



Preview text:
11) a) 268 b) 19,332 4) a) 98,28% b) 102,23% c) 100,25% b) Số bình quân nhân * Chú ý
- Được áp dụng khi giữa các lượng biến có mối quan hệ tích ( cụ thể: tốc độ phát triển bình quân )
- Là cơ sở để tính tốc độ tăng hoặc giảm bình quân
c) Điều kiện vận dụng số bình quân
- Cần được kết hợp với các số bình quân tổ hoặc dãy số phân phối 2. Mode (Mo) a) Khái niệm
- Biểu hiện của 1 tiêu thức nào đó được gặp nhiều nhất trong tổng thể hay trong dãy số phân phối b) Đặc điểm
- Không chịu ảnh hưởng của các lượng biến đột xuất trong dãy số phân phối
- Có thể không tồn tại Mốt hoặc cũng có thể tồn tại nhiều Mốt
- Được sử dụng đối với cả biến định tính và định lượng c) Cách xác định
- Đối với dãy số thuộc tính
+ Là biểu hiện có tần số lớn nhất trong dãy số
- Đối với dãy số lượng biến
+ Bước 1: Xác định tổ chứa Mốt ( là tổ có tần số lớn nhất nếu dãy số phân phối
không có khoảng cách hoặc có khoảng cách bằng nhau, là tổ có mật độ phân phối
lớn nhất nếu dãy số phân phối có khoảng cách tổ không bằng nhau )
+ Bước 2: Xác định Mốt
Không có khoảng cách tổ: Lượng biến có tần số lớn nhất trong dãy số
Có khoảng cách tổ bằng nhau: Được xác định bằng công thức (với :là giới hạn dưới h :là khoảng cách tổ
:là tần số của tổ chứa mốt)
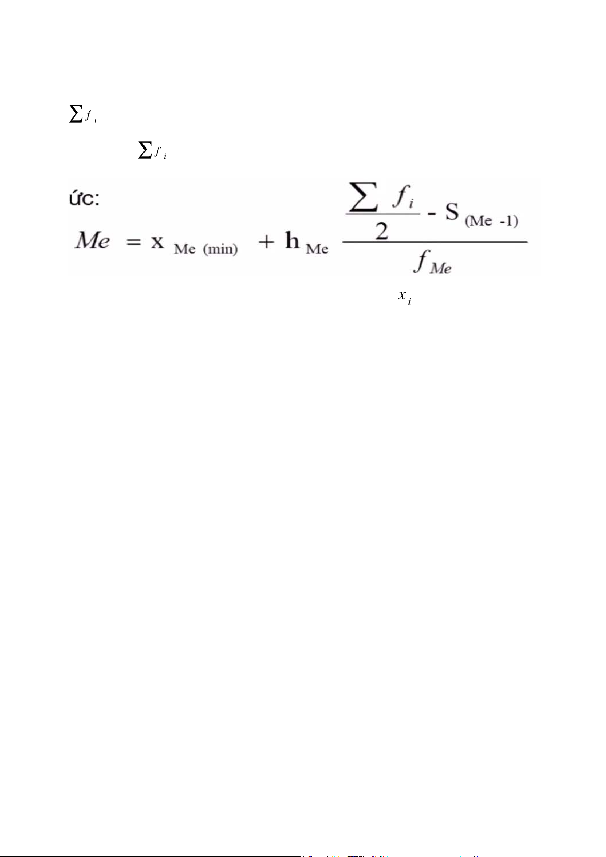
Có khoảng cách tổ không bằng nhau 3. Trung vị (Median – Me) a) Khái niệm
- Là lượng biến tiêu thức của đơn vị đứng ở vị trí giữa trong dãy số lượng biến b) Đặc điểm
- Không chịu ảnh hưởng bởi các lượng biến đột xuất
- Được sử dụng đối với biến định lượng c) Cách xác định
- Xác định tổ chứa số trung vị Me:
+ Nếu số đơn vị tổng thể là lẻ (2m + 1) Số trung vị: (m + 1)
+ Nếu số đơn vị tổng thể là chẵn (2m) Số trung vị: m và (m + 1)
(*Trước khi xác định tổ chứa Me, cần tính tần số tích luỹ fi và đảm bảo lượng biến
được sắp xếp theo trình tự tăng dần) - Xác định Me:
+ Nếu không có khoảng cách tổ: Me sẽ là lượng biến ở vị trí thứ (m+1) nếu = (2m + 1)
sẽ là trung bình của 2 lượng biến m và (m+1) nếu = 2m
+ Nếu dãy số phân phối có khoảng cách tổ thì Me được xác định:
(*Khi tính trung bình với dãy số có khoảng cách tổ thì lấy là trị số giữa của từng tổ)