít phải những mùi khó chịu như thuốc lá, thuốc lào, bếp than. 
- Hít phải những loại bụi gây dị ứng như phấn hoa, lông súc vật, bụi  môi trường.  - Do gắng sức quá mức. 
- Do thay đổi thời tiết, gặp không khí lạnh: Ở nước ta, yếu tố gây 
hen suyễn nhiều nhất ở cả người lớn và trẻ em là thay đổi thời tiết  từ nóng sang lạnh. 
a. Yếu tố nguy cơ của bệnh hen phế quản trẻ em  
- Tuổi: 80-90% số trẻ em hen phế quản xuất hiện triệu chứng hen 
trước 5 tuổi. Hen phế quản có thể khỏi hoặc giảm nhẹ ở tuổi dậy  thì. 
- Giới: cả hai giới, theo lứa tuổi tỷ lệ mắc hen phế quản ở hai giới 
có khác nhau. Trước tuổi dậy thì hen gặp nhiều ở trẻ trai, đến tuổi 
thanh niên và trưởng thành tỷ lệ hen phế quản là ngang nhau ở 2  giới.      lOMoAR cPSD| 46342985
- Yếu tố cơ địa atopy: Những trẻ có cơ địa dị ứng như chàm thể tạng, 
viêm mũi dị ứng, mày đay, viêm xoang dị ứng có tỷ lệ bị hen phế 
quản cao hơn những trẻ không có cơ địa dị ứng hoặc bệnh dị ứng. 
- Yếu tố gia đình: Tiền sử mắc các bệnh dị ứng của cha mẹ có vai 
trò quan trọng trong chẩn đoán hen ở trẻ nhỏ. Trong gia đình có 
mẹ hoặc bố bị hen phế quản thì nguy cơ con bị hen phế quản là 
25-30%, nếu cả cha và mẹ đều bị hen phế quản thì nguy cơ con bị  hen phế quản là 50-60%. 
- Yếu tố thần kinh, nội tiết: Những trẻ hay bị xúc động mạnh, tình 
trạng lo lắng, sợ hãi, suy nhược, tăng cảm giác thường dễ gây khởi  phát cơn hen. 
- Địa dư: Tùy theo hoàn cảnh địa lý, khí hậu môi trường mà tỷ lệ 
hen có khác nhau ở mỗi nước, mỗi vùng lục địa. 
- Các yếu tố khác: Trẻ có tiền sử đẻ non, loạn sản phổi, bệnh hô hấp 
tái diễn nhiều lần trước 2 tuổi, tình trạng béo phì là những yếu tố 
nguy cơ gây hen phế quản. 
b. Một số yếu tố gây kích phát cơn hen cấp  
- Sau nhiễm trùng đường hô hấp cấp (thường sau nhiễm virút,  mycoplasma). 
- Sau khi tiếp xúc với chất gây dị ứng (các dị nguyên thường gặp: 
bụi nhà, mạt nhà, phấn hoa, thức ăn, kháng sinh…).  - Thể hen do vận động.  - Thay đổi thời tiết.  - Không rõ nguyên nhân. 
3. Các biện pháp phòng chống [13] 
Nguyên tắc trong điều trị và phòng ngừa bệnh hen suyễn là cần hạn chế 
tối đa sự tiếp xúc với các tác nhân gây dị ứng như: Vật nuôi, mạt nhà, 
gián, cây trồng và phấn hoa, ẩm mốc, khói thuốc, hóa chất, một số loại  thức ăn. 
- Tránh tiếp xúc với lông của vật nuôi: chó, mèo, chim cảnh… 
- Đeo khẩu trang khi ra đường: để tránh các thành phần khói bụi, 
khói thuốc lá, hóa chất độc hại trong không khí… 
- Kiêng ăn các loại thực phẩm dễ gây dị ứng: Tôm, cua, đồ chiên 
nướng, rượu bia… thuộc nhóm dễ gây dị ứng.      lOMoAR cPSD| 46342985
- Dọn dẹp nhà cửa đều đặn: Thường xuyên lau dọn nhà cửa, hút bụi 
bẩn, giặt giũ chăn, ga, gối, đệm để tiêu diệt các loại vi khuẩn, ký  sinh trùng gây bệnh. 
- Thực đơn hàng ngày cần bảo đảm cung cấp đầy đủ những dưỡng 
chất cần thiết như chất đạm, chất béo, chất xơ,... Ngoài ra, có thể 
bổ sung thêm các thực phẩm tăng sức đề kháng cho cơ thể, đặc 
biệt là các loại trái cây giàu Vitamin C như: cam, bưởi, chanh,... 
- Rèn luyện thể dục thường xuyên cũng là cách phòng ngừa bệnh 
hen suyễn rất tốt. Tuy nhiên, tránh tập luyện lâu ngoài trời lạnh 
hoặc tập quá sức bản thân. 
- Giữ ấm cơ thể khi thời tiết trở lạnh. 
- Thực hiện tầm soát hen: Cách tốt nhất để chẩn đoán chính xác bệnh 
hen suyễn là thực hiện tầm soát hen.        lOMoAR cPSD| 46342985
TÀI LIỆU THAM KHẢO  1. 
M. I. Asher và các cộng sự. (1995), "International Study of Asthma and 
Allergies in Childhood (ISAAC): rationale and methods", Eur Respir J. 8(3),  tr. 483-491.  2. 
CKW Lai và các cộng sự. (2006), "Cost of asthma in the Asia-Pacific region".  15(98), tr. 10-16.  3. 
D. Yasaratne, N. S. Idrose và S. C. Dharmage (2023), "Asthma in developing 
countries in the Asia-Pacific Region (APR)", Respirology.  4. 
T. To và các cộng sự. (2012), "Global asthma prevalence in adults: findings 
from the cross-sectional world health survey", BMC Public Health. 12, tr. 204.  5. 
J. Mallol (2000), "Childhood asthma in developing countries. Low income 
aspects and related matters", Allergol Immunopathol (Madr). 28(5), tr. 283286.  6. 
G. W. Wong, T. F. Leung và F. W. Ko (2013), "Changing prevalence of allergic 
diseases in the Asia-pacific region", Allergy Asthma Immunol Res. 5(5), tr.  251-257.  7. 
Ellwood P Asher MI (2014), The Global Asthma Report 2014, chủ biên,  Global Asthma Network.  8. 
D. Beran và các cộng sự. (2015), "Burden of asthma and chronic obstructive 
pulmonary disease and access to essential medicines in low-income and 
middle-income countries", Lancet Respir Med. 3(2), tr. 159-170.  9. 
C. K. Lai và các cộng sự. (2009), "Global variation in the prevalence and 
severity of asthma symptoms: phase three of the International Study of Asthma 
and Allergies in Childhood (ISAAC)", Thorax. 64(6), tr. 476-483.  10. 
C. Nunes, A. M. Pereira và M. Morais-Almeida (2017), "Asthma costs and 
social impact", Asthma Res Pract. 3, tr. 1.  11. 
P. Dilokthornsakul và các cộng sự. (2016), "Comparison of Health Care 
Utilization and Costs for Patients with Asthma by Severity and Health 
Insurance in Thailand", Value Health Reg Issues. 9, tr. 105-111.  12. 
Các yếu tố nguy cơ của bệnh hen phế quản - Chương trình mục tiêu quốc gia 
- Cổng thông tin Bộ Y tế (2015), Bộ y tế, truy cập ngày, tại trang web 
https://moh.gov.vn/chuong-trinh-muc-tieu-quoc-gia/-/asset_publisher/ 
7ng11fEWgASC/content/cac-yeu-to-nguy-co-cua-benh-hen-phe-quan?  inheritRedirect=false.  13. 
TRUNG TÂM KIỂM SOÁT BỆNH TẬT THÀNH PHỐ ĐÀ NẴNG (2021), 
Hen phế quản và các biện pháp phòng ngừa SỞ Y TẾ THÀNH PHỐ ĐÀ 
NẴNG, THÀNH PHỐ ĐÀ NẴNG, truy cập ngày, tại trang web 
https://ksbtdanang.vn/chuyen-mon/truyen-thong-giao-duc-suc-khoe/hen-
phequan-va-cac-bien-phap-phong-ngua-346.html.