










Preview text:
  lOMoAR cPSD| 58562220
Chapter 5: Valuation: Discounted Cash Flow (DCF) Analysis   1.Definition 
• DCF analysis is a fundamental valuation methodology broadly used. It 
is premised on the principle that the value of a company, division, 
business, or collection of assets (“target”) can be derived from the 
present value of its projected free cash flow (FCF). 
• Intrinsic value can be derived from PV of projected free cash flow 
• Important alternative to market-based valuation techniques 
• Typically, FCF is projected for 5 years. Terminal value (“going 
concern” value) captures remaining value beyond projection period 
• WACC is the discount rate commensurate with business and financial  risks 
• Sensitivity analysis is used to test assumptions  2. 
Steps Step 1: Study the target and determine key performance  drivers  Study the Target 
• Study and learn as much as possible about the target and its sector. A 
thorough understanding of the target’s business model, financial profile, 
value proposition for customers, end markets, competitors, and key 
risks is essential for developing a framework for valuation. Source of 
info: SEC filings, earnings call transcripts, investor presentations, 
MD&A section, equity research reports. 
Determine key performance drivers (sales growth, profitability, FCF  generation): 
• Internal: new facilities/stores/products/customer contracts, improve 
operational and working capital efficiency      lOMoAR cPSD| 58562220
• External: acquisitions, end market trends, consumer buying patterns, 
macroeconomic factors, legislative/regulatory changes. 
Step 2: Project Free Cash Flow 
Free Cash Flow: cash generated after paying all cash operating expenses and 
taxes and after funding capex and working capital, but before paying interest  expense. 
FCF is independent of capital structure. 
FCF = EBIT – Taxes + D&A – Capex – Increase (Decrease) in Net WC 
 = EBIT(1-Tc) + D&A – Capex – Increase (Decrease) in Net WC 
Considerations for Projecting Free Cash Flow 
• Historical performance: Historical performance provides valuable 
insight for developing defensible assumptions to project. The DCF 
customarily begins by laying out the target’s historical financial data for 
the prior three-year period financial statements with adjustments for 
non-recurring items and recent events 
• Projection period length: 5 years, or when financial performance  reaches steady stage 
• Alternative cases: Management case, Base case, and upside and  downside cases 
Projection of Sales, EBITDA, and EBIT Sale Projection 
• Using consensus estimates, equity research, industry reports, consulting 
studies. Be aware of cyclical business 
• Compare projections with target’s historical growth rates, peer 
estimates, sector/market outlook 
• Growth assumptions need to be justifiable 
• Sales projections are consistent with other related assumptions (capex,  working capital)      lOMoAR cPSD| 58562220
COGS and SG&A Projections 
• Historical gross profit margin and SG&A as a percentage of sales 
• For private companies, examine research estimates for peer companies 
EBITDA and EBIT Projection 
• For future 2 or 3 years: use consensus estimates 
• For outer years: hold margins constant at the last year level provided by 
consensus estimates, consider profitability increasing or decreasing 
• For private companies: use historical trends and consensus estimates for  peer companies  Tax Projection 
• The first step in calculating FCF from EBIT is to subtract estimated 
taxes. The result is tax-effected EBIT, also known as EBIAT or NOPAT. 
This calculation involves multiplying EBIT by (1 – t), where “t” is the  target’s marginal tax rate. 
• A marginal tax rate of 35% to 40% is generally assumed for modeling  purposes. 
• The company’s actual tax rate (effective tax rate) in previous years can 
also serve as a reference point  D&A Projections 
• Depreciation: projected as percentage of sales or capex based on 
historical levels. Or build a detailed PP&E schedule. Ensure 
depreciation and capex are in line by the final year of projection period 
• Amortization: projected as percentage of sale, or build detailed 
schedule based on existing intangible assets 
• For some companies, D&A is a separate line item on income statement. 
But more commonly included in COGS or SG&A.      lOMoAR cPSD| 58562220
• D&A as one line-item: projected using 2 methods for depreciation 
above, or D&A = EBITDA - EBIT 
• D&A is non-cash expense. It is added back to EBIAT in the calculation 
of FCF. Hence, while D&A decreases a company’s reported earnings, it  does not decrease its FCF. 
Capital expenditure Projection 
• Historical capex is a reliable proxy 
• Consider company’s strategy, sector, or phase of operations 
• Future planned capex can be found in MD&A section, research reports 
• Generally driven as percentage of sales in line with historical levels 
Change in net working capital Projections 
• An increase in NWC is a use of cash. A decrease in NWC is a source of  cash 
• NWC is projected as percentage of sales 
• Recommended approach is to project each component of current assets 
and current liabilities which is projected based on historical ratios from 
prior year level or 3-year average 
Change in NWC = NWC in year n – NWC in year (n-1) 
NWC = Non-cash current assets – Non-interest-bearing current liabilities 
 = (A/R + Inventory + Prepaid expenses and Other current assets) –  (A/P 
+ Accrued liabilities + Other current liabilities) 
• Accounts receivable: use DSO 
• Inventory: use DIH or Inventory turns 
• Prepaid expenses and Other current assets: projected as percentage of 
sales in line with historical levels      lOMoAR cPSD| 58562220 • Accounts payable: use DPO 
• Accrued liabilities and Other current liabilities: projected as percentage 
of sales in line with historical levels 
DSO (Day sale outstanding) = (A/R / Sales)*365  
DIH (Days inventory held) = (Inventory/COGS)*365 Inventory Turns = 
COGS/Inventory DPO = (A/P / COGS) * 365 Step 3: Calculate 
Weighted Average Cost of Capital 
WACC is also called opportunity cost of capital Steps  for calculating WACC: 
• Determine target capital structure 
• Estimate cost of debt (rd) 
• Estimate cost of equity (re) 
 Calculate WACC : rWACC = rd* (1-T) * D/(D+E) + re * E/(E+D)  
Often use WACC range by sensitizing its key inputs 
Target capital structure: is consistent with long-term strategy. Use company’s 
current and historical debt-to-total capitalization ratios, or mean and median 
of its peers. Target capital structure is held constant throughout projection  period. 
Cost of debt (rd): if company is currently at its target capital structure, , cost 
of debt is derived from blended yield on outstanding debt instruments 
(public and private debt). Otherwise, cost of debt is derived from peer  companies 
• Publicly traded bonds: current yield on all outstanding issues 
• Private debt (revolving credit facilities and term loans): consults with 
debt capital markets specialist for current yield      lOMoAR cPSD| 58562220
• If no current market data, use at-issuance coupons of current debt 
maturities, or estimate company’s credit rating at target capital structure 
and use cost of debt for comparable credits 
Cost of equity (re): use CAPM  
• Cost of equity = Risk-free rate + Levered beta x Market risk premium 
• Beta for public company: use historical beta 
• Beta for private company: is derived from a group of publicly traded 
peer companies, but need to neutralize the effects of different capital  structures: 
✓ Calculate unlevered beta (asset beta) of each peer, then take the  average 
✓ Calculate relevered beta using company’s target capital structure and  marginal tax rate 
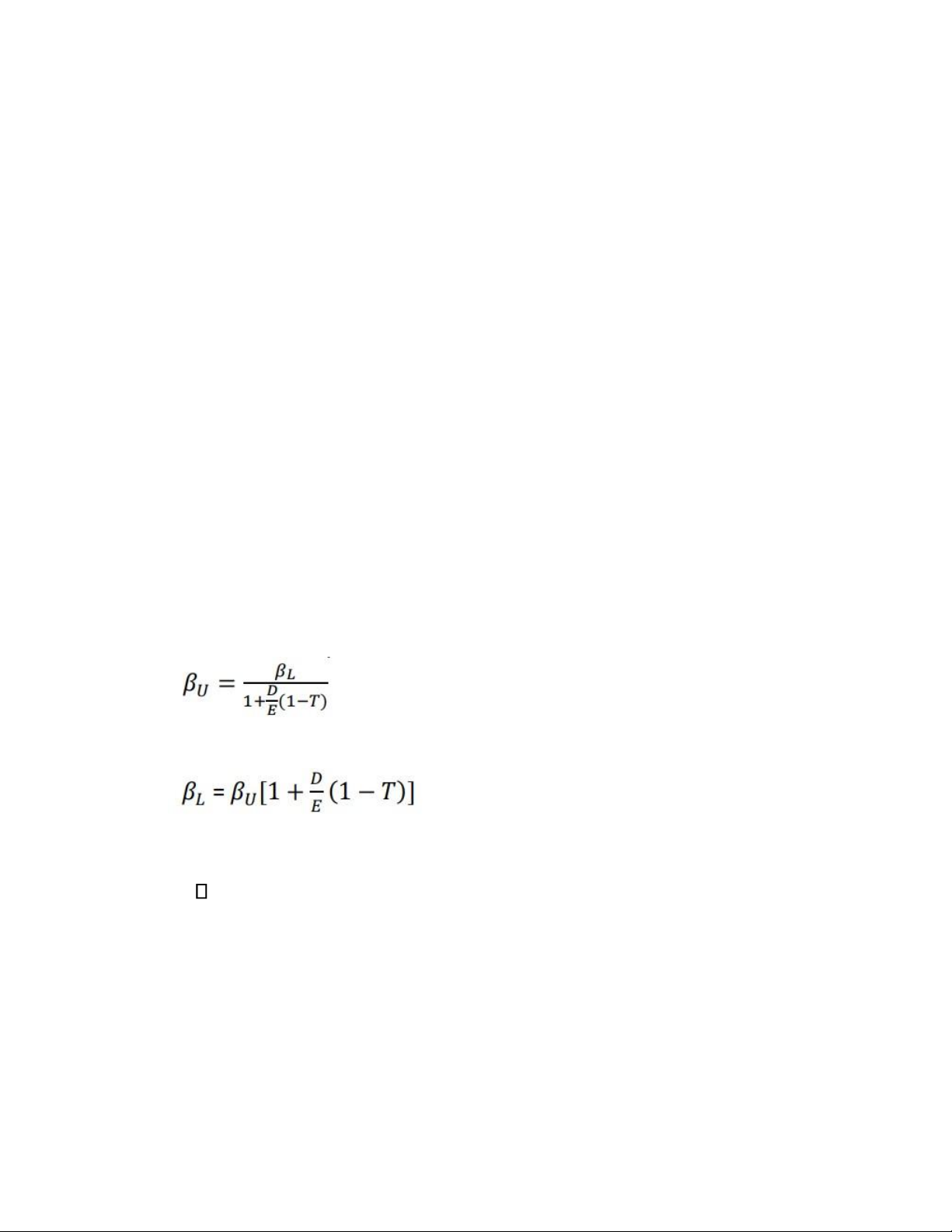
How to calculate levered beta for private company: 
Unlevered beta (asset beta) of each peer:    
Relevered beta of the target company:    
Note: Use avarege 𝛽𝑈 to calculate 
 Size premium (SP): added to cost of equity of CAPM 
re = rf + 𝛽L * (rm –rf) + SP        lOMoAR cPSD| 58562220
Step 4: Determine Terminal Value 
Terminal value is typically calculated on the basis of the company’s FCF (or 
a proxy such as EBITDA) in the final year of the projection period. 
Exit multiple method (EMM):    
Terminal value = EBITDAn x Exit Multiple 
n: terminal year of projection period. Multiple is the current LTM trading 
multiples for comparable companies 
Use normalized trading multiple, normalized EBITDA 
Sensitivity analysis: range of exit multiple Perpetuity  growth method (PGM):    
Terminal value = [FCFn x (1+g)] / (r-g) 
FCF: unlevered free cash flow n: terminal 
year of projection period FCF: unlevered free 
cash flow g: perpetuity growth rate (2% to  4%) r: WACC   
Perpetuity growth rate:  
• Based on company’s expected long-term industry growth rate (2%-4%) 
• Is sensitized to produce valuation range 
The followings are calculated to check between EMM and PGM:      lOMoAR cPSD| 58562220
Implied perpetuity growth rate (end-of-year discounting and mid-year 
discounting) Implied exit multiple (end-of-year discounting and mid-
year discounting) Step 5: Calculate Present Value and Determine  Valuation 
Discount factor: year-end and mid-year convention 
• Year end: Discount factor = 1/(1+WACC)n 
• Mid year: Discount factor = 1/(1+WACC)n-0.5 
Terminal value considerations: if using mid-year convention for FCF of 
projection period, use mid-year discounting for terminal value under PGM, 
but use year-end discounting under EMM  Enterprise value   
Using mid-year discounting with EMM method:   
Implied equity value = Enterprise Value + Prefrerred Stock + Noncontrolling  Interest 
Implied share price = Implied equity value/Fully Diluted Shares Outstanding 
• Sensitivity analysis: The exercise of deriving a valuation range by 
varying key inputs is called sensitivity analysis. Key valuation drivers 
such as WACC, exit multiple, and perpetuity growth rate are the most 
commonly sensitized inputs in a DCF      lOMoAR cPSD| 58562220 Key Pros 
• Cash flow-based: reflects value of projected FCF, a more fundamental  approach to valuation 
• Market independent: more insulated from market bubbles and  distressed periods 
• Self-sufficient: DCF is important when there are limited or no “pure  play” public comparables 
• Flexibility: can run multiple financial performance scenarios (growth 
rates, margins, capex requirements, working capital efficiency)  Key cons 
• Dependence on financial projections: accurate forecasting of financial 
performance is challenging, especially as projection period lengthens 
• Sensitivity to assumptions: small changes in key assumptions (growth 
rates, margins, WACC, exit multiple) can produce different valuation  ranges 
• Terminal value: accounts for three-quarters or more of DCF valuation 
=> decrease the relevance of FCF of projection period 
• Assumes constant capital structure: no flexibility to change capital 
structure over projection period   
1.Calculate FCF using the information below  Assumptions     EBIT  $300  D&A  50  Capex  25 
Inc/(Dec) in Net Working Capital  10  Tax Rate  38%      lOMoAR cPSD| 58562220  
2. Calculate the (increase) / decrease in net working capital from 2012 to 2013 
based on the following assumptions   
3. Using a mid-year convention and the assumptions below,calculate  enterprise value   
4. Using the information below to answer question  Enterprise Value     Cumulative PV of FCF   $1,600  Terminal Value     Terminal year EBITDA   $929.2  Exit Multiple   7.5x  Terminal Value     Discount Factor   0.62      lOMoAR cPSD| 58562220 PV of Terminal Value     % of Enterprise Value     Enterprise Value       a) Calculate Terminal Value  b) Calculate Enterprise Value 
c) Calculate the percentage of enterprise value represented by the terminal  value