




Preview text:
CHƯƠNG VII: THƯƠNG MẠI QUỐC TẾ I.
Thương mại tự do và lợi ích
1. Lợi thế tuyệt đối và lợi thế tương đối
-Lợi thế tuyệt đối: khả năng sản xuất ra 1 hàng hóa sử dụng ít đầu vào sản xuất hơn so với nhà sản xuất khác
- Lợi thế so sánh(tương đối): khả năng sản xuất ra 1 hàng hóa với chi
phí cơ hội thấp hơn so với nhà sản xuất khác
=> Thương mại quốc tế có thể đem lại lợi ích cho tất cả mọi người trong
xã hội vì nó cho phép con người có thể chuyên môn hoá vào hoạt
động mà họ có lợi thế so sánh.
2. Lợi ích từ thương mại quốc tế
a. Lợi ích của việc xuất khẩu
-Khi một quốc gia trở thành nhà xuất khẩu hàng hoá thì:
oGiảm thặng dư tiêu dùng trong nước (ng tiêu dùng thiệt)
oTăng thặng dư sx trg nước (doanh nghiệp lợi)
oTăng lợi ích ròng cho quốc gia
b. Lợi ích từ việc xuất khẩu
c. Tăng thặng dư tiêu dùng của người tiêu dùng trong nước
-Tăng thặng dư tiêu dùng trg nước
-Giảm thặng dư sx trg nước
-Tăng lợi ích ròng cho quốc gia d.Một số lợi ích khác -Tăng sự đa dạng
-Giảm chi phí thông qua tính kinh tế của quy mô
-Tăng cạnh tranh, đổi mới sáng tạo II.
Các chính sách thương mại quốc tế.
1. Các công cụ, biện pháp bảo hộ
-Thuế quan: Thuế xuất khẩu, thuế nhập khẩu
-Các biện pháp phi thuế quan: hạn ngạch, hàng rào kỹ thuật, hạn chế xuất --
Các biện pháp phi thuế quan: hạn ngạch, hàng
rào kỹ thuật, hạn chế xuất --
Các biện pháp phi thuế quan: hạn ngạch, hàng
rào kỹ thuật, hạn chế xuất --
Các biện pháp phi thuế quan: hạn ngạch, hàng
rào kỹ thuật, hạn chế xuất --
Các biện pháp phi thuế quan: hạn ngạch, hàng
rào kỹ thuật, hạn chế xuất --
Các biện pháp phi thuế quan: hạn ngạch, hàng
rào kỹ thuật, hạn chế xuất --
Các biện pháp phi thuế quan: hạn ngạch, hàng
rào kỹ thuật, hạn chế xuất --
Các biện pháp phi thuế quan: hạn ngạch, hàng
rào kỹ thuật, hạn chế xuất --
Các biện pháp phi thuế quan: hạn ngạch, hàng
rào kỹ thuật, hạn chế xuất --
Các biện pháp phi thuế quan: hạn ngạch, hàng
rào kỹ thuật, hạn chế xuất
- Các biện pháp phi thuế quan: hạn ngạch, hàng rào kỹ
thuật, hạn chế xuất khẩu tự nguyện.
a. Chính sách can thiệp vào các hoạt động nhập khẩu Thuế nhập khẩu:
-Với việc chính phủ đánh thuế nhập khẩu hàng hoá sẽ làm:
oGiảm thặng dư tiêu dùng của người tiêu dùng trong nước.
oTăng thặng dư sản xuất trong nước oBảo vệ nhà sản xuất trong nước. oTăng nguồn thu cho chính phủ bằng thuế nhập khẩu
oGiảm lợi ích ròng xã hội so với trước khi đánh thuế nhập khẩu
+ Tăng lợi ích ròng xã hội cho quốc gia
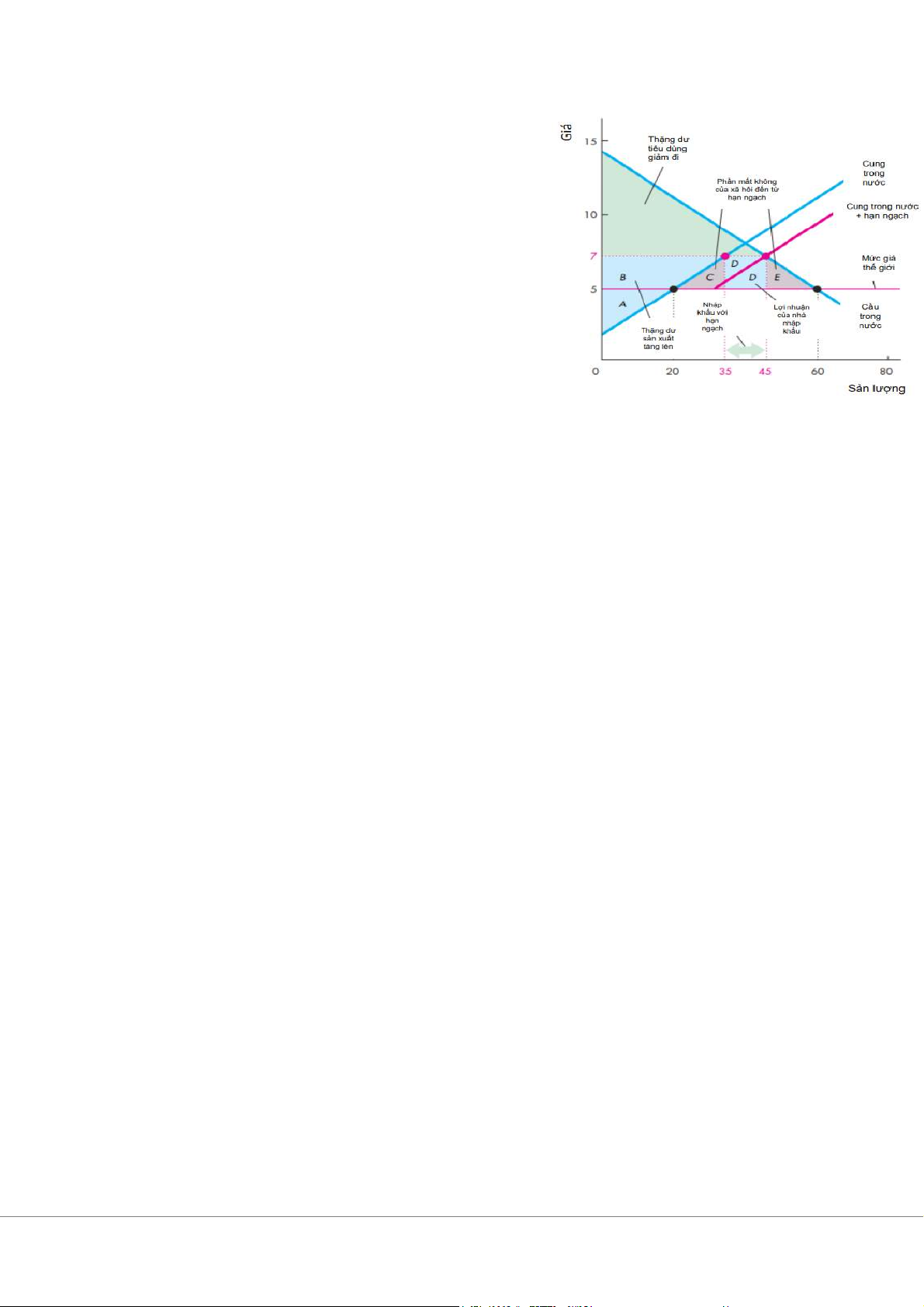
Hạn ngạch nhập khẩu (mức sản lượng
tối đa của một hàng hóa có thể được nhập khẩu trong một khoảng thời gian nhất định)
- Với việc chính phủ áp hạn ngạch nhập khẩu hàng hoá sẽ làm:
oGiảm thặng dư tiêu dùng của
người tiêu dùng trong nước
oTăng thặng dư sản xuất của
nhà sản xuất trong nước
oChính phủ sẽ không có bất kỳ nguồn thu nào
oGiảm lợi ích ròng xã hội so
với trước khi áp hạn ngạch nhập khẩu
b. Lý do cho việc bảo hộ thương mại
-Nhằm bảo vệ việc làm cho lao động trong nước.
-Nhằm bảo đảm an ninh chính trị, xã hội của quốc gia.
-Nhằm giúp cho các ngành công nghiệp mới hình thành có điều kiện phát triển.
-Nhằm bảo đảm cạnh tranh công bằng giữa các quốc gia.
-Nhằm thương lượng có lợi hơn khi đàm phán giữa các quốc gia.
c. Chính sách can thiệp xuất khẩu. Trợ cấp xuất khẩu :
o Giảm thặng dư tiêu dùng của người tiêu dùng trong nước
(người tiêu dùng trong nước bị thiệt)
oTăng thặng dư sản xuất của nhà sản xuất trong nước
oChính phủ sẽ phải bỏ ra khoản nợ tiền trợ cấp cho các nhà
sản xuất các mặt hàng xuất khẩu trong nước
oGiảm lợi ích ròng xã hội so với trước khi trợ cáp Thuế xuất khẩu :
-Là việc chính phủ đánh thuế đối với những nhà sản xuất các mặt hàng
xuất khẩu. Chính sách này thường được sử dụng khi chính phủ muốn
tránh tình trạng khan hiếm hàng hóa trong nước. Hạn ngạch xuất khẩu
-Hạn ngạch xuất khẩu là việc chính phủ quy định mức
sản lượng tối đa của một hàng hoá có thể được xuất
khẩu trong một khoảng thời gian nhất định.