Report tài liệu
Chia sẻ tài liệu
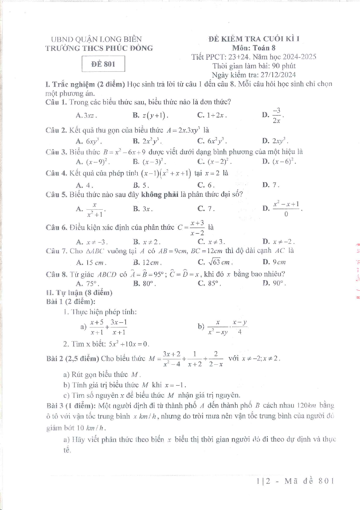
Đề cuối kì 1 Toán 8 năm 2024 – 2025 trường THCS Phúc Đồng – Hà Nội
Giới thiệu đến quý thầy, cô giáo và các em học sinh lớp 8 đề kiểm tra cuối học kì 1 môn Toán 8 năm học 2024 – 2025 trường THCS Phúc Đồng, quận Long Biên, thành phố Hà Nội. Kỳ thi được diễn ra vào ngày 27 tháng 12 năm 2024. Đề thi có đáp án chi tiết và hướng dẫn chấm điểm mã đề 801 – 802 – 803.
Chủ đề: Đề HK1 Toán 8 291 tài liệu
Môn: Toán 8 2.4 K tài liệu
Tác giả:
Tài liệu liên quan:
-
Bộ 5 Đề Kiểm Tra Học Kỳ 1 Toán 8 Kết Nối Tri Thức 2025-2026 Có Đáp Án
11 6 -
Đề tham khảo cuối kỳ 1 Toán 8 năm 2024 – 2025 phòng GD&ĐT Thủ Đức – TP HCM
39 20 -
Đề tham khảo cuối kì 1 Toán 8 năm 2024 – 2025 phòng GD&ĐT Hóc Môn – TP HCM
28 14 -
Đề tham khảo cuối kỳ 1 Toán 8 năm 2024 – 2025 phòng GD&ĐT Quận 3 – TP HCM
28 14 -
Đề tham khảo cuối kì 1 Toán 8 năm 2024 – 2025 phòng GD&ĐT Bình Thạnh – TP HCM
28 14















