







Preview text:
CÔNG THỨC LƯỢNG GIÁC CẦN NẮM VỮNG
I. CÁC HỆ THỨC LƯỢNG GIÁC CƠ BẢN
➊
➋
➌
➍
➎
➏
III. MỐI QUAN HỆ CỦA CÁC CUNG LƯỢNG GIÁC ĐẶC BIỆT
➊ Hai cung đối nhau
➋ Hai cung bù nhau
➌ Hai cung phụ nhau
➍ Hai cung hơn nhau
➎ Hai cung hơn nhau
➏ Với k là số nguyên thì ta có:
IV. CÔNG THỨC CỘNG
|
|
Đặc biệt:
TH1: Công thức góc nhân đôi:
Hệ quả: Công thức hạ bậc 2:
TH2: Công thức góc nhân ba:
V. CÔNG THỨC BIẾN ĐỔI TỔNG SANG TÍCH VÀ TÍCH SANG TỔNG
|
|
Chú ý:
🖎
🖎
➊ | ➋ |
➌ | ➍ |
Đặc biệt:
Chú ý:
❖ Điều kiện có nghiệm của phương trình và
là:
❖ Sử dụng thành thạo câu thần chú “Cos đối – Sin bù – Phụ chéo” để đưa các phương trình dạng sau về phương trình cơ bản:
|
| |
|
| |
❖ Đối với phương trình không nên giải trực tiếp vì khi đó phải giải 4 phương trình cơ bản thành phần, khi đó việc kết hợp nghiệm sẽ rất khó khăn. Ta nên dựa vào công thức
để biến đổi như sau:
❖ Tương tự đối với phương trình
Dạng toán 1: Phương trình lượng giác cơ bản
1. Phương trình:
* Nếu: Phương trình vô nghiệm
* Nếu:
(
).
Chú ý : * Nếu thỏa mãn
thì ta viết
.
*Các trường hợp đặc biệt:
1.
2
3.
2. Phương trình:
* Nếu: phương trình vô nghiệm
* Nếu:
(
).
Chú ý : * Nếu thỏa mãn
thì ta viết
.
* Các trường hợp đặc biệt:
1.
2.
3.
3. Phương trình :
Với
.
Chú ý : * Nếu thỏa mãn
thì ta viết
.
* Các trường hợp đặc biệt:
1.
2.
3.
4. Phương trình:
Với
.
Chú ý : * Nếu thỏa mãn
thì ta viết
.
* Các trường hợp đặc biệt:
1.
2.
3.
Ghi chú:
* *
*
*
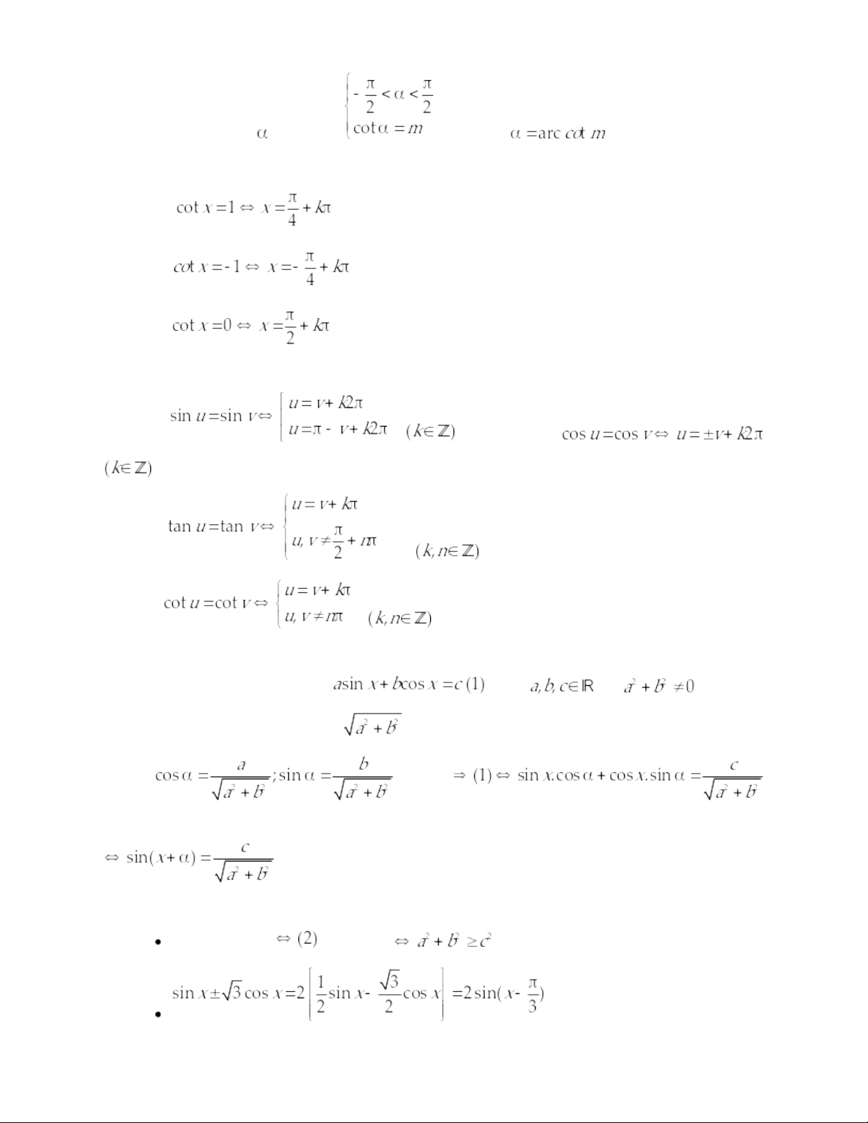
Dạng 2. Phương trình bậc nhất đối với sinx và cosx
Là phương trình có dạng: ; với
và
.
Cách giải: Chia hai vế cho và đặt
.
(2).
Chú ý:
(1) có nghiệm
có nghiệm
.
.
Dạng 3. Phương trình bậc hai chứa một hàm số lượng giác
Là phương trình có dạng :
Cách giải: Đặt ta có phương trình :
Giải phương trình này ta tìm được , từ đó tìm được
Khi đặt , ta co điều kiện:
Dạng 4. Phương trình đẳng cấp
Là phương trình có dạng trong đó luỹ thừa của sinx và cosx cùng chẵn hoặc cùng lẻ.
Cách giải: Chia hai vế phương trình cho (k là số mũ cao nhất) ta được phương trình ẩn là
.
Dạng 5. Phương trình đối xứng (phản đối xứng) đối với sinx và cosx
Là phương trình có dạng: (3)
Để giải phương trình trên ta sử dụng phép đặt ẩn phụ
Thay và (5) ta được phương trình bậc hai theo t.
Ngoài ra chúng ta còn gặp phương trình phản đối xứng có dạng (3’)
Để giải phương trình này ta cũng đặt
Thay vào (3’) ta có được phương trình bậc hai theo t.