













Preview text:
Chương 1. Trường tĩnh điện
Phần 0: Công thức cần nhớ
1. Lực tương tác Coulomb giữa 2 điện tích: với
2. Điện trường: Vector cường độ điện trường:
- Cường độ điện trường tại 1 điểm cách điện tích điểm (cầu rỗng) mang điện:
- Cường độ điện trường gây bởi 1 sợi dây thẳng (trụ rỗng) dài vô hạn mang điện đều tại 1 điểm cách dây khoảng :
. với : mật độ điện dài của dây.
- Cường độ điện trường gây bởi 1 mặt phẳng mang diện đều tại mọi điểm xung quanh mặt đều bằng:
: mật độ diện tích mặt.
- Cường độ điện trường tại điểm nằm trên trục mặt phẳng đĩa tròn bán kính mang diện cách tâm đĩa khoảng :
- Cường độ điện trường tại điểm nằm trên trục vòng dây tròn tích điện bán kính , cách tâm vòng khoảng :
- Cường độ điện trường tại điểm M nằm trong quả cầu đặc bán kính cách tâm khoảng :
- Cường độ điện trường tại điểm N nằm ngoài quả cầu đặc bán kính cách tâm khoảng :
- Cường độ điện trường tại điểm M nằm trong ống trụ đặc bán kính cách trục khoảng : .
- Cường độ điện trường tại điểm N nằm ngoài ống trụ đặc bán kính cách tâm khoảng :
Tổng quát cho trường hợp quả cầu rỗng hay trụ rỗng tương tự như quả cầu đặc hay trụ
đặc. Chỉ khác điện trường bên trong chúng bằng 0 .
- Trường hợp 2 mặt cầu đồng tâm ( 2 mặt trụ song song đồng trục) xem xét vị trí điểm:
Điểm nằm ngoài mặt cầu (trụ) trong, nằm trong mặt cầu (trụ) ngoài Chỉ mặt cầu trong gây ra .
Điểm nằm trong cả 2 mặt .
Điểm nằm ngoài cả 2 mặt Cả 2 mặt đều gây ra
Áp dụng nguyên lý chồng chất .
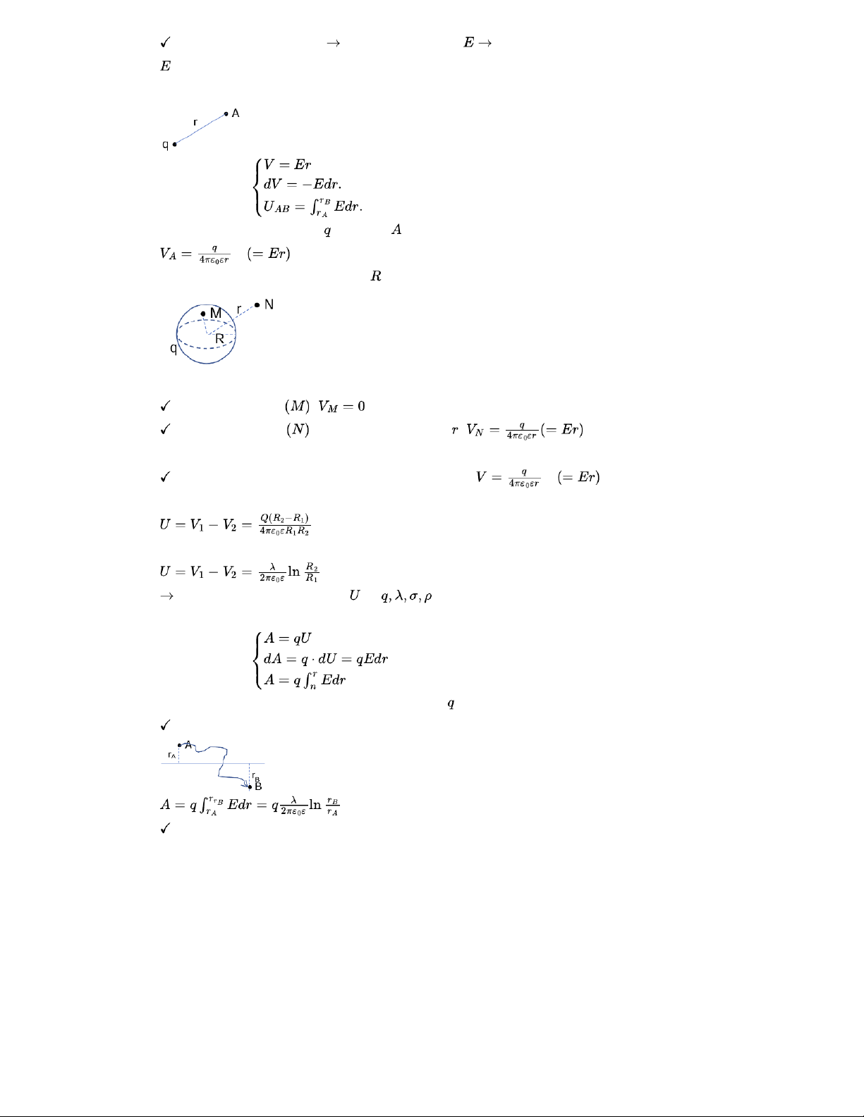
3. Điện thế. Hiệu diện thế: Quy tắc chung: (Điện trường đều).
- Điện thế do điện tích điểm gây ra tại : .
- Điện thế do mặt cầu rỗng bán kính gây ra tại điểm: Bên trong mặt cầu : . Bên ngoài mặt cầu
, cách tâm mặt cầu đoạn : . (coi như điện tích điểm).
Sát mặt cầu (do không xác định được trên mặt cầu): .
- Hiệu điện thế giữa hai mặt cầu đồng tâm, mang diện bằng nhau, trái dấu: .
- Hiệu điện thế giữa hai mặt trụ đồng trục, mang điện bằng nhau, trái dấu: .
Chủ yếu dùng để liên hệ giữa và . 4. Công. Năng lượng. Quy tắc chung:
- Công mà lực điện trường thực hiện khi diện tích di chuyển trong nó: Dây dẫn thẳng: . Điện tich điểm: Trên trục vòng dây: .
5.Dạng bài tập hai quả cầu giống nhau treo trong chất điện môi:
Khối lượng riêng của mỗi quả cầu để góc lệch trong điện môi và không khí là như nhau:
. Trong đó: là khối lượng riêng của điện môi, là hằng số điện môi.
6. Dạng toán hạt mang điện rơi tự do:
Hạt mang điện rơi tự do trong không khí với vận tốc , khi có điện trường rơi với vận tốc
Khi đó điện tích của hạt: .
7. Một số công thức và dạng bài tập khác:
- Lực gây ra tại tâm nửa vòng xuyến mang điện tích bán kính : .
- Điện trường trên trục đĩa tròn bán kính bị khoét 1 lỗ bán kính : .
- Điện trường cách thanh kim loại (dây) dài hữu hạn trên trung trực của thanh (dây), cách
thanh (dây) đoạn , cách đầu mút của thanh (dây) đoạn : .
Phần 1: Bài tập định hướng Câu 1 [ID:5254]. Câu 2 [ID:5255]. Câu 3 [ID:5256]. Câu 4 [ID:5257]. Câu 5 [ID:5258]. Câu 6 [ID:5259]. Câu 7 [ID:5260]. Câu 8 [ID:5261]. Câu 9 [ID:5262]. Câu 10 [ID:5263]. Câu 11 [ID:5264]. Câu 12 [ID:5265]. Câu 13 [ID:5266]. Câu 14 [ID:5267]. Câu 15 [ID:5268]. Câu 16 [ID:5292]. Câu 17 [ID:5293]. Câu 18 [ID:5294]. Câu 19 [ID:5295].
Phần 2: Bài tập tự luyện Câu 20 [ID:5269]. Câu 21 [ID:5270]. Câu 22 [ID:5271]. Câu 23 [ID:5272]. Câu 24 [ID:5273]. Câu 25 [ID:5274]. Câu 26 [ID:5275]. Câu 27 [ID:5276]. Câu 28 [ID:5277]. Câu 29 [ID:5278]. Câu 30 [ID:5279]. Câu 31 [ID:5280]. Câu 32 [ID:5281]. Câu 33 [ID:5282]. Câu 34 [ID:5283]. Câu 35 [ID:5284]. Câu 36 [ID:5285]. Câu 37 [ID:5286]. Câu 38 [ID:5287]. Câu 39 [ID:5288]. Câu 40 [ID:5289]. Câu 41 [ID:5290]. Câu 42 [ID:5291].