










Preview text:
Chương 6: Nhiệt động lực học
Nội năng, công, nhiệt lượng
!!! Nội năng là hàm đơn trị của trạng thái.
Công mà hệ nhận được từ ngoại vi:
!!! Công là hàm của quá trình. A>0 thì hệ nhận công và ngược lại. 1 ĐẠI HỌC CẦN THƠ www.ctu.edu.vn
Cộng đồng – Toàn diện – Ưu việt
Nhiệt năng (thermal energy), Nhiệt lượng (Heat):
Biểu thức xác định nhiệt lượng: Heat transfer 1
Solar radiation and the Earth
Operating principle of microwave Heat transfer 2 2 ĐẠI HỌC CẦN THƠ www.ctu.edu.vn
Cộng đồng – Toàn diện – Ưu việt
Nguyên lý I nhiệt động lực học (NĐLH)
Nguyên lý I: Khi hệ thực hiện 1 chu trình thì công sinh ra bằng nhiệt lượng nhận vào và ngược lại. 3 ĐẠI HỌC CẦN THƠ www.ctu.edu.vn
Cộng đồng – Toàn diện – Ưu việt
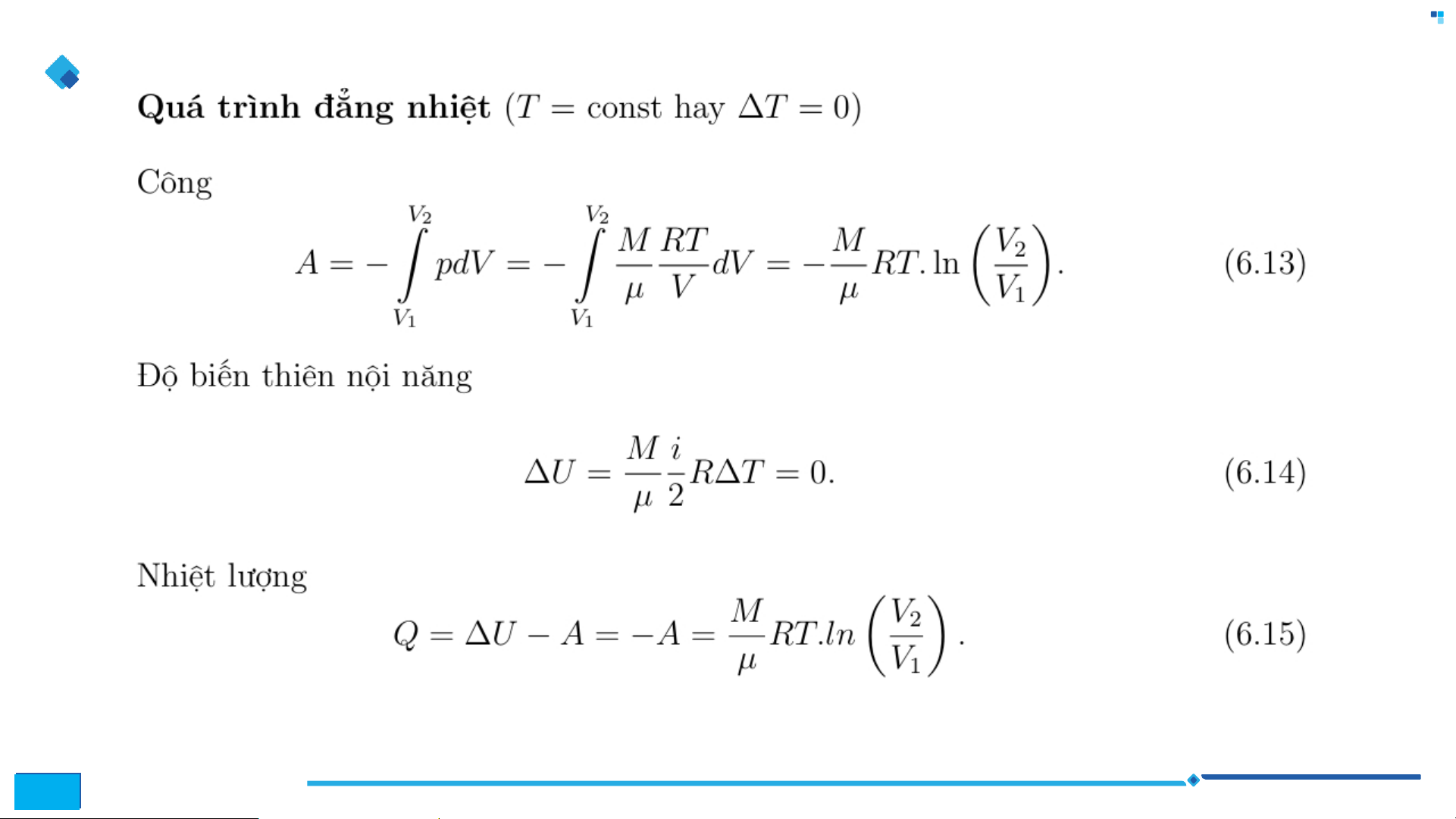
Nguyên lý I – áp dụng cho các quá trình 4 ĐẠI HỌC CẦN THƠ www.ctu.edu.vn
Cộng đồng – Toàn diện – Ưu việt 5 ĐẠI HỌC CẦN THƠ www.ctu.edu.vn
Cộng đồng – Toàn diện – Ưu việt 6 ĐẠI HỌC CẦN THƠ www.ctu.edu.vn
Cộng đồng – Toàn diện – Ưu việt 7 ĐẠI HỌC CẦN THƠ www.ctu.edu.vn
Cộng đồng – Toàn diện – Ưu việt
Nguyên lý II nhiệt động lực học 8 ĐẠI HỌC CẦN THƠ www.ctu.edu.vn
Cộng đồng – Toàn diện – Ưu việt 9 ĐẠI HỌC CẦN THƠ www.ctu.edu.vn
Cộng đồng – Toàn diện – Ưu việt
Động cơ nhiệt 10 ĐẠI HỌC CẦN THƠ www.ctu.edu.vn
Cộng đồng – Toàn diện – Ưu việt Máy làm lạnh 11 ĐẠI HỌC CẦN THƠ www.ctu.edu.vn
Cộng đồng – Toàn diện – Ưu việt Chu trình Carnot 12 ĐẠI HỌC CẦN THƠ www.ctu.edu.vn
Cộng đồng – Toàn diện – Ưu việt
• Operating principle of heat engine
• Operating principle of air-conditioners 13 ĐẠI HỌC CẦN THƠ www.ctu.edu.vn
Cộng đồng – Toàn diện – Ưu việt

