



















Preview text:
Cơ học lượng tử tương đối tính
§ 13. 1 Phương trình Klein-Gordon
1. Lập phương trình
Trong cơ học cổ điển phi tương đối tính, năng lượng và xung lượng của hạt
tự do liên hệ với nhau bằng hệ thức 2 p E 2m. (13.1.1) Bằng phép thay thế Ei (13.1.2)
và cho tác dụng lên véc tơ trạng thái trong biểu diễn tọa độ ψ( , ta sẽ thu
được phương trình Schrodinger cho hạt tự do i 2m , (13.1.3)
ở đây x là tập các biến tọa độ và spin của hạt.
Trong cơ học cổ điển tương đối tính, khi hạt chuyển động với vận tốc v~ c,
liên hệ giữa năng lượng và xung lượng của hạt tự do có dạng
E2 = c2 p2 + m2c4 . (13.1.4)
Do đó bằng cách thay trong (13.1.4) theo quy luật (13.1.2) và cho tác dụng
lên véc tơ trạng thái ta có: 2 2 c 2 2 ψ( c t Hay: 2 2 c 2 2 ψ( c t (13.1.5) 1
Phương trình (13.1.5) thường được gọi là phương trình Klein-Gordon (do
Klein, Fock, Gordon đưa ra năm 1926).
2. Phương trình liên tục Bằng cách ký hiệu: mc 0 μ
ta có thể viết (12.1.5) dưới dạng: 2 2 1 2 2 2 μ0 c ψ( t . (13.1.6)
Nhân vế trái (13.1.6) với * ψ (
và phương trình liên hợp của (13.1.6) với ψ( ta được: * ψ ( 2 2 0 c t ψ( 2 2 0 c t
Trừ hai phương trình cho nhau sẽ có: 2 2 * * 2 2 * 1 * ψ ψ ψ ψ ψ ψ . 2 ψ 2 ψ 2 0 c t t Chú ý rằng: * 2 2 * * * ψ ψ ψ ψ ψ ψ ψ ψ và 2 2 * * * ψ ψ * ψ ψ ψ 2 ψ 2 ψ ψ t t t t t
ta có thể viết lại phương trình trên * * * 1 * ψ ψ ψ ψ ψ ψ . (13.1.7) 2 ψ ψ 0 c t t t 2 và sau khi nhân cho e
2im (e là điện tích hạt) ta có phương trình liên tục
tương đối tính cho hạt tự do ρe div j 0 (13.1.8) e t Trong đó: e * * j (13.1.9) e ψ ψ ψ ψ 2mi và: * e *ψ ψ (13.10) ρ ψ ψ e 2mic2 t t
Ta hãy tìm hiểu ý nghĩa của các kết quả thu được: Trong cơ học lượng tử phi
tương đối tính, mật độ điện tích là: ρ eρ e với : 2 ρ ψ ψ*
ψ là mật độ xác suất và là một lượng xác định dương
Trong khi đó ρ trong phương trình Klein-Gordon là: * ρe * ψ ψ (13.1.11) ρ ψ ψ e 2 t t 2mic
Nói chung không phải là lượng xác định dương. Thật vậy, phương trình Klein-
Gordon chứa đạo hàm cấp 2 theo thời gian, vì vậy để xác định sự biến thiên
đơn trị của hàm sóng theo thời gian cần biết giá trị của ψ và ψ tại thời điểm t
ban đầu. Do các giá trị ψ và ψ tại thời điểm đầu có thể chọn tùy ý nên t ρ
theo (13.1.11) có thể dương, âm hoặc bằng không. Vì thế không thể coi ρ là
mật độ xác suất các giá trị tọa độ của hạt. Chính vì vậy trong một thời gian dài
phương trình Klein-Gordon không được ứng dụng vào thực tế. 3
§ 13. 2 Phương trình Klein-Gordon cho hạt trong trường điện từ
Từ mối liên hệ tương đối tính giữa năng lượng và xung lượng của hạt tự do E = 2 c2 p2+ m2c4 bằng cách thay thế E E-qφ c
ta sẽ thu được mối quan hệ năng-xung lượng cho hạt trong trường điện từ E q φ2 2 4 c m c c
Chuyển sang cơ học lượng tử, bằng cách thực hiện phép biến đổi (13.1.2) rồi
cho tác dụng lên véc tơ trạng thái ta sẽ thu được phương trình (trong biểu diễn tọa độ) : 2 i ψ( . (13.2.1)
Đó là phương trình Klein-Gordon cho hạt mang điện trong trường điện từ.
Trong gần đúng phi tương đối tính, phương trình Klein-Gordon cần phải
chuyển về phương trình Schrodinger trong trường điện từ. Có thể thấy rõ điều này bằng cách thay ψ( 0 (13.2.2)
trong phương trình (13.2.1). Thật vậy, chú ý rằng 2 2 2 i φ ta có 4 2 2 2 4 2 ψ 2imc ψ 0 m c ψ imc ψ 2i ψ 2 2 2 q 2 4 q φ ψ 0 c i ψ 0 m c ψ0 c
Các số hạng chứa c2 là rất lớn so với các số còn lại. Do đó chúng ta thu được 2 2 ψ imc 2 2imc c 0 ψ , c hay ψ c i 0 ψ qφ 0 ψ 2m . (13.2.3)
Đó chính là phương trình Schrodinger cho hạt chuyển động trong trường điện từ.
§ 13. 3 Phương trình Dirac cho hạt tự do
1. Thiết lập phương trình
Như trên đó thấy, từ phương trình Klein-Gordon 2 2 c | 2 2 c ψ(t) 0 t
ta thu được phương trình liên tục: ρe div j 0 e t với mật độ xác suất * ρe *ψ ψ ρ ψ ψ e 2 t t 2mic
không xác định dương. Điều đó đòi hỏi phải xây dựng phương trình mới khắc
phục nhược điểm này. Phương trình mới cần phải thỏa mãn các đòi hỏi sau: 5
- Chỉ chứa đạo hàm bậc nhất theo thời gian để tránh gặp mật độ xác suất không xác định dương
- Cũng chỉ chứa đạo hàm bậc nhất theo các toạ độ không gian, vì trong lý
thuyết tương đối các tọa độ không gian x1 = x, x2= y, x3= z và thời gian x4 =
ict là hoàn toàn bỡnh đẳng bình đẳng.
- Là phương trỡnh tuyến tính để thoả mãn nguyên lý chồng chất.
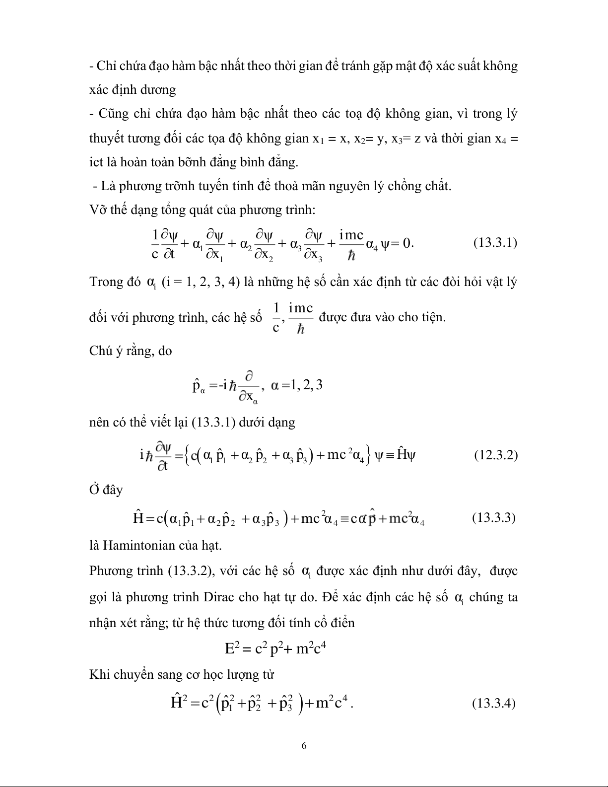
Vỡ thế dạng tổng quát của phương trình: 1ψ ψ ψ ψ imc . (13.3.1) 1 α 2 α 3 α α ψ 0 c t x x x 1 2 3 Trong đó i
α (i = 1, 2, 3, 4) là những hệ số cần xác định từ các đòi hỏi vật lý 1 imc
đối với phương trình, các hệ số , c
được đưa vào cho tiện. Chú ý rằng, do ˆp -i 1 , 2, 3 α xα
nên có thể viết lại (13.3.1) dưới dạng i
α ˆp α ˆp α ˆp 2 ˆ (12.3.2) 1 1 2 2 3 3 mc 4 α ψ Hψ t Ở đây
ˆH cα ˆp α ˆp α ˆp 2 (13.3.3) 1 1 2 2 3 3 mc α4 cα α 4 là Hamintonian của hạt.
Phương trình (13.3.2), với các hệ số i
α được xác định như dưới đây, được
gọi là phương trình Dirac cho hạt tự do. Để xác định các hệ số i α chúng ta
nhận xét rằng; từ hệ thức tương đối tính cổ điển E2 = c2 p2+ m2c4
Khi chuyển sang cơ học lượng tử ˆ 2 2 H c 2 2 2 ˆp ˆp ˆp 2 4 1 2 3 m c . (13.3.4) 6
Mặt khác, từ (13.3.3) ta có 2 2 ˆH c 2 2 2 2 2 2 α ˆp α ˆp α ˆp 2 4 2 1 1 2 2 3 3 m c α4 2
c {(α α α α ) ˆp ˆp (α α α α ) ˆp ˆ 1 2 2 1 1 2 2 3 3 2 2p3 (13.3.5) 3 ( 1 α 3 α 3 α 1 α )ˆ3 p 1 ˆp }+ mc { 1 (α 4 α 4 α 1 α ) 1 ˆp (α α α α ˆ )p (α α α α ˆ 2 4 4 2 2 3 4 4 3 2 )p }
Việc so sánh (13.3.4) và (13.3.5) cho 2 2 2 2 1 α 2 α 3 α 4 α 1 i α k α k α i α 0, i k. Hoặc tương đương iα k α k α i α 2 iδk . (13.3.6) Từ đó có thể viết i α k α k α i α I k α i α , i . k (13.3.7)
Trong đó I là toán tử đơn vị. Như vậy, các hệ số i
α không thể là các số thông thường mà phải là các ma
trận. Để xác định dạng của các ma trận đó, chúng ta nhận xét rằng bằng cách
lấy định thức đẳng thức (13.3.7) ta có det( iα )det( k α ) det( I )det( k α )det( i α ) . Từ đó det(-I) = 1,
và do đó nếu gọi n là cấp của ma trận iα thì (-1)n = 1.
Kết quả này cho thấy n là số chẵn và điều này có nghĩa là các ma trận i α phải
là các ma trận cấp chẵn : 2 hoặc 4…
Với trường hợp n = 2, chúng ta có thể thấy 4 ma trận độc lập tuyến tính là các
ma trận Pauli và ma trận đơn vị 7 0 1 0 i 1 0 1 0 , , , I . 1 σ 1 0 σ σ 2 i 0 3 0 1 0 1
Các ma trận Pau li, như đã biết, thỏa mãn điều kiện phản giao hoán (13.3.6).
Tuy nhiên, ma trận đơn vị giao hoán với mọi ma trận và do đó không thỏa
mãn (13.3.6). Vì thế cần xét với các ma trận hạng cao hơn. Cụ thể là từ các
ma trận Pauli và ma trận đơn vị 2x2 ta xây dựng bốn ma trận 4x4 sau : 0 0 0 1 0 0 0 i 0 0 1 σ 0 0 1 0 σ 0 0 i 0 1 α , 2 2 α 1 σ 0 0 1 0 0 2 σ 0 0 i 0 0 1 0 0 0 i 0 0 0 0 0 1 0 1 0 0 0 0 0 0 0 1 I 0 0 1 0 0 σ3 α , . 3 4 α σ 0 I 0 0 1 0 3 0 1 0 0 0 0 1 0 0 0 0 0 1
Có thể thấy rằng các ma trận trên là độc lập tuyến tính và thỏa mãn điều kiện
(13.3.6). Như vậy chúng là những ma trận cần tìm. Cần chú ý rằng việc xây
dựng phương trình Dirac theo cách trên đây không phải là duy nhất mà còn nhiều cách khác.
Do các hệ số iα là các ma trận, nên phương trình Dirac thực chất là phương
trình dạng ma trận. Cụ thể là ta phải biểu diễn véc tơ trạng thái dưới dạng ma trận cột : ψ1( ψ2( ψ ψ3( χ( 2 4( ψ 4(
và véc tơ liên hợp dạng ma trận hàng + ψ * + + . 1 ψ ( 2 3 4 φ χ 8
Khi đó, bằng cách chú ý 2 mc I c σ ˆH cα α 4 c σ
chúng ta có thể viết (13.3.2) lại: φ 2 t mc I c σ i . χ cσ t Hay φ 2 i mc Iφ cσ t (13.3.8) χ i cσ χ t
2. Nghiệm phương trình Dirac cho hạt tự do
Hạt tự do có xung lượng xác định nên ta hãy tìm nghiệm của (13.3.8) dưới dạng φ φ ( ψ( , (13.3.9) χ χ ( trong đó i - (εt- φ ( i - (εt- χ (
Thay (13.3.9) vào (13.3.8) sẽ được 2 (ε mc )φ cσ (13.3.10) 2 cσ mc )χ 0
Chú ý rằng ở đây ta đã sử dụng ˆp φ α 9
Điều kiện để hệ có nghiệm không tầm thường dẫn đến 2 ε mc cσ 0 2 -cσ ε mc và do đó 2 2 4 2 ε m c c σ (13.3.11)
Sử dụng tính chất của các ma trận Pauly: i k i σ k σ ta có σ
và do đó ta thu được hệ thức như lí thuyết cổ điển 2 2 4 2 2 ε m c c p .
Hai nghiệm của phương trình là 2 2 2 ε
E p , E p c m c +p (13.3.12)
Trong cơ học cổ điển, hạt tự do chỉ có năng lượng > 0 nên nghiệm ε E p
được vứt bỏ. Tuy nhiên trong lý thuyết lượng tử không có lý do gì để loại bỏ
nó nên ta cần xét cả hai trường hợp:
Với ε Ep hệ (13.3.10) trở thành: 2 E p mc φ cσ (13.3.13a) 2 cσ
p mc χ 0 . (13.3.13b) Với φ tùy ý ta có cσ χ E p mc và với χ tùy ý cσ φ Ep 2 mc
Vậy nghiệm ứng với năng lượng dương Eplà: 10 i + - [E(p)t ψ ( cσ e (13.3.14) 2 E(p) + mc φ Với ε E p hệ (13.3.10) trở thành 2 E p mc φ cσ (13.3.15a) 2 c σ
p mc χ 0 (13.3.15b) Do đó c σ φ Ep khi mc χ tùy ý hoặc c σ χ Ep khi mc φ tùy ý.
Và nghiệm tương ứng là : - cσ (p)t - 2 E(p) mc χ ψ ( e χ
Hoặc bằng cách thay bởi - và chú ý E(-p) = E(p) ta được : cσ (p)t - 2 - (p) mc χ ψ ( e (13.3.16) χ-
Nghiệm tổng quát của phương trình Dirac cho hạt tự do sẽ thu được bằng việc
tổ hợp tuyến tính của cả hai loại nghiệm ứng với năng lượng dương và âm: ψ( (13.3.17) với + ψ ( 11
3. Phương trình liên tục trong lý thuyết Dirac
Từ biểu diễn tọa độ của phương trình Dirac : i (13.3.18) t
ta có phương trình liên hiệp: + ψ ( + i α4 (13.3.19) Nhân trái (13.3.18) với +
ψ , nhân phải (13.3.19) với ψ rồi trừ cho nhau ta được + ψ ψ i Chú ý rằng + + ( ψ ψ) + ψ ψ t ψ ψ t t + ( ψ α ,
ta có phương trình liên tục: ρ div j 0 . t Trong đ ó 1 ψ ψ + ρ ψ ψ * * * * ψ ψ ψ ψ 2 2 2 2 2 1 2 3 4 | 1 ψ | | 2 ψ | | 3 ψ | | 4 ψ | , 3 ψ 4 ψ và j c(ψ α 12
Như vậy ρ là đại lượng xác định dương và có thể giải thích ρ là mật độ xác suất.
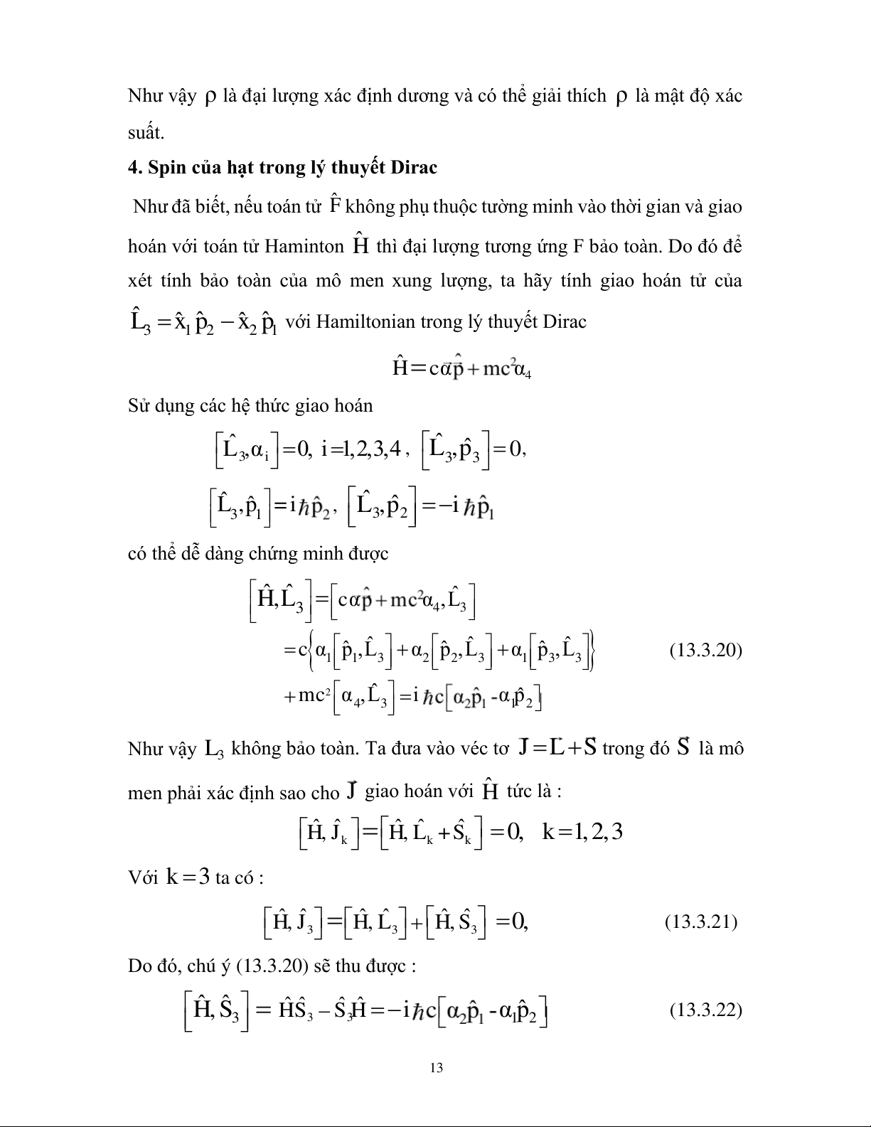
4. Spin của hạt trong lý thuyết Dirac
Như đã biết, nếu toán tử ˆF không phụ thuộc tường minh vào thời gian và giao
hoán với toán tử Haminton ˆH thì đại lượng tương ứng F bảo toàn. Do đó để
xét tính bảo toàn của mô men xung lượng, ta hãy tính giao hoán tử của ˆ 3 L ˆ1xˆ2 p ˆ2
x ˆ1p với Hamiltonian trong lý thuyết Dirac ˆH cα 4 α
Sử dụng các hệ thức giao hoán ˆ L ˆ L , ˆp 3,αi 0, i 1,2,3,4 , , 3 3 0 ˆL , ˆp = i ˆ L , ˆp i 3 1 , 3 2
có thể dễ dàng chứng minh được ˆ ˆ ˆ H,L 3 cα 4 α , 3 L cα ˆ ˆ p ,L α ˆ ˆ p ,L α ˆ ˆ 1 1 3 (13.3.20) 2 2 3 1 p 3,L3 2 mc ˆ α 4,L3 i α 1ˆ p2 Như vậy 3
L không bảo toàn. Ta đưa vào véc tơ J LS trong đó S là mô
men phải xác định sao cho J giao hoán với ˆH tức là : ˆ ˆ ˆ ˆ ˆ H, J k H, Lk + k S 0, k 1,2,3 Với k 3 ta có :
ˆ ˆ ˆ ˆ ˆ ˆ H, J 3 H, L3 H, S 0, 3 (13.3.21)
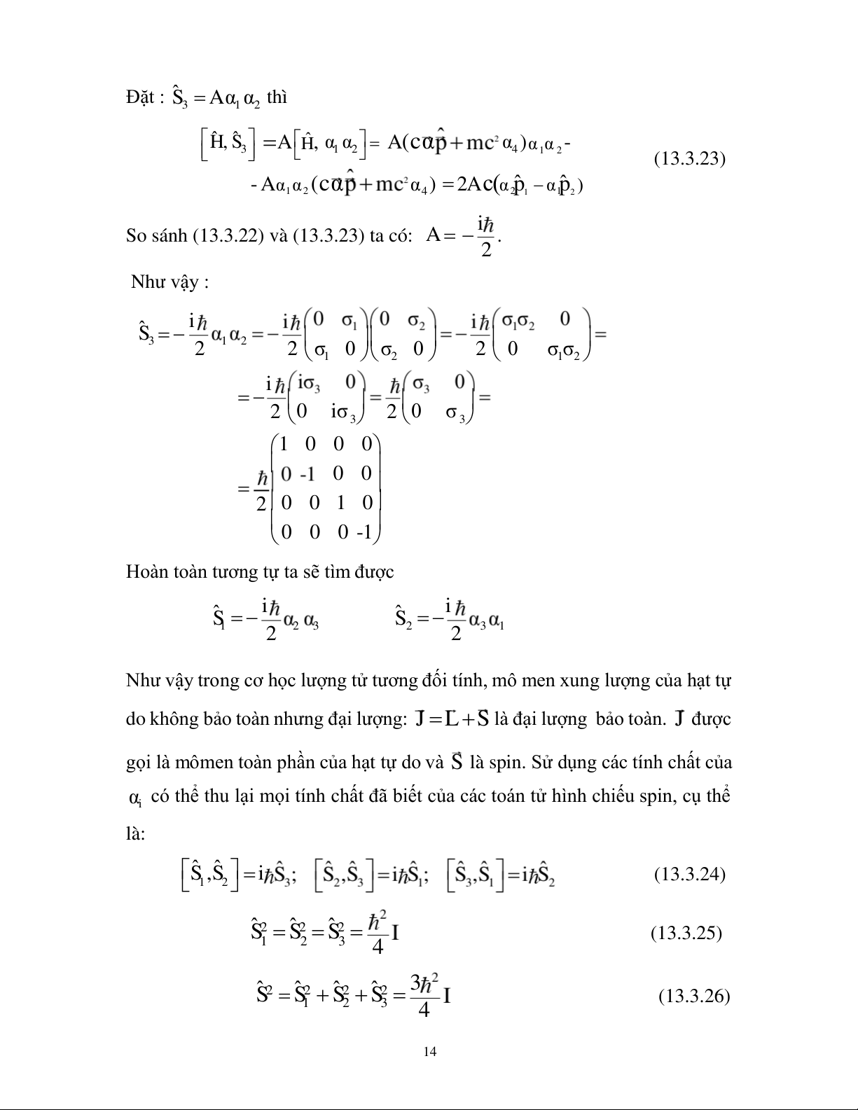
Do đó, chú ý (13.3.20) sẽ thu được : ˆ ˆ ˆ ˆ ˆ ˆ H, 3 S HS i α ˆ 3 S3H (13.3.22) 1 2 p 13 Đặt : ˆS A thì 3 1 α 2 α ˆH, ˆ ˆ S A H, α α A(cα α ) - 3 1 2 4 α 1α 2 (13.3.23) - Aα (cα ) 2Ac( ˆp ˆp 1α 2 α4 α2 1 α1 2 )
So sánh (13.3.22) và (13.3.23) ta có: i A . 2 Như vậy : i ˆS3 1 2 2 2 2 1 σ 0 2 σ 0 0 1 σ 2 σ i 2 0 i σ 2 3 0 σ 3 1 0 0 0 0 0 2 0 0 1 0 0 0 0 -1
Hoàn toàn tương tự ta sẽ tìm được i ˆ i ˆ 1 S 2 3 S 2 2 3 1 2
Như vậy trong cơ học lượng tử tương đối tính, mô men xung lượng của hạt tự
do không bảo toàn nhưng đại lượng: J L S là đại lượng bảo toàn. J được
gọi là mômen toàn phần của hạt tự do và S là spin. Sử dụng các tính chất của i
α có thể thu lại mọi tính chất đã biết của các toán tử hình chiếu spin, cụ thể là: ˆ ˆ S ,S i 1 2 (13.3.24) ˆ2 ˆ2 ˆ2 S S S 1 2 3 4 (13.3.25) ˆ ˆ ˆ ˆ 3 2 2 2 2 S 1S 2 S 3 S 4 (13.3.26) 14
Từ đó tìm được trị riêng của ˆ2 S : 2 3 S s 1/2 (13.3.27) 4
Chẳng hạn có thể chứng minh (13.3.24) như sau: i ˆ ˆ S ,S - 1 2 2 3 3 1 2 3 3 1 α3 1 α α2α3) 2 2 4 2 1 1 2 1 2 4 2
Như vậy sự tồn tại của spin xuất hiện một cách tự nhiên trong lý thuyết Dirac,
như là hệ quả của hiệu ứng tương đối tính mà hoàn toàn không liên quan gì
tới sự « tự xoay » của các hạt. Vì vậy phương trình Dirac là phương trình cơ
học lượng tử tương đối cho các hạt sprin .
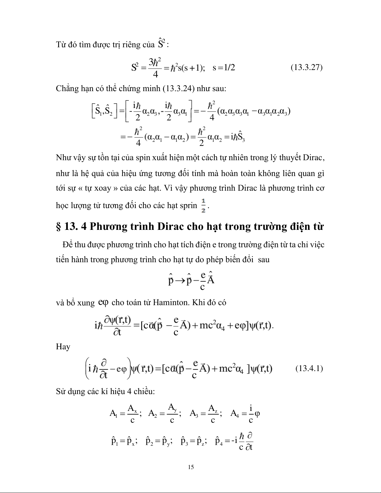
§ 13. 4 Phương trình Dirac cho hạt trong trường điện từ
Để thu được phương trình cho hạt tích điện e trong trường điện từ ta chỉ việc
tiến hành trong phương trình cho hạt tự do phép biến đổi sau c
và bổ xung eφ cho toán tử Haminton. Khi đó có i [cα 4 c . Hay i ψ( 4 (13.4.1) c
Sử dụng các kí hiệu 4 chiều: A A A i x y z A ; A ; A ; A 1 2 3 4 φ c c c c
ˆp ˆp ; ˆp ˆp ; ˆp ˆp ; ˆp -i 1 x 2 y 3 z 4 c t 15
thì phương trình (13.4.1) trở thành i ˆp eA ˆp ) α ( ˆ 4 4 ψ( eA p eA 1 1 1 2 2
α (ˆp eA ) mcα ]ψ( (13.4.2) 3 3 3 4
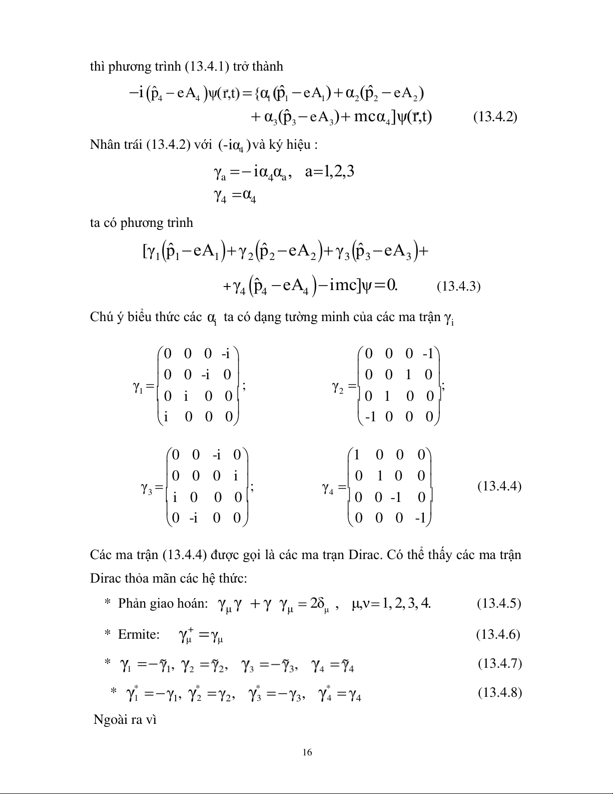
Nhân trái (13.4.2) với (-i 4 α )và ký hiệu : γ iα α , a 1 ,2,3 a 4 a 4 γ 4 α ta có phương trình [ 1 γ ˆ1 p e 1
A γ2 ˆp2 eA2 γ3ˆp3 eA3 + 4 γ ˆ4 p e 4 A imc]ψ 0. (13.4.3)
Chú ý biểu thức các iα ta có dạng tường minh của các ma trận iγ 0 0 0 -i 0 0 0 -1 0 0 -i 0 0 0 1 0 ; ; 1 γ 0 i 0 0 γ2 0 1 0 0 i 0 0 0 -1 0 0 0 0 0 -i 0 1 0 0 0 0 0 0 i 0 1 0 0 γ ; (13.4.4) 3 i 0 0 0 γ4 0 0 -1 0 0 -i 0 0 0 0 0 -1
Các ma trận (13.4.4) được gọi là các ma trạn Dirac. Có thể thấy các ma trận
Dirac thỏa mãn các hệ thức:
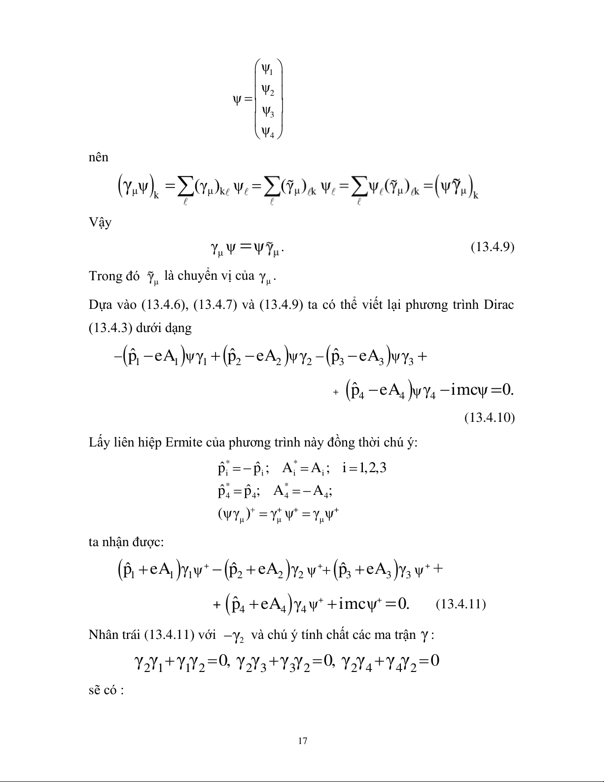
* Phản giao hoán: γ γ γ γ 2δ , μ,ν1, 2,3, 4. (13.4.5) μ μ μ * Ermite: + γ γ (13.4.6) μ μ * 1 γ (13.4.7) * * * * * (13.4.8) 1 γ 1 γ , 2 γ 2 γ , 3 γ 3 γ , γ4 4 γ Ngoài ra vì 16 1 ψ 2 ψ ψ 3 ψ 4 ψ nên γ ψ ( γ ) ψ (γ μ μ k k Vậy γ ψ ψ . (13.4.9) μ Trong đó là chuyển vị của γ . μ
Dựa vào (13.4.6), (13.4.7) và (13.4.9) ta có thể viết lại phương trình Dirac (13.4.3) dưới dạng
ˆp eA γ ˆp eA γ ˆ 1 1 ψ 1 2 2 ψ 2 3p e 3 A ψ 3 γ ˆ4p e 4 A + ψ 4 γ imcψ 0. (13.4.10)
Lấy liên hiệp Ermite của phương trình này đồng thời chú ý: * *
ˆp ˆp ; A A ; i 1,2,3 i i i i * * ˆp ˆp ; A A ; 4 4 4 4 + + + (ψγ ) γ ψ γ ψ μ μ μ ta nhận được: ˆp eA + γ ψ ˆp eA + γ ψ ˆp eA + 1 1 1 2 2 2 3 3 3 γ ψ + + ˆp eA + + 4 4 4
γ ψ imcψ 0. (13.4.11)
Nhân trái (13.4.11) với 2
γ và chú ý tính chất các ma trận γ : γ2 1 γ 1
γ γ20, γ2γ3γ3γ20, γ2γ4γ4γ20 sẽ có : 17 ˆp eA + γ γ ψ ˆp eA + γ γ ψ ˆp eA + 1 1 1 2 2 2 2 2 3 3 3 γ 2 γ ψ ˆp eA + + 4 4 2 γ 4 γ ψ imc 2 γ ψ 0. Nhân phải với 4 γ và ký hiệu: + ψ ψ 4 γ ; e ψ γ2 ψ ta có phương trình : [ 1γˆ1p e 1 A 2 γ ˆ2 p e 2 A 3 γ ˆ3 p e 3 A + γ 4ˆ 4 p e 4 A imc] e ψ 0. (13.4.12)
Nếu phương trình (13.4.3) mô tả hạt mang điện e, khối lượng m trong trường
điện từ thì phương trình (13.4.12) mô tả hạt, khối lượng m, điện tích – e, hạt
này là phản hạt của hạt mang điện e. Nếu e là electron thì – e là positron, e là
proton thì – e là phản proton…
Như vậy phương trình Dirac mô tả đồng thời hạt và phản hạt .
§ 13. 5 Sự chuyển từ phương trình Dirac sang phương trình Pauli
Để chuyển sang giới hạn phi tương đối tính, trong phương trình Dirac i [cα 4 c (13.5.1) ta đặt: i (12.5.2)
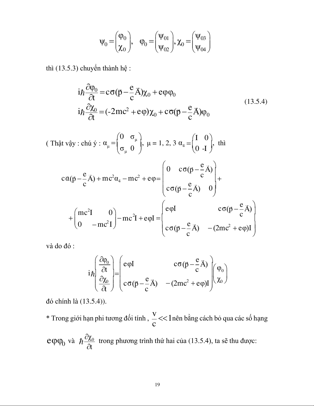
Thay (13.5.2) vào (13.5.1) sẽ có : i [cα 4 (13.5.3) 0 c Viết 0 ψ dạng ma trận : 18 0 φ ψ01 0 ψ 3 0 ψ , 0 φ , χ 0 χ 0 ψ 02 0 ψ 4
thì (13.5.3) chuyển thành hệ : i 0 eφ 0 φ c (13.5.4) χ 2 i 2mc eφ)χ0 cσ 0 c 0 σ I 0 ( Thật vậy : chú ý : μ α , μ = 1, 2, 3 α , thì μ 4 σ 0 0 -I μ 0 cσ 2 c cα
mc α4 mc eφ c cσ 0 c 2 eφI cσ mc I 0 2 c mc I eφI 2 0 mc I 2 cσ (2mc eφ)I c và do đó : 0 φ eφI cσ φ t c 0 i 0 2 0 χ c σ (2mc eφ)I t c đó chính là (13.5.4)). v
* Trong giới hạn phi tương đối tính , 1
c nên bằng cách bỏ qua các số hạng eφ 0 φ và
trong phương trình thứ hai của (13.5.4), ta sẽ thu được: 19 i 0 eφ 0 φ c 2 0 2mc χ0 cσ 0 c Từ đó có: σ φ c i 0 φ eφ 0 (13.5.5) 2m φ
Ta hãy thực hiện biến đổi số hạng trong ngoặc vuông như sau 2 e e e σ x σ ( x p x A ) + y σ ( y p y A ) z σ ( z p z A ) c c c c 2 e 2 2 e 2 2 e 2 σ x (px Ax) σy(py Ay) σz (pz Az) c c c e e e e σ xσy (px Ax)(py Ay) + σyσx (py Ay)(px Ax) + c c c c e e e e y σ z σ ( y p y A )( z p z A ) + z σ y σ ( z p z A )( y p y A ) + c c c c e e e e z σ x σ ( z p z A )( x p x A ) + x σ z σ ( x p x A )( z p z A ) c c c c
Sử dụng các tính chất đã biết của các ma trận pauli, đồng thời chú ý rằng thế
véc tơ A là hàm của tọa độ ta có 2 e 2 2 e 2 2 e 2 x σ ( x p x A ) y σ ( y p y A ) z σ ( z p z A ) c c c e 2 e 2 e 2
(p A ) (p A ) (p A ) ( x x y y z z c c c c Ngoài ra 20