








Preview text:
Chương 8: Chỉ số thống kê
Thống kê trong kinh tế và kinh doanh I. Khái niệm chung 1. Khái niệm
Chỉ số trong thống kê là số tương đối biểu hiện quan hệ so sánh giữa hai mức
độ cùng loại của hiện tượng nghiên cứu
Số tương đối là chỉ số? SAI
5 loại số tương đối: (in đậm là chỉ số) Động thái Kế hoạch Không gian Kết cấu Cường độ 2. Phân loại
Theo đặc điểm quan hệ thiết lập giữa hai mức độ cùng loại của hiện tượng
Chỉ số phát triển (số tương đối động thái, chỉ tiêu tốc độ phát triển)
Chỉ số không gian (số tương đối không gian)
Chỉ số kế hoạch (số tương đối kế hoạch) Theo phạm vi tính Chỉ số đơn (cá thể)
Chỉ số tổng hợp (chung) Theo nội dung
Chỉ số của chỉ tiêu chất lượng
Chỉ số của chỉ tiêu số lượng
Viết chỉ số Chất lượng trước → Số lượng sau 3. Tác dụng
4. Đặc điểm của phương pháp chỉ số
Khi so sánh 2 mức độ của hiện tượng thì cần chuyển các mức độ này về dạng
cùng loại để có thể cộng và so sánh trực tiếp được với nhau.
Khi có nhiều nhân tố tham gia vào tính toán thì giả định chỉ có một nhân tố
nghiên cứu thay đổi còn các nhân tố khác cố định ở 1 kỳ nào đó
II. Phương pháp tính chỉ số 1. Chỉ số phát triển 1.1. Chỉ số đơn
Chỉ số đơn của chỉ tiêu chất lượng (lấy giá bán p làm ví dụ)
Phản ánh biến động giá bán của từng mặt hàng ở kỳ nghiên cứu so với kỳ gốc Ip = p1/p0
p1: Kỳ nghiên cứu (kỳ báo cáo) - Thời gian sau
p0: Kỳ gốc - Thời gian trước
Chỉ số đơn của chỉ tiêu số lượng (lấy lượng hàng tiêu thụ q làm ví dụ)
Phản ánh biến động khối lượng tiêu thụ của từng mặt hàng nghiên cứu so với kỳ gốc Iq = q1/q0 1.2. Chỉ số tổng hợp
Chỉ số tổng hợp giá: Phân tích sự
biến động của ít nhất 2 mặt hàng
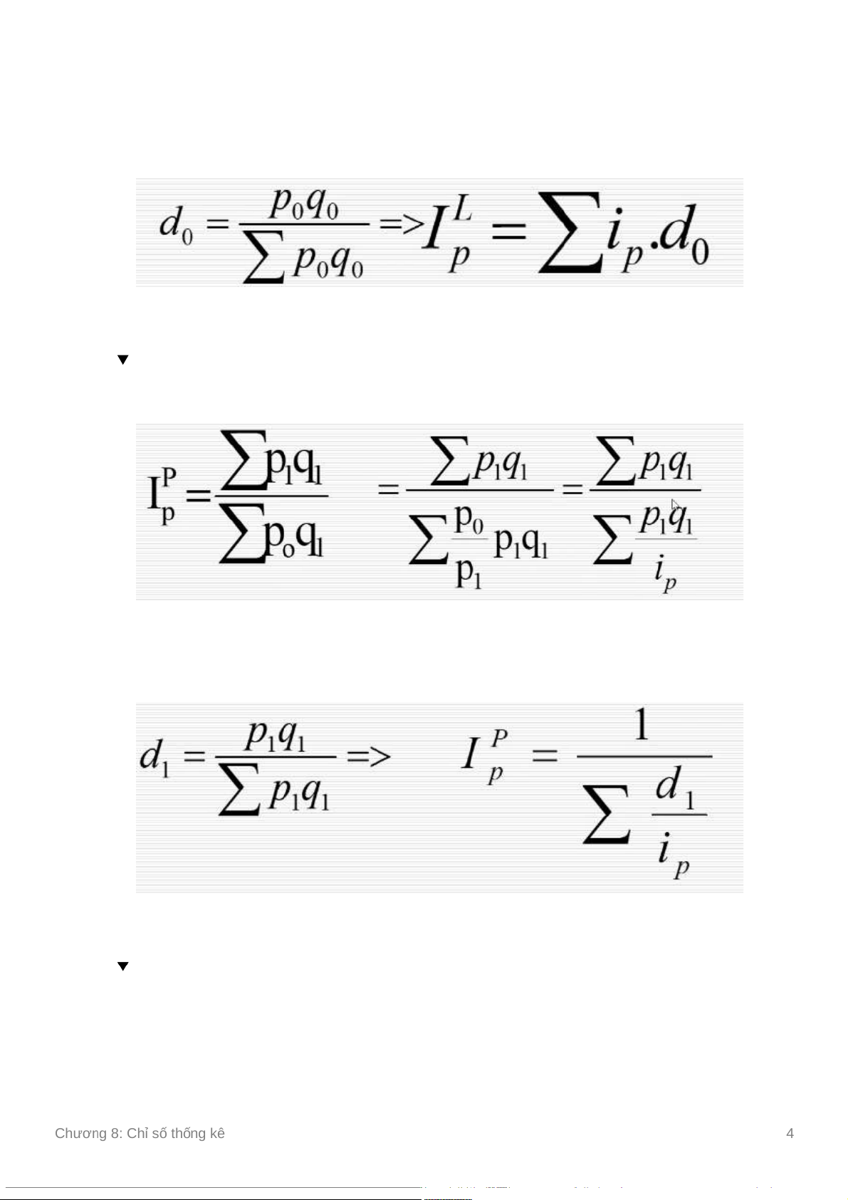
Chỉ số tổng hợp giá của Laspayress: quyền số là khối lượng tiêu thụ (của mỗi mặt hàng) ở kỳ gốc q0
Bản chất của chỉ số tổng hợp giá tính theo Las là TBC gia quyền của các chỉ số đơn giá
Quyền số ở đây là tỉ trọng của kỳ gốc
Chỉ số tổng hợp giá của Passche: quyền số là khối lượng tiêu thụ (của mỗi
mặt hàng) ở kỳ nghiên cứu q1
Bản chất của chỉ số tổng hợp giá tính theo Pass là bình quân điều hòa ( là 1 loại bình quân cộng)
Quyền số ở đây là tỷ trọng của kỳ nghiên cứu
Chỉ số tổng hợp giá của Fisher (được áp dụng khi chỉ số tổng hợp giá tính
theo Las và Pass cho kết quả chênh lệch nhau nhiều)
Chỉ số tổng hợp lượng hàng tiêu thụ
Chỉ số tổng hợp lượng của Laspayress: quyền số là giá của từng mặt hàng ở kỳ gốc p0
Bản chất là TBC gia quyền của các chỉ số đơn lượng
Chỉ số tổng hợp lượng của Passche: quyền số là giá của từng mặt hàng ở kỳ nghiên cứu p1
Chỉ số tổng hợp lượng của Fisher: LƯU Ý 2. Chỉ số không gian 2.1. Chỉ số đơn
Chỉ số đơn của chỉ tiêu chất lượng
Chỉ số đơn của chỉ tiêu số lượng 2.2. Chỉ số tổng hợp Chỉ số tổng hợp giá
Q = qA + qB (tổng lượng hàng tiêu thụ
của 2 thị trường theo từng mặt hàng)
Chỉ số tổng hợp lượng hàng tiêu thụ
Pn: giá cố định do nhà nước quy định cho từng mặt hàng
p ngang là giá bình quân ở 2 thị trường 3. Chỉ số kế hoạch III. Hệ thống chỉ số 1. Khái niệm chung
Hệ thống chỉ số: tập hợp/một dãy các chỉ số có mối liên hệ với nhau, hợp thành một phương trình cân bằng Tối thiểu: 3 chỉ số A.B = C