





Preview text:
lOMoAR cPSD| 59735610
ường ặc tính ngoài của ộng cơ
Đồ thị ường ặc tính ngoài của ộng cơ 250,00 140,00 120,00 200,00 100,00 150,00 , 80 00 Ne (kW) 60 ,00 100,00 Me (N.m) 40 ,00 50 ,00 20 ,00 , 0 00 0 ,00 0 2000 4000 6000 8000 v ng/phœt
- Đây là ường ặc tính quan trọng nhất của một ộng cơ dùng ể ánh giá
các chỉ tiêu công suất ( Nemax) và tiết kiệm nhiên liệu ộng cơ
- Nhờ có ường ặc tính này người ta cũng ánh giá ược sức kéo của ộng cơ qua
ặc tính Momen (Memax ), vùng làm việc ổn ịnh của ộng cơ và
hệ số thích ứng K của nó
- Vùng làm việc của ộng cơ: là vùng nằm giữa nm và ne, trong khoảng ó khi
Ne giảm thì Me tăng nên phương tiện vẫn ảm báo tăng sức kéo và làm việc
tốt, chỉ giảm phần nào tốc ộ. Hay nếu Ne tăng, giảm bớt sức kéo nhưng tốc
ộ tăng. Ở vùng nằm việc ổn ịnh nếu gặp chướng ngại sẽ giảm tốc ộ, công
suất giảm nhưng Me lại tăng giúp ộng cơ vượt chướng ngại vật ( ko cần về số thấp ) lOMoAR cPSD| 59735610
- Trị số công suất Nemax ở trên chỉ là phần công suất ộng cơ dùng ể khác phục
các lực cản chuyển ộng. Để chọn ộng cơ ặt trên ô tô, cần tăng thêm phần
công khắc phục các lực cản phụ, quạt gió, máy nén khí …
cân bằng lực kéo
- Đồ thị biểu diễn mối quan hệ lực kéo phát ra tại các bánh xe chủ ộng Pk và
lực cản chuyển ộng phụ thuộc vào vận tốc chuyển ộng của ô tô
Đồ thị cân bằng lực kéo 10000,00 9000,00 Pk1 8000,00 Pk2 7000,00 6000,00 Pk3 5000,00 Pk4 4000,00 Pk5 3000,00 Pk6 2000,00 Pc 1000,00 P φ , 0 00 0 ,00 10 ,00 20 ,00 30 00 , 40 ,00 50 ,00 60 ,00 +
Trục tung biểu diễn Pk , Pf , Pw . Trục hoành biểu diễn v (m/s)
+ Dạng ồ thị lực kéo của ôtô Pki = f(v) tương tự dạng ường cong Me = f(ne) của ường
ặc tính tốc ộ ngoài của ộng cơ. +
Khoảng giới hạn giữa các ường cong kéo Pki và ường cong tổng lực cản là
lực kéo dư (Pkd) dùng ể tăng tốc hoặc leo dốc. +
Tổng lực kéo của ôtô phải nhỏ hơn lực bám giữa bánh xe và mặt ường: nhân
tố ộng lực học lOMoAR cPSD| 59735610
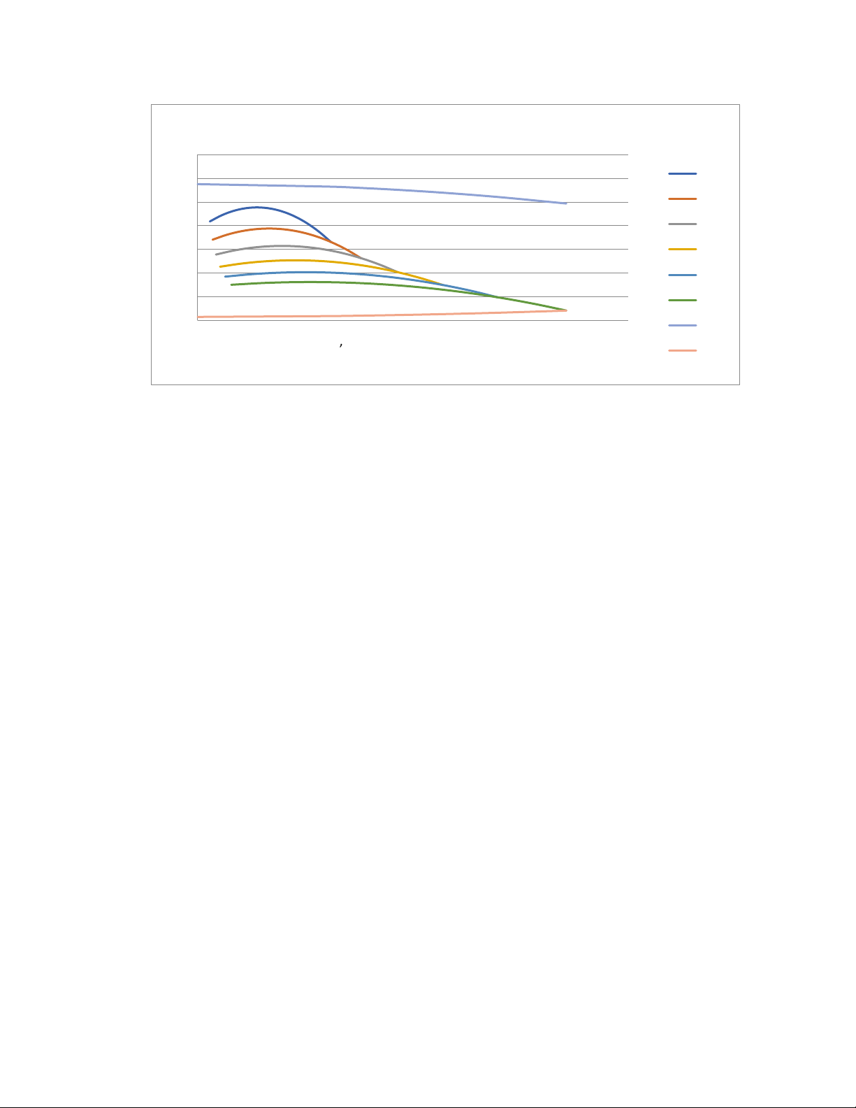
Hình 4. Đồ thị nhân tố ộng lực học ôtô 0 70 , 0 ,60 D1 0,50 D2 0,40 D3 0 30 , D4 0,20 D5 0 ,10 D6 0,00 D phi 0 ,00 10 ,00 , 20 00 30 ,00 40 ,00 50 ,00 60 ,00 f m/s
- Là tỉ số giữa lực kéo tiếp tuyến Pk trừ i lực cản không khí Pw và chia cho
toàn bộ trọng lượng của ô tô (D)
- Đồ thị nhân tố ộng lực học D biểu thị mối quan hệ phụ thuộc giữa nhân tố
ộng lực học và vận tốc chuyển ộng của ô tô, nghĩa là D = f(v), khi ô tô có
tải trọng ầy và ộng cơ làm việc với chế ộ toàn tải
- Ứng dụng ồ thị: Xác ịnh vận tốc lớn nhất của ô tô, ộ dốc lớn nhất, sự tăng
tốc, thời gian và quãng ường tăng tốc.
- Dạng của dồ thị nhân tố ộng lực học D = f(v) tương tự như dạng ồ thị
lực kéo Pk = f(v); nhưng ở những vân tốc lớn thì ường cong dốc hơn.
- Khi chuyển ộng ở vùng tốc ộ v > vth i (tốc ộ vth i ứng với Di max ở từng tay
số) thì ôtô chuyển ộng ổn ịnh, vì trong trường hợp này thì sức cản chuyển
ộng tăng, tốc ộ ôtô giảm và nhân tố ộng lực học D tăng. Ngược lại, vùng
tốc ộ v < vth i là vùng làm việc không ổn ịnh ở từng tay số của ôtô. lOMoAR cPSD| 59735610
- Giá trị nhân tố ộng lực học cực ại D1 max ở tay số thấp nhất biểu thị khả năng
khắc phục sức cản chuyển ộng lơn nhất của ường: D1 max = ψmax
cân bằng công suất
Đồ thị cân bằng công suất của ôtô 120,00 100,00 Nk1 80 ,00 Nk2 , 60 00 Nk3 Nk4 , 40 00 Nk5 , 20 00 Nk6 Nc , 0 00 0 00 , 10, 00 20 ,00 30 ,00 40 ,00 50 ,00 60 ,00 m/s
- Xây dựng theo quan hệ giữa công suất phát ra của ộng cơ và các công suất
cản trong quá trinh ô tô chuyển ộng, phụ thuộc vào vận tốc chuyển ộng của
ô tô, nghĩa là N = f(v). Trên trục hoành của ồ thị, ta ặt các giá trị của vận
tốc chuyển ộng v và trên trục tung ặt các giá trị công suất của ộng cơ Ne,
công suất phát ra tại bánh xe chủ ộng Nk ở các tr số
truyền khác nhau của hộp số và các ường cong của công suất cản lOMoAR cPSD| 59735610
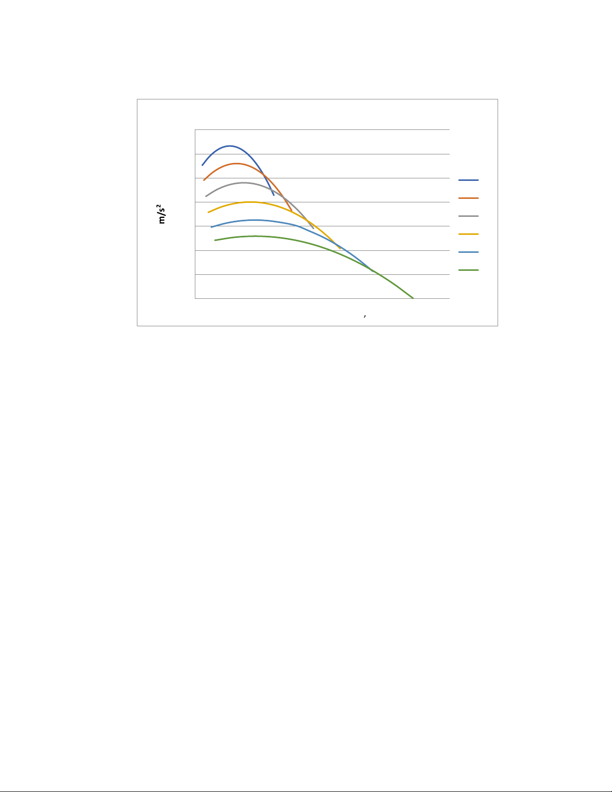
5. Đồ thị gia tốc
Đồ thị gia tốc ôtô 3 ,50 3 00 , 2 ,50 j1 , 2 00 j2 j3 , 1 50 j4 1 ,00 j5 , 0 50 j6 0 ,00 0 ,00 10 ,00 20 ,00 30 ,00 40, 00 50 ,00 60 ,00 m/s
- Xây dựng j = f(v) và biểu diễn chúng trong hệ tọa ọ (j – v) với tung ộ là
các gia tốc j ở từng số truyền và trục hoành là vận tốc v
- Ứng dụng ồ thị: Xác ịnh gia tốc của ô tô ở một tốc ộ nào ở số truyền ã cho.
Xác ịnh thời iểm sang số hợp lí ( tăng tốc) ể ảm bảo tốc ộ nhỏ nhất và thời
gian ổi số truyền là ngắn nhất và tốc ộ cao nhất, nhanh nhất ở các số truyền
( iểm giao nhau giữa các tay số trên ồ thị ). Xác ịnh thời gian và quãng ường tăng tốc ô tô
- Gia tốc cực ại của ôtô lớn nhất ở tay số một và giảm dần ến tay số cuối cùng.
- Tốc ộ nhỏ nhất của ôtô vmin = 1,69 (m/s) tương ứng với số vòng quay ổn
ịnh nhỏ nhất của ộng cơ nmin = 640 (vòng/phút).
- Trong khoảng vận tốc từ 0 ến vmin ôtô bắt ầu khởi hành, khi ó, li hợp trượt
và bướm ga mở dần dần.
- Ở tốc ộ vmax = 51,39 (m/s) thì jv = 0, lúc ó xe không còn khả năng tăng lOMoAR cPSD| 59735610 tốc.
- Do ảnh hưởng của δj mà j2 (gia tốc ở tay số 2) > j1 (gia tốc ở tay số 1).