


















Preview text:
Chủ đề 2: Mạch điện xoay chiều chỉ có 1 phần tử
Dạng 1: Mạch điện xoay chiều chỉ có điện trở thuần R 1. Phương pháp
Giả sử đặt vào hai đầu đoạn mạch một điện áp u = Uocos(ωt + φu ) điện trở R thì
cường độ dòng điện chạy trong đoạn mạch là i = Iocos(ωt + φi ).
• Định luật Ôm: Io = Uo / R
• Độ lệch pha φ = φu - φi : ta nói dòng điện cùng pha với hiệu điện thế
Các bài toán thường gặp:
Kiểu 1: Giá trị hiệu dụng
• Định luật ôm: I = U / R
• Độ lệch pha: φ = φu - φi
Kiểu 2: Bài toán liên quan tới nhiệt lượng
Khi cho dòng điện xoay chiều chạy qua điện trở R thì có sự tỏa nhiệt trên điện trở
R theo hiệu ứng Junlenxo: Q = I2Rt .
Lượng nhiệt tỏa ra bị nước hấp thụ hết thì: Q = I2Rt = mc(t2 - t2)
• m là khối lượng nước (kg).
• c là nhiệt dung riêng của nước (kJ.kg-1 ).
• Δt = t2 - t2 là độ biến thiên nhiệt độ ( độ tăng hay giảm nhiệt độ của nước).
Nếu hiệu suất của nước hấp thụ nhiệt không đạt 100% thì
Kiểu 3: Bài toán liên quan tới bóng đèn
Khi cho dòng điện xoay chiều chạy qua bóng đèn thì ta có thể áp dụng một cách
tương tự cho dòng điện chạy qua điện trở trong.
Từ số ghi trên bóng đèn cho ta biết công suất định mức Pdm và hiệu điện thế định
mức Udm . Từ đó ta có thể tính được:
• Điện trở của bóng đèn R = U2/P
• Cường độ dòng điện định mức: I = P/U Lưu ý:
• Bóng sáng bình thường khi dòng điện chạy qua bóng bằng dòng điện định mức của bóng.
• Nếu các bóng mắc song song thì
• Nếu các bóng mắc nối tiếp thì 2. Ví dụ
Ví dụ 1. Đặt điện áp xoay chiều u = U√2cos(ωt) vào hai đầu một điện trở thuần R
= 110 Ω thì cường độ dòng điện qua điện trở có giá trị hiệu dụng bằng 2A. Giá trị của U bằng: A. 220 V. B. 220√2 V. C. 110 V. D. 110√2 V.
Ví dụ 2: Một dòng điện xoay chiều có cường độ tức thời i = 4√2cos(100πt) A đi
qua một điện trở R = 7 Ω. Nhúng R vào một bình chứa m = 1,2 kg nước. Hỏi sau
thời gian 10 phút nhiệt độ nước trong bình tăng bao nhiệt độ. Biết hiệu suất của
quá trình đun nước là H = 90% và nhiệt dung riêng của nước là c = 4,2 (kJ/kg.Cο ). A. 20οC B. 25οC C. 10οC D. 12οC B. Bài tập trắc nghiệm
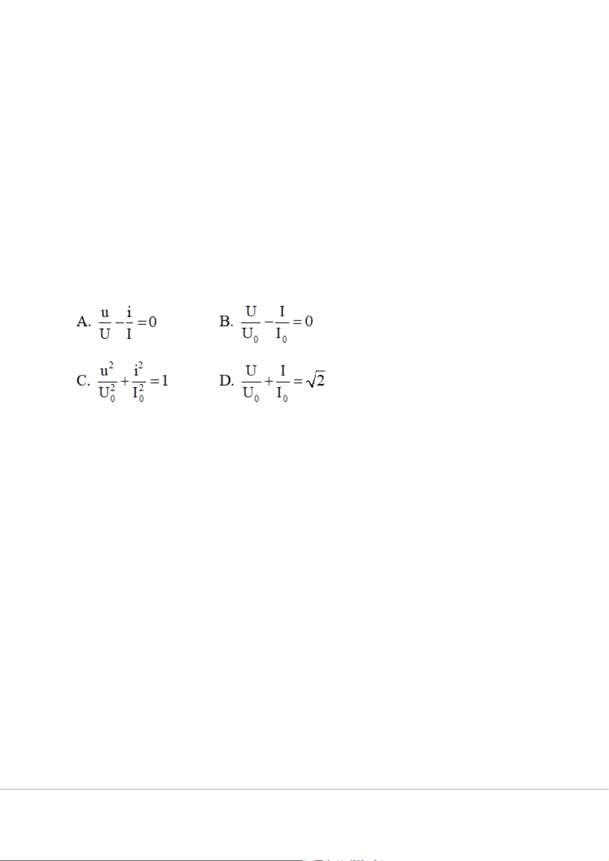
Câu 1. Đặt điện áp xoay chiều u = U0cosωt (V) vào hai đầu đoạn mạch chỉ có
điện trở thuần. Gọi U là điện áp hiệu dụng giữa hai đầu đoạn mạch; i, I0 và I lần
lượt là giá trị tức thời, giá trị cực đại và giá trị hiệu dụng của cường độ dòng điện
trong đoạn mạch. Hệ thức nào sau đây sai?
Câu 2. Điều nào sau đây là đúng khi nói về đoạn mạch xoay chiều chỉ có điện trở thuần?
A. Dòng điện qua điện trở và điện áp hai đầu điện trở luôn cùng pha.
B. Pha của dòng điện qua điện trở luôn bằng không.
C. Mối liên hệ giữa cường độ dòng điện và điện áp hiệu dụng là U = I/R.
D. Nếu điện áp ở hai đầu điện trở là u = Uosin(ωt + φ) V thì biểu thức dòng điện
qua điện trở là i = Iosin(ωt) A.
Câu 3. Chọn phát biểu đúng khi nói về đoạn mạch điện xoay chiều chỉ có điện trở thuần R?
A. Dòng điện xoay chiều chạy qua điện trở luôn có pha ban ban đầu bằng không.
B. Dòng điện xoay chiều chạy qua điện trở luôn cùng pha với điện áp xoay chiều
giữa hai đầu điện trở.
C. Nếu điện áp ở hai đầu điện trở có biểu thức dạng u = Uocos(ωt + π/2) V thì biểu
thức cường độ dòng điện chạy qua điện trở R có dạng
D. Cường độ hiệu dụng I của dòng điện xoay chiều chạy qua điện trở, điện áp cực
đại Uo giữa hai đầu điện trở và điện trở R liên hệ với nhau bởi hệ thức I = Uo/R.
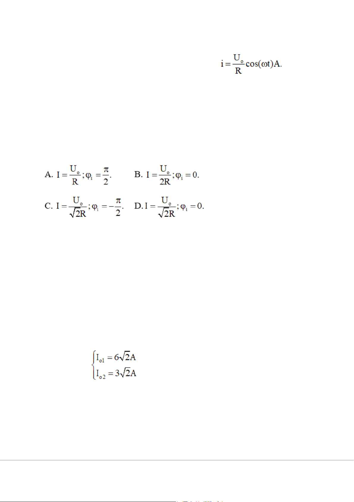
Câu 4. Đặt vào hai đầu đoạn mạch chỉ có điện trở thuần R một điện áp xoay chiều
có biểu thức u = Uocos(ωt) V thì cường độ dòng điện chạy qua điện trở có biểu
thức i = I√2cos(ωt + φi)A, trong đó I và φi được xác định bởi các hệ thức tương ứng là
Câu 5. Đoạn mạch điện xoay chiều gồm hai điện trở thuần R1 = 20 Ω và R2 = 40
Ω mắc nối tiếp với nhau. Đặt vào giữa hai đầu đoạn mạch một điện áp xoay chiều
có biểu thức u = 120√2cos(100πt) V. Kết luận nào sau đây là không đúng ?
A. Dòng điện xoay chiều chạy qua hai điện trở thuần cùng pha với nhau.
B. Dòng điện xoay chiều chạy qua hai điện trở thuần có cùng cường độ hiệu dụng I = 2 A.
C. Dòng điện xoay chiều chạy qua hai điện trở thuần có biểu thức i = 2√2cos(100πt) A
D. Dòng điện xoay chiều chạy qua hai điện trở thuần R1 và R2 có cường độ cực đại lần lượt là
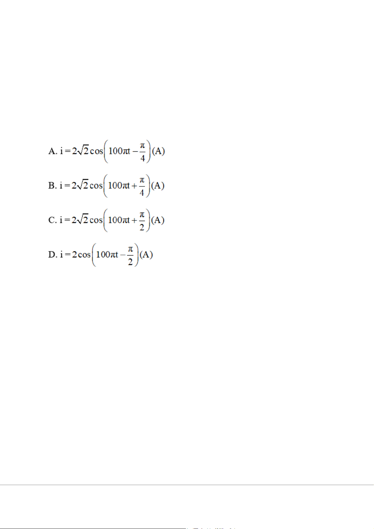
Câu 6. Đặt vào giữa hai đầu một đoạn mạch điện chỉ có điện trở thuần R = 220 Ω
một điện áp xoay chiều có biểu thức u = 220√2cos(100πt - π/3) V. Biểu thức
cường độ dòng điện chạy qua điện trở thuần R là
Câu 7. Biểu thức cường độ của dòng điện xoay chiều chạy qua một điện trở thuần
R = 110 Ω là i = 2√2cos(100πt + π/2) A. Biểu thức điện áp xoay chiều giữa hai đầu điện trở là
Câu 8. Cho đoạn mạch điện xoay chiều chỉ có điện trở thuần R = 50 Ω. Đặt điện
áp u = 120cos(100πt + π/3) V vào hai đầu đoạn mạch. Giá trị hiệu dụng của cường
độ dòng điện trong mạch là
A. 2,4 A. B. 1,2 A. C. 2,4√2 A D. 1,2√2 A
Câu 9. Cho đoạn mạch điện xoay chiều chỉ có điện trở thuần R = 50 Ω. Đặt điện
áp u = 120cos(100πt + π/3) V vào hai đầu đoạn mạch. Biểu thức của cường độ
dòng điện chạy qua điện trở là A. i = 2,4cos(100πt) A.
B. i = 2,4cos(100πt + π/3) A.
C. i = 2,4√2cos(100πt + π/3) A.
D. i = 1,2√2cos(100πt + π/3) A.
Câu 10. Điện áp giữa hai đầu một đoạn mạch điện xoay chiều chỉ có điện trở
thuần R = 100Ω có biểu thức u = 200√2cos(100πt + π/4) (V). Biểu thức của cường
độ dòng điện trong mạch là :
Dạng 2: Mạch điện xoay chiều chỉ có cuộn cảm thuần L 1. Phương pháp
Giả sử dòng điện xoay chiều có dạng: i = Iocos(ωt + φi) thì điện áp xoay chiều có
dạng tổng quát là: u = Uocos(ωt + φu) khi đó:
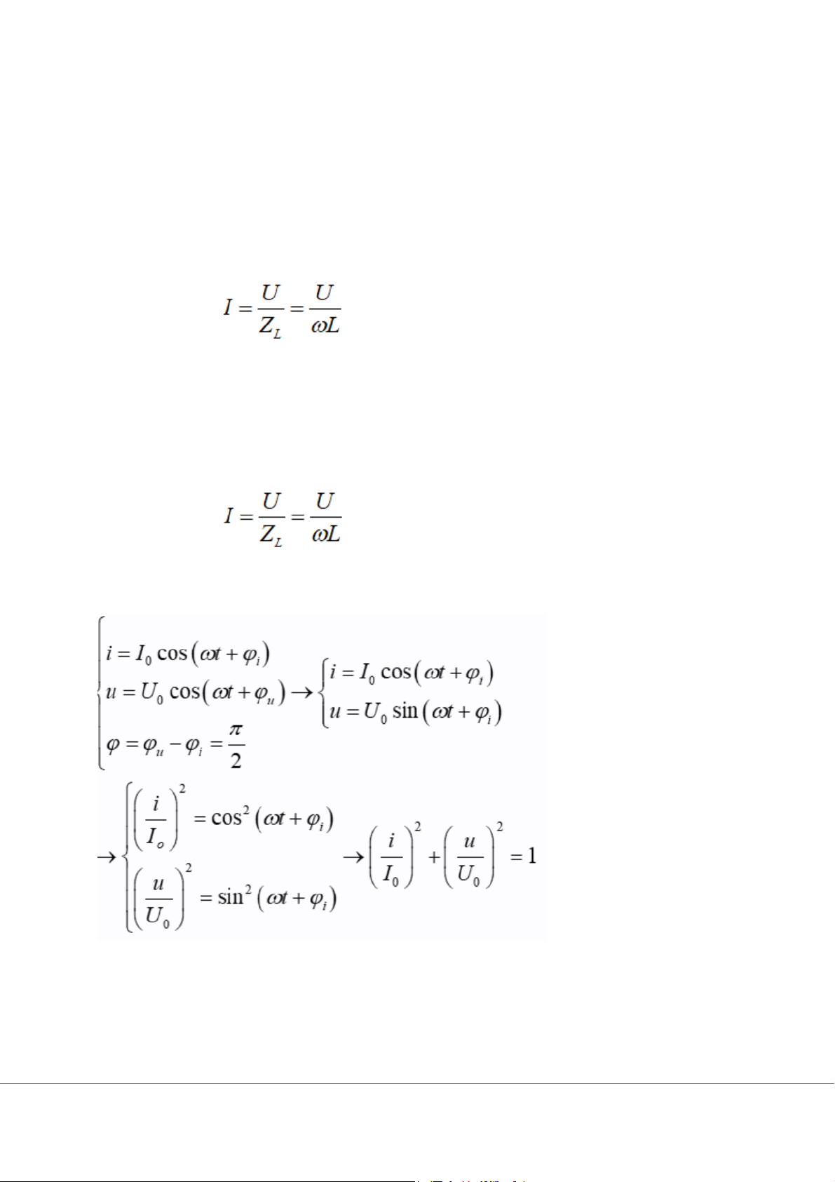
• Đại lượng đặc trưng cho sự cản trở dòng điện là ZL = ωL • Định luật ôm:
• Độ lệch pha là φ = φ2 - φ1 = π/2. Hiệu điện thế nhanh pha hơn dòng điện là π/2.
Kiểu 1: Xác định hệ số tự cảm L, tần số f.
• Cảm kháng φ = φ2 - φ1 = π/2 • Định luật ôm:
Kiểu 2: Bài toán về giá trị tức thời 2. Ví dụ
Ví dụ 1: Đặt điện áp u = Uocosωt vào hai đầu cuộn cảm thuần có độ tự cảm L thì
cường độ dòng điện qua cuộn cảm là
Ví dụ 2: Đặt điện áp u = U√2cos(ωt) vào hai đầu một cuộn cảm thì cường độ
dòng điện qua nó có giá trị hiệu dụng là I. Tại thời điểm t, điện áp ở hai đầu cuộn
cảm là u và cường độ dòng điện qua nó là i. Hệ thức liên hệ giữa các đại lượng là
Ví dụ 3: Cuộn dây thuần cảm có độ tự cảm L. Đặt vào hai đầu cuộn dây điện áp
xoay chiều u = Uocos(100πt) . Tại thời điểm t = t1 điện áp tức thời và cường độ
dòng điện tức thời có giá trị lần lượt u1 = 50 V, i1 = √2A . Đến thời điểm t = t2 thì
u2 = 50√2 V, i2 = 1 A. Tìm L? A. 2/π H. B. 1/2π H. C. 1/π H. D. 1/3π H. B. Bài tập trắc nghiệm
Câu 1. (TN 2011). Đặt điện áp u = 100cos100πt (V) vào hai đầu một cuộn cảm
thuần có độ tự cảm 1/(2π) H. Biểu thức cường độ dòng điện qua cuộn cảm là
Câu 2. (ĐH 2009). Đặt điện áp xoay chiều u = U0cos(100πt + π/3) (V) vào hai đầu
một cuộn cảm thuần có độ tự cảm L = 1/(2π) (H). Ở thời điểm điện áp giữa hai
đầu cuộn cảm là 100√2 V thì cường độ dòng điện qua cuộn cảm là 2 A. Biểu thức
của cường độ dòng điện qua cuộn cảm là
Câu 3. (ĐH 2010). Đặt điện áp u = U0cosωt vào hai đầu cuộn cảm thuần có độ tự
cảm L thì cường độ dòng điện qua cuộn cảm là
Câu 4. Đặt vào hai đầu một cuộn cảm thuần L một điện áp xoay chiều có giá trị
hiệu dụng U không đổi và tần số f thay đổi. Khi f = 60 Hz thì cường độ hiệu dụng
qua L là 2,4 A. Để cường độ hiệu dụng qua L bằng 3,6 A thì tần số của dòng điện phải bằng
A. 75 Hz B. 40 Hz C. 25 Hz D. 50√2 Hz
Câu 5. Đặt vào hai đầu đoạn mạch chỉ có cuộn cảm thuần một điện áp xoay chiều
u = U0cos100πt (V). Biết giá trị điện áp và cường độ dòng điện tại thời điểm t1 là
u1 = 50√2 (V), i1 = √2 (A) và tại thời điểm t2 là u2 = 50 (V), i2 = - √3 (A). Giá trị U0 là
A. 50 V B. 100 V C. 50√3 V D. 100√2 V
Câu 6. Đặt vào hai đầu một cuộn cảm thuần có độ tự cảm 0,3/π (H) một điện áp
xoay chiều. Biết điện áp có giá trị tức thời 60√6 (V) thì dòng điện có giá trị tức
thời √2 (A) và khi điện áp có giá trị tức thời 60√2 (V) thì dòng điện có giá trị tức
thời √6 (A). Hãy tính tần số của dòng điện.
A. 120 (Hz) B. 50 (Hz) C. 100 (Hz) D. 60 (Hz)
Câu 7. (ĐH-2010). Đặt điện áp u = U0cosωt (V) vào hai đầu cuô •n cảm thuần có đô •
tự cảm L thì cường độ dòng điện qua cuộn cảm là
Câu 8. Đồ thị biểu diễn cường độ tức thời của dòng điện xoay chiều chỉ có cuộn
cảm thuần có cảm kháng ZL = 50 Ω ở hình vẽ bên. Viết biểu thức điện áp tức thời
giữa hai đầu cuộn cảm.
Câu 9. Đặt vào hai đầu đoạn mạch chỉ có cuộn cảm thuần có độ tự cảm 0,4/π (H)
một điện áp xoay chiều u = U0cos100πt (V). Nếu tại thời điểm t1 điện áp là 60 (V)
thì cường độ dòng điện tại thời điểm t1 + 0,035 (s) có độ lớn là
A. 1,5 A B. 1,25 A C. 1,5√3 A D. 2√2 A
Câu 10. Hiệu điện thế giữa hai đầu một đoạn mạch điện xoay chiều chỉ có cuộn
cảm có độ tự cảm L = 1/π H có biểu thức u = 200√2cos(100πt + π/3) (V). Biểu
thức cường độ dòng điện trong mạch là :
Dạng 3: Mạch điện xoay chiều chỉ có tụ điện C 1. Phương pháp
Giả sử dòng điện xoay chiều có dạng: i = Iocos(ωt + φi) thì điện áp xoay chiều có
dạng tổng quát là: u = Uocos(ωt + φu) khi đó:
• Đại lượng đặc trưng cho sự cản trở dòng điện là • Định luật ôm:
• Độ lệch pha là φ = φu - φi = -π/2: Hiệu điện thế chậm pha hơn dòng điện là π/2.
Kiểu 1: Xác định điện dung C, tần số f. • Dung kháng: • Định luật ôm:
Kiểu 2: Bài toán về giá trị tức thời: Lưu ý:
• Khi ghép tụ nối tiếp thì điện dụng của bộ tụ được xác định
• Khi ghép tụ song song thì điện dung của bộ tụ được xác định: Cb = C1 + C2 + ... + Cn
• Điện dung của tụ phẳng được đặt trong môi trường có hằng số điện môi ε:
Trong đó: ε là hằng số điện môi và d là khoảng cách giữa hai bản tụ và S là diện
tích đối diện giữa các bản tụ 2. Ví dụ
Ví dụ 1: Một tụ điện khi mắc vào nguồn u = U√2 cos(100πt + π) (với u tính bằng
V và t tính bằng s) thì cường độ dòng điện hiệu dụng qua mạch là 2 A. Nếu mắc tụ
vào nguồn điện u = U.cos(120πt + π/2) V thì cường độ dòng điện hiệu dụng qua mạch là bao nhiêu? A. 1,2√2 A. B. 1,2 A. C. 2 A. D. 3,5 A.
Ví dụ 2: Đặt điện áp u = Uocos(100πt – π/6) ( t tính bằng s) vào hai đầu một tụ
điện có điện dung 1/5π mF. Ở thời điểm điện áp giữa hai đầu tụ điện là 200 V thì
cường độ dòng điện trong mạch là 3,0 A. Biểu thức cường độ dòng điện trong mạch là A. i = 5cos(100πt + π/3) A. B. i = cos(100πt + π/3) A. C. i = 5cos(100πt - π/6) A. D. i = cos(100πt - π/6) A.
Ví dụ 3: Đặt vào hai đầu tụ có điện dung C = 1/5π mF một điện áp có dạng u =
150√2 cos(100πt)V. Tính cường độ dòng điện khi điện áp bằng 75√2 (V). B. Bài tập trắc nghiệm
Câu 1. (ĐH 2009). Đặt điện áp u = U0cos(100πt - π/3) (V) vào hai đầu một tụ điện
có điện dung 2.10-4/π (F). Ở thời điểm điện áp giữa hai đầu tụ điện là 150 V thì
cường độ dòng điện trong mạch là 4 A. Biểu thức của cường độ dòng điện trong mạch là
cường độ dòng điện qua nó có giá trị hiệu dụng là I. Tại thời điểm t, điện áp ở hai
đầu tụ điện là u và cường độ dòng điện qua nó là i. Hệ thức liên hệ giữa các đại lượng là
Câu 3. Một tụ điện khi mắc vào nguồn u = U√2cos(100πt + π) (V) thì cường độ
hiệu dụng qua mạch là 2A. Nếu mắc tụ vào nguồn u = Ucos(120πt + 0,5π) (V) thì
cường độ hiệu dụng qua mạch là bao nhiêu?
A. 1,2√2 V B. 1,2 V C. √2 V D. 3,5 V
Câu 4. Đoạn mạch điện xoay chiều tần số f1 = 60Hz chỉ có một tụ điện. Nếu tần
số là f2 thì dung kháng của tụ điện tăng thêm 20%. Tần số A. f2 = 72Hz B. f2 = 50Hz C. f2 = 10Hz D. f2 = 250Hz
Câu 5. Một tụ điện phẳng không khí được nối vào nguồn điện xoay chiều thì
cường độ hiệu dụng qua mạch là 5,4 A. Nếu nhúng hai phần ba diện tích các bản
tụ ngập vào trong điện môi lỏng (có hằng số điện môi ε = 2 ) và các yếu tố khác
không đổi thì cường độ hiệu dụng qua tụ là
A. 7,2 A B. 8,1 A C. 10,8 A D. 9,0 A
Câu 6. Một tụ điện phẳng không khí có hai bản song song cách nhau một khoảng
d được nối vào nguồn điện xoay chiều thì cường độ hiệu dụng qua mạch là 6,8 A.
Đặt vào trong tụ điện và sát vào một bản tụ một tấm điện môi dày 0,3d có hằng số
điện môi ε = 2 thì cường độ hiệu dụng qua tụ là
A. 2,7 A B. 8,0 A C. 10,8 A D. 7,2 A
Câu 7. (ĐH-2011) Đặt điện áp u = U√2cosωt vào hai đầu một tụ điện thì cường
độ dòng điện qua nó có giá trị hiệu dụng là I. Tại thời điểm t, điện áp ở hai đầu tụ
điện là u và cường độ dòng điện qua nó là i. Hệ thức liên hệ giữa các đại lượng là
Câu 8. Một đoạn mạch mắc nối tiếp gồm: tụ điện có dung kháng ZC và cuộn cảm
thuần có cảm kháng ZL = 0,5ZC. Điện áp giữa hai đầu tụ: UC = 100cos(100πt +
π/6) V. Điện áp giữa hai đầu đoạn mạch là:
A. u = 200cos(100πt - 5π/6) V B. u = 200cos(100πt - π/3) V
C. u = 100cos(100πt - 5π/6) V D. u = 50cos(100πt + π/6) V
Câu 9. (ĐH-2009) Đặt điện áp u = U0cos(100πt - π/3) (V) vào hai đầu một tụ điện
có điện dung 0,2/π (mF). Ở thời điểm điện áp giữa hai đầu tụ điện là 150 V thì
cường độ dòng điện trong mạch là 4 A. Biểu thức của cường độ dòng điện trong mạch là
Câu 10. Đặt vào hai đầu tụ điện có điện dung 1/(3π) (mF) một điện áp xoay chiều.
Biết điện áp có giá trị tức thời 60√6 (V) thì dòng điện có giá trị tức thời √2 (A) và
khi điện áp có giá trị tức thời 60√2 (V) thì dòng điện có giá trị tức thời √6 (A).
Ban đầu dòng điện tức thời bằng giá trị cực đại, biểu thức của dòng điện là
Câu 11. Đặt vào hai đầu đoạn mạch chỉ có tụ điện có điện dung 0,1/π (H) một
điện áp xoay chiều u = U0cos100πt (V) Nếu tại thời điểm t1 điện áp là 50 (V) thì
cường độ dòng điện tại thời điểm t + 0,005 (s) là:
A. - 0,5 A B. 0,5 A C. 1,5 A D. - 1,5 A