



















Preview text:
TRƯỜNG ĐẠI HỌC KIẾN TRÚC TP.HCM KHOA XÂY DỰNG
BỘ MÔN THỰC NGHIỆM XÂY DỰNG BÁO CÁO
THÍ NGHIỆM SỨC BỀN VẬT LIỆU
SINH VIÊN THỰC HIỆN : NGUYỄN XUÂN HÀO NHÓM 3 LỚP : XD22/A1
GIẢNG VIÊN HƯỚNG DẪN: NGUYỄN NGỌC XUẤT --- 2024 --- 1
MÔN HỌC: SỨC BỀN VẬT LIỆU
THỰC HÀNH: THÍ NGHIỆM KÉO – NÉN MẪU VẬT LIỆU
- Ngành đào tạo: Kỹ sư xây dựng
- Số tiết thí nghiệm: 10 tiết - Ngày thí nghiệm: - Ngày viết báo cáo:
A. MỤC ĐÍCH YÊU CẦU:
Sau bài học thí nghiệm các sinh viên đạt được các yêu cầu sau:
- Nâng cao sự hiểu biết về quá trình chịu lực của vật liệu từ khi bắt đầu gia tải đến khi vật liệu bị phá hoại
- Vẽ được biểu đồ quan hệ giữa ứng suất và biến dạng của vật liệu khi chịu lực σ σ σ
- Xác định được các chỉ tiêu cơ lý của vật liệu dh - ch - b - E – μ – G
- Hiểu được tính năng sử dụng của các thiết bị thí nghiệm: biết cách sử dụng thước kẹp &
đồng hồ đo chuyển vị
B. TỔ CHỨC THÍ NGHIỆM:
- Một nhóm thí nghiệm gồm 15 sinh viên, các sinh viên phải trực tiếp thực hành thí nghiệm kéo – nén vật liệu.
- Số lượng thí nghiệm: 6 thí nghiệm
• 1 thí nghiệm kéo mẫu vật liệu dẻo.
• 1 thí nghiệm kéo mẫu vật liệu giòn.
• 1 thí nghiệm nén mẫu vật liệu giòn.
• 1 thí nghiệm kéo mẫu vật liệu gỗ.
• 1 thí nghiệm nén mẫu vật liệu gỗ.
• 1 thí nghiệm uốn mẫu vật liệu gỗ.
- Giảng viên hướng dẫn cho từng nhóm sinh viên các nội dung chính:
• Cách sử dụng và đọc các loại đồng hồ trong thí nghiệm.
• Các bước thí nghiệm với từng mẫu vật liệu.
• Cách ghi chép và xử lý số liệu thí nghiệm.
• Lập báo cáo kết quả thí nghiệm.
C. TRANG THIẾT BỊ THÍ NGHIỆM:
- Thiết bị gây tải: máy kéo nén vạn năng 100T.
- Đồng hồ đo chuyển vị khuếch đại cao tầng.
- Thước kẹp khuếch đại 10 lần.
D. KẾT QUẢ THÍ NGHIỆM:
Được trình bày theo nội dung của từng bài thí nghiệm BÀI 1: 2
THÍ NGHIỆM KÉO THÉP (VẬT LIỆU DẺO)
1. Kích thước mẫu:
a. Trước khi thí nghiệm: - Mẫu hình trụ.
- Chiều dài: l0 = 35.4cm = 354mm
- Đường kính: d0 = 15.4mm. F - Diện tích 0 = 1.86cm2
b. Sau khi thí nghiệm: - Chiều dài: 39,7cm=397mm
- Đường kính thường: 15.4mm
- Đường kính nơi thắt: 14.97 mm
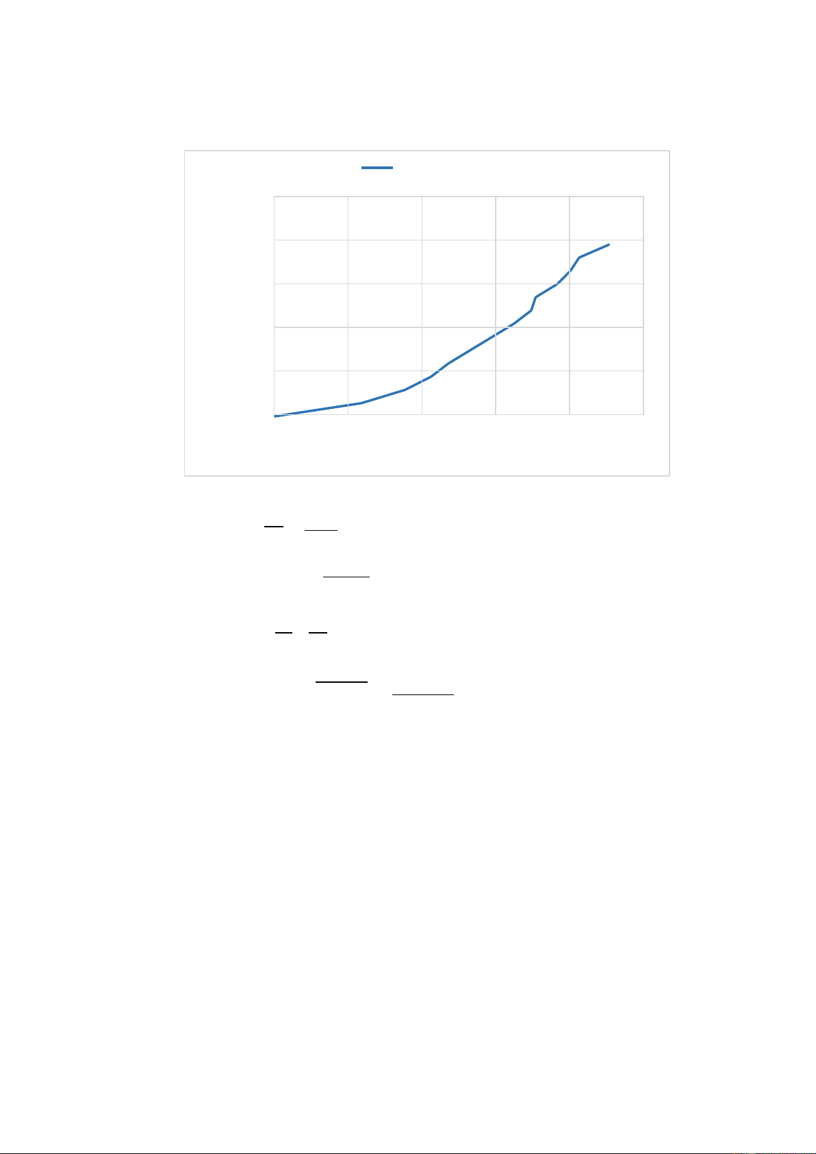
2. Các số liệu thí nghiệm: Chỉ Cấp tải số đồng Δl σ = N hồ đo biến Δl ε = trọng(KN) F (mm) z (kG/ dạng dài l 0 (%) cm2) 0 46 0 0.00 0.00 5 49 3 0.85 268.82 10 50.5 4.5 1.27 537.63 15 51.5 5.5 1.55 806.45 20 52 6 1.69 1075.27 25 53 7 1.98 1344.09 30 53.7 7.7 2.18 1612.90 35 54 8 2.26 1881.72 40 55 9 2.54 2150.54 45 55 9 2.54 2419.35 50 55.5 9.5 2.68 2688.17 55 56 10 2.82 2956.99 60 56.2 10.2 2.88 3225.81 65 56.8 10.8 3.05 3494.62 70 57 11 3.11 3763.44 85 65 19 5.37 4569.89 3 90 69 23 6.50 4838.71 95 76 30 8.47 5107.53 96.5 79 33 9.32 5188.17 100 79 33 9.32 5188.17 σ ε 3. Vẽ
đồ thị quan hệ ứng suất z và biến dạng dài tương đối z Ứng suất(KG/cm2) 6000.00 5000.00 4000.00 t ấ uSg 3000.00 n Ứ 2000.00 1000.00 0.00 0.00 1.00 2.00 3.00 4.00 5.00 6.00 7.00 8.00 9.00 10.00 Biến dạng dài(%)
(Đồ thị quan hệ giữa ứng suất và biến dạng)
4. Xác định các chỉ tiêu cơ lý vật liệu: Pdh σ = 7000 dh F - Giới hạn đàn hồi: 0 = 1.86 = 3763.44(kG/cm2) Pch σ = 8500 ch F - Giới hạn chảy: 0 = 1.86 = 4569.89 (kG/cm2) Pb σ = 9650 b F - Giới hạn bền: 0 = 1.86 = 5188.17 (kG/cm2) 4838.71 -
Mô đun đàn hồi: E = tgα = = 74441.69231 (kG/cm2) 6.5 ε ε
μ= x = y ε ε - Hệ số nở hông: z z = 0.3 G= E 74441.69231
- Mô đun đàn hồi trượt: 2 (1+ μ ) = 2,44 = 3049.873898 (kN/cm2) 4 (F −F ) ψ= 0 1 . 100 %
1,86 – 1.76 × - Độ thắt tỉ đối: F0 = 1,86 100% = 5 %
5. Nhận xét quá trình thí nghiệm kéo mẫu thép:
- Sau khi kẹp mẫu ở cấp tải trọng 10 (kN) rồi bắt đầu tăng lực từng cấp trong giai
đoạn cấp tải trọng từ 10 – 70(kN) ta thấy lực tăng và biến dạng cũng tăng theo, đồ
thị quan hệ giữa ứng suất và biến dạng có dạng đường bậc 1, giai đoạn này gọi là
giai đoạn đàn hồi của thép và giới hạn đàn hồi của thép là 3763.44 (kG/cm2).
- Sau đó tiếp tục tăng tải nhưng đồng hồ tải trọng tăng không đáng kể, khi đó đồng hồ
biến dạng tăng nhanh. Đồ thị có dạng đường cong đi ngang, giai đoạn này gọi là
giai đoạn chảy dẻo có tải trọng lớn nhất là 85 (KN) và giới hạn chảy là 4569.89 (kG/cm2).
- Tiếp tục tăng tải ta thấy đồng hồ tải trọng tăng và đồng hồ biến dạng cũng tăng theo,
giai đoạn này là giai đoạn củng cố hay còn gọi là giai đoạn tái bền có tải trọng lớn
nhất là 94 (kN) ứng với giới hạn bền là 5188.17 (kG/cm2). Lúc này mẫu thép xuất hiện eo thắt ở giữa.
- Tiếp tục tăng tải ta thấy đồng hồ đo biến dạng tăng nhưng đồng hồ tải trọng có hiện
tượng dao động ngược lại và tách kim đến vị trí có tải 96.5 (kN) thì phát ra tiếng nổ,
mẫu thép bị đứt tại vị trí eo thắt.
- *Kết luận: Thép là vật liệu có cường độ chịu kéo lớn nên nên thí nghiệm kéo thép
sẽ có thời gian lâu hơn so với các vật liệu
khác, do thép là vật liệu dẻo nên khi thí
nghiệm kéo thép, thép sẽ bị phá hoại từ từ
qua nhiều giai đoạn. Ngoài ra, cũng có một số
nguyên nhân ảnh hưởng đến sai số trong quá
trình thí nghiệm: tốc độ tăng tải trong lúc thí
nghiệm, đọc các thông số không chính xác.
Từ đó suy ra, thép là vật liệu dẻo, các kết quả
thu được phù hợp với lý thuyết. 5 BÀI 2:
THÍ NGHIỆM KÉO GANG (VẬT LIỆU DÒN)
1. Kích thước mẫu:
a. Trước khi thí nghiệm: - Mẫu hình trụ.
- Chiều dài: l0 = 33.9cm
- Đường kính: d0 = 20.5mm F - Diện tích 0 = 3.3cm2
b. Sau khi thí nghiệm: - Chiều dài: 38.31cm - Đường kính: 20.4mm
2. Các số liệu thí nghiệm: Chỉ Cấp số đồng hồ tải trọng đo biến dạng l = l (mm) z = N (kN) l F dài 0 (%) (kN/cm2) 0 46 0 0.00 0.00 5 48 2 0.59 151.52 10 49 3 0.88 303.03 15 49.6 3.6 1.06 454.55 20 50 4 1.18 606.06 25 50.5 4.5 1.33 757.58 30 51 5 1.47 909.09 35 51.5 5.5 1.62 1060.61 40 51.9 5.9 1.74 1212.12 45 52 6 1.77 1363.64 50 52.5 6.5 1.92 1515.15 55 52.8 6.8 2.01 1666.67 60 53 7 2.06 1818.18 65 53.7 7.7 2.27 1969.70 6 3. Vẽ σ ε
đồ thị quan hệ ứng suất z và biến dạng dài tương đối z Ứng suất(KG/cm2) 2500.00 2000.00 1500.00 t ấ uSg n 1000.00 Ứ 500.00 0.00 0 . 0 0 0 . 5 0 1 . 0 0 1 . 5 0 2 . 0 0 2 . 5 0 Biến dạng dài(%)
4. Xác định các chỉ tiêu cơ lý vật liệu: Pb σ = 6500 b F - Giới hạn bền: 0 = 3.3 = 1969.70 (kG/cm2) 151.52 -
Mô đun đàn hồi: E=tgα = = 25681.35 (kG/cm2) 0.59 ε ε
μ= x = y ε ε - Hệ số nở hông: z z = 0,21 G= E 25681,35
- Mô đun đàn hồi trượt: 2 (1+ μ ) = 2 = 12840.675 (kG/cm2)
5. Nhận xét quá trình thí nghiệm kéo mẫu gang:
- Sau khi kẹp mẫu ở cấp tải trọng 0 (kN) rồi bắt đầu tăng tải ta thấy đồng hồ đo biến
dạng cũng tăng nhưng rất chậm. Lúc này đồ thị quan hệ giữa ứng suất và biến dạng
của gang có dạng đường bậc 1, giai đoạn này gọi là giai đoạn đàn hồi.
- Tiếp tục tăng tải trọng đến 65 (kN) thì phát ra tiến nổ, thanh gang gãy đột ngột, đồ
thị quan hệ giữa ứng suất và biến dạng là đường cong tăng liên tục theo giá trị ứng
suất và kết thúc tại mẫu bị đứt. Đồ thị không có giai đoạn chảy dẻo như thép mà chỉ
có giới hạn bền là 1969.70 (kG/cm2).
- Sau đó lấy mẫu ra kiếm tra ta thấy vị trí đứt không tạo ra eo thắt như thép, đường
kính đo được trước và sau thí nghiệm là bằng nhau d = 20.5mm. 7
*Kết luận: Gang là vật liệu giòn, biến dạng của gang khó phát hiện khi tải tăng và gần như
không biến dạng. Do gang là vật liệu giòn nên quá trình phá hủy xảy ra nhanh và chỉ qua 1
giai đoạn. Từ đó suy ra, gang là vật liệu chịu kéo rất kém và dễ bị đứt, gãy khi có tác động nhỏ. BÀI 3:
THÍ NGHIỆM NÉN GANG (VẬT LIỆU GIÒN)
1. Kích thước mẫu:
a. Trước khi thí nghiệm: - Mẫu hình trụ.
- Chiều dài l0 = 22mm. N -
Đường kính d0 = 14mm. F - Diện tích 0 = 1,54cm2
b. Sau khi thí nghiệm: N - Chiều dài: 18mm - Đường kính: 14.5mm
2. Các số liệu thí nghiệm: Kích thước mẫu (mm) Diện Lực Cường Số tích nén giới độ chịu TT Bán kính Cao chịu hạn nén giới hạn mẫu nén đáy F0 (cm2) Ngh (kG) Rn (kG/cm2) R0 h 1 7.0 22.0 1.54 11003.76 7145.29 8 =70,07 (kN/cm2)
3. Nhận xét quá trình thí nghiệm nén mẫu gang:
- Sau khi kẹp mẫu ở cấp tải trọng 0 (kN) rồi bắt đầu tăng tải ta thấy mẫu gang bị ép cong ra ở
phần thân. Tiếp tục tăng tải trọng đến cấp 107.07 (kN) thanh gang bị phá hoại và vỡ ra, phần
bụng bị nở ra và nứt xiên góc gần 45° so với phương tác dụng có giới hạn bền là 70.07(kN/cm2 ).
*Kết luận: Qua hai thí nghiệm ta thấy, ứng suất nén gang lớn hơn khoảng 2,36 gấp lần so
với ứng suất kéo. Từ đó suy ra gang là vật liệu giòn chịu nén tốt nhưng chịu kéo rất kém. Mẫu gang sau khi bị nén
(Mẫu gang sau khi bị nén)
Lí do mẫu gang nứt xiên:
- Gang mẫu thí nghiệm là loại gang xám, có
chứa Sắt và Cacbon từ 3 đến 3,5%, có độ bền nén
cao, độ bền kéo thấp và không tồn tại dẻo.
- Vị trí mẫu gang có hiện tượng nứt gãy dẫn
đến phá huỷ là nơi có các liên kết phân tử yếu nhất.
- Qua quan sát ta có thể thấy tại vị trí (1) và
(2) của mẫu gang có sự phình ra => gây nén lên
thành ngoài => gây kéo ở bên trong => tạo ra ứng suất theo phương ngang. Mà mẫu gang chịu
nén tốt, chịu kéo kém nên với n theo phương đứng và
theo phương ngang => gây ra 1 ứng suất
trượt theo phương xiên, dẫn đến bề mặt phá huỷ cũng nằm trên phương xiên. Và vì gang giòn, 9
không có giai đoạn chảy dẻo nên bề mặt phá huỷ là đường chéo bằng phẳng và không có sự cong, nứt. BÀI 4:
THÍ NGHIỆM KÉO GỖ DỌC THỚ 1. Mục đích:
Xác định cường độ chịu kéo giới hạn dọc thớ của mẫu gỗ ở độ ẩm tự nhiên.
2. Mẫu thí nghiệm:
- Gỗ có tiết diện 20 x 20mm, dài 350mm, b= 30mm, h= 6mm, L0= 130mm.
- Được gia công đưa về mẫu chịu kéo theo TCVN 364 – 70.
- Độ ẩm mẫu gỗ: trong điều kiện tự nhiên. 20x20 30mm 20x20
3. Sơ đồ thí nghiệm: 6mm
- Sơ đồ đặt tải kéo mẫu:
- Tốc độ gia tải: 2 (kG/s) 30mm 30mm 80mm 130mm 80mm
4. Số liệu và kết quả thí nghiệm: Kích thước mẫu (cm) Diện Lực Cường Số tích kéo độ chịu TT Dài Rộng Cao chịu giới kéo giới hạn mẫu kéo hạn F (cm2) Ngh (kG) Rk (kG/cm2) L0 b h 1 13 3.0 0.6 1.8 1500 833.33 =8.17(kN/cm2)
5. Nhận xét và kết luận:
- Sau khi kẹp mẫu và tiến hành tăng tải đến khi mẫu bắt
đầu nứt sau đó bị phá hoại theo thớ dọc của gỗ, mẫu bị
phá hoại nhanh và tải trọng tác dụng nhỏ. Cường độ
chịu kéo giới hạn là 833.33 kG/cm2.
- Trong quá trình thí nghiệm, mẫu bị phá hoại có biến
dạng tương đối nhỏ, gỗ là vật liệu không đồng nhất
tương ứng với từng kết quả thí nghiệm là lực kéo giới
hạn và cường độ chịu kéo giới hạn của từng mẫu.
*Kết luận: gỗ là vật liệu không đồng nhất và chịu kéo không tốt.
(Mẫu gỗ sau khi bị kéo) 10 BÀI 5:
THÍ NGHIỆM NÉN GỖ DỌC THỚ 1. Mục đích:
Xác định cường độ chịu nén giới hạn dọc thớ của mẫu gỗ ở độ ẩm tự nhiên.
2. Mẫu thí nghiệm:
- Được gia công đưa về mẫu chịu kéo theo TCVN 363 – 70.
- Độ ẩm mẫu gỗ: trong điều kiện tự nhiên. N
3. Sơ đồ thí nghiệm:
- Sơ đồ đặt tải kéo mẫu:
- Tốc độ gia tải: 2KG/s N
4. Số liệu và kết quả thí nghiệm: Kích thước mẫu (cm) Cường độ Diện Lực Số tích nén TT Dài Rộng Cao chịu nén giới chịu giới mẫu nén hạn hạn F (cm2) Ngh (kG) a b h Rn (kG/cm2) 1 3.0 2.97 2.97 8.91 4150 465.77
5. Nhận xét và kết luận:
- Sau khi kẹp mẫu và tiến hành tăng tải đến khi mẫu bắt
đầu bị phá hoại, mẫu gỗ vở ra. Sau khi thí nghiệm ta
thấy mẫu bị sụp xuống theo thớ dọc của gỗ. Cường độ
chịu nén giới hạn của mẫu là = 465.77 (kN/cm2). Với
tải trọng nhỏ ta thấy gỗ là vật liệu chịu kéo rất kém
nhưng chịu lực khỏe theo phương dọc thớ gỗ và nhỏ
hơn khả năng chịu kéo của thép, gang.
- *Kết luận: Gỗ là vật liệu không đồng nhất và chịu nén khá tốt. 11
BÀI 6: THÍ NGHIỆM UỐN PHẲNG MẪU GỖ 1. Mục đích:
Xác định cường độ chịu uốn giới hạn của mẫu gỗ ở độ ẩm tự nhiên.
2. Mẫu thí nghiệm:
- Gỗ dầu có tiết diện 30 x 30m , dài 300mm, L0=240mm.
- Được gia công đưa về mẫu chịu kéo theo Kích thước mẫu (cm) Moment Moment Chỉ số lực Lực uốn uốn Cường Số giới độ chịu Dài Rộng Cao kháng uốn kế giới hạn hạn uốn giới hạn mẫu Wx Nn Nu=Nn/2 Mgh R (cm3) (kG) (kG) u (kG/cm2) (kGcm) L0 b h 1 24 3 3 4.5 590 295 3540 786.67 TCVN 365 – 70.
- Độ ẩm mẫu gỗ: trong điều kiện tự nhiên.
3. Sơ đồ thí nghiệm:
- Sơ đồ đặt tải uốn mẫu:
- Tốc độ gia tải: 1KG/s - Gối tựa truyền tải.
4. Số liệu và kết quả thí nghiệm:
5. Nhận xét và kết luận:
- Sau khi kẹp mẫu và tiến hành tăng tải lúc đầu thì ta thấy mẫu chưa có hiện tượng thay
đổi gì cho đến khi tiến hành tăng tải lớn dần lên mẫu ta thấy thanh gỗ bị võng xuống,
phía trên thớ gỗ chịu nén, phía dưới thớ gỗ chịu kéo. Và khi tải lớn tới hạn thì mẫu bị
nứt và gãy theo thớ dọc tại vị trí có momen uốn cực trị, cách gối 15 mm.
- Khả năng chịu uốn của gỗ phụ thuộc vào các thớ gỗ và cách sắp xếp của chúng, mỗi
loại gỗ sẽ có cường độ chịu uốn khác nhau. Trong quá trình thí có thể sai số do tốc
độ tăng tải hoặc do khuyết tật của gỗ. 12
*Kết luận: Gỗ là vật liệu không
đồng nhất và chịu uốn không tốt
(Mẫu gỗ sau khi bị uốn)
PHẦN II: THÍ NGHIỆM XÁC ĐỊNH CÁC TÍNH CHẤT CƠ LÝ CỦA VẬT LIỆU XÂY DỰNG
A. GIỚI THIỆU CHUNG • Ngành đào tạo:
Xây dựng dân dụng và công nghiệp
• Số tiết thí nghiệm: 15 tiết
• Thời điểm thí nghiệm: Các bài thí nghiệm được thực hiện sau khi sinh viên đã được học các
phần lý thuyết tương ứng.
• Các loại vật liệu xây dựng dùng thí nghiệm: gạch ống, gạch thẻ, xi măng, bêtông, cốt liệu. B. MỤC ĐÍCH YÊU CẦU
Sau khi thực hành thí nghiệm, sinh viên cần đạt được các yêu cầu sau:
• Hiểu biết cơ bản về công tác thí nghiệm (khâu chuẩn bị mẫu, khâu chuẩn bị trang thiết bị, khâu
thí nghiệm, khâu xử lý số liệu và đánh giá kết quả)
• Nâng cao sự hiểu biết về quá trình chịu lực từ khi bắt đầu gia tải đến khi vật liệu bị phá hoại.
• Xác định được một số chỉ tiêu cơ lý của vật liệu xây dựng như: giới hạn cường độ chịu nén,
chịu uốn, độ sụt và mác vật liệu.
• Hiểu được tính năng sử dụng và biết vận hành các trang thiết bị, máy móc thí nghiệm.
C. TỔ CHỨC THÍ NGHIỆM
• Một nhóm thí nghiệm gồm có 15-20 sinh viên. sinh viên được hướng dẫn trực tiếp thực hành thí
nghiệm với từng bài thí nghiệm cụ thể.
• Các bài thí nghiệm gồm có:
Bài 1: Thiết kế cấp phối – chế tạo mẫu bê tông – vữa xi măng.
Bài 2: Thí nghiệm xác định độ sụt của hỗn hợp bêtông.
Bài 3: Thí nghiệm xác định giới hạn cường độ chịu nén của bêtông.
D. KẾT QUẢ THÍ NGHIỆM
được trình bày theo nội dung của từng bài thí nghiệm cụ thể. BÀI 1
CHẾ TẠO MẪU BÊ TÔNG – VỮA XI MĂNG
I. NGUYÊN VẬT LIỆU 13
- Xi măng: PCB 40 ; γa= 3,1 T/m3 ; γo= 1,1 T/m3 ;
Mác xi măng xác định theo phương pháp ướt.
- Cát vàng: γ c a = 2,65 T/m3 ; γ c o = 1,45 T/m3 ; W= 2 % ;
- Đá dăm : γ ñ a = 2,7 T/m3 ; γ ñ o = 1,42 T/m3 ; W= 0 % ; Ñ m ax = 20 mm.
- Phụ gia : Sử dụng phụ gia gì : không sử dụng phụ gia :
Giảm nước : không ; Liều lượng : trung bình ;
Chất lượng cốt liệu : trung bình ;
- Nước : Dùng nước máy trong phòng thí nghiệm II. YÊU CẦU
1. Thiết kế cấp phối bê tông mác 250 ; SN = 10 2 cm.
2. Thí nghiệm xác định độ sọt SN của hỗn hộp bê tông (bài 2)
3. Chế tạo 3 mẫu bê tông kích thước 15x15x15cm để xác định mác bê tông theo cường độ chịu nén.
III. TRÌNH TỰ THIẾT KẾ CẤP PHỐI BÊ TÔNG
- Xác định các thông số vật lý γa, γo, r, W của các nguyên vật liệu.
- Tính toán (theo phương pháp thể tích tuyệt đối và công thức thực nghiệm của Bolomey – Kramtaev) :
a. Tính liều lượng nguyên vật liệu ở trạng tháo khô dùng cho 1m3 bê tông:
- Xác định tỉ lệ X/N: ❖
; Khi 1,4 ∈ X/N 2,5 hoaëc Rb≤500 kG/cm2 ❖
; Khi X/N > 2,5 hoaëc Rb>500 kG/cm2
Với yêu cầu đề bải : Rb =250 < 500 kG/cm2 X Rb 250 37 = + + N A . R 0,5= 0,5= X 0,6× 400 24
- Xác định lượng nước (N): Căn cứ vào đặc điểm kết cấu và phương pháp thi công, chọn chỉ
tiêu tính dẻo (độ sụt, độ cứng). Rồi tra bảng để xác định lượng nước sơ bộ.
Độ sụt SN= 10 2 ; Đmax= 20 mm → N= 215 ( l )
Không dùng phụ gia giảm nước : Ntt= N= 215 ( l )
- Xác định lượng xi măng( X): 14
X = X . N tt= 37 × 215=331.458(kg) N 24
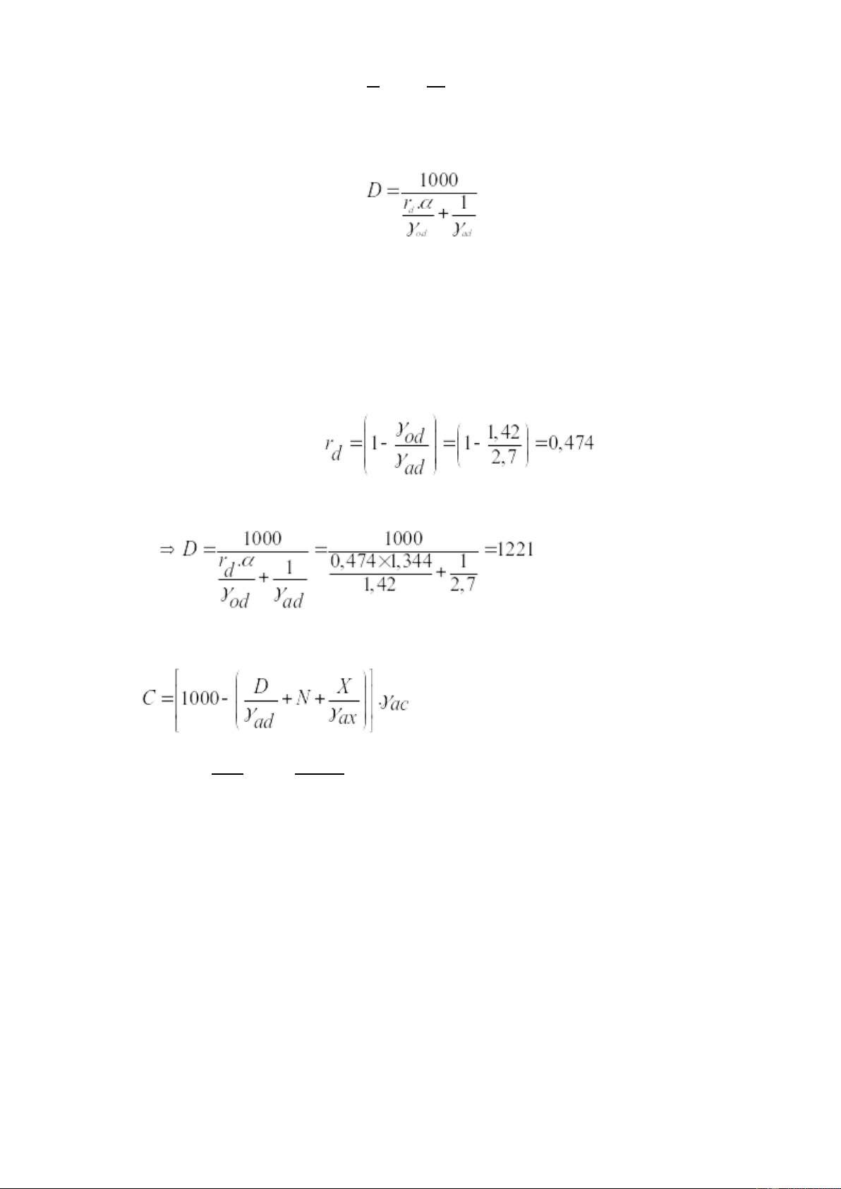
- Xác định lượng đá dăm: (kg) Trong đó :
+ α = 1,344: Hệ số tăng lượng vữa xi măng để bao bọc các hạt cốt liệu lớn (hệ số bọc vữa, hệ
số trượt). Hệ số α tùy thuộc vào loại hỗn hợp bê tông.
+ 1000: Chính là 1000 lít bê-tông (1m3)
+ rđ: độ rỗng của đá
+ γod, γad: khối lượng thể tích và khối lượng riêng của đá (kg)
- Xác định lượng cát C:
¿ [1000−( 1221 +215+ 331.458 )]× 2,65=598.52(kg) 2,7 3,1
b. Tính liều lượng nguyên vật liệu ở trạng thái ẩm cho 1m3 bê tông : X1 = X = 331.458 (kg)
C1 = Cw = C.(1+Wc) = 598.52 x (1 + 0.02) = 610.4904 (kg) D1 = Dw= 1221 (kg) N1 = N - (C.Wc + D.Wd)
= 215 - (0.02 x 598.52 + 0 x 1221)=203.03 (lít) PG1 = PG= 0 15
c. Kiểm tra vật liệu bằng thực nghiệm: Lấy liều lượng nguyên vật liệu để đúc 3 mẫu bê
tông (11 lít) kích thước 15x15x15cm, đem nhào trộn để kiểm tra SN, dưỡng hộ sau 28 ngày trong
điều kiện chuẩn, xác định Rn lấy kết quả trung bình ⟶ Mác BT
IV. KẾT QUẢ THIẾT KẾ CẤP PHỐI BÊ TÔNG
Bê tông mác M 250, SN= 10 2 cm: α = 1,344 A= 0.6 X/N = 37/24 Nguyên vật liệu 1m3 bê tông 11 lít bê tông Đơn vị Xi măng = 331.458 3,15 Kg Cát vàng = 598.52 6.5 Kg Đá dăm = 1221,00 13.431 Kg Nước = 203,03 2,23 Lít Phụ gia = 0 0 Lít
V. NHẬN XÉT VÀ KẾT LUẬN
- Mục đích chế tạo các mẫu bê tông để xác định cường độ chịu nén của bê tông sau 28 ngày
bảo dưỡng có đạt cường độ yêu cầu hay không để điều chỉnh lại cấp phối cho hợp lí.
- Trước khi chế tạo mẫu, cần tính toán cấp phối cho hỗn hợp bê tông. Mục đích là tìm ra tỉ lệ
phối trộn hợp lí giữa các thành phần vật liệu ( xi măng, cát, đá, nước, phụ gia ) trong m3 bê
tông, nhằm có loại bê tông đạt cường độ yêu cầu và kinh tế.
- Trước khi tính toán cần có các dữ liệu sau :
+ Mác bê tông và độ sụt yêu cầu.
+ Các chỉ tiêu cơ lý : ɣa , ɣo , W , Đmax , chất lượng cốt liệu.
+ Có dùng phụ gia hay không.
+ Thi công bằng tay hay bằng máy.
- Sau khi tính toán ta thấy đá ( cốt liệu lớn ) là thành phần chiếm tỉ lệ cao nhất.
- Tiến hành trộn 11 m3 bê tông, khi trộn phải đảm bảo trộn đều hỗn hợp với nhau.
- Phải kiểm tra lại độ sụt và cường độ bê tông vì khi tính toán sử dụng các bảng tra, công thức
thực nghiệm nên không chính xác theo điều kiện thực tế, độ ẩm vật liệu thay đổi, cốt liệu chưa sạch…..
- Phải giữ lại số liệu cấp phối để có thể điều chỉnh sau này nếu cần. Số liệu cấp phối hoàn
thiện sẽ được sử dụng cho công tác bê tông. ⇨ Kết luận 16
- Tính toán thiết kế cấp phối là công tác quan trọng và thực tế. Với một cấp phối hợp lí nhất
sẽ có được loại bê tông có cường độ cao và kinh tế nhất.
- Công tác chế tạo mẫu phải được tiến hành theo đúng theo các quy chuẩn đề ra, giúp xác
định chính xác cường độ vật liệu để kiểm tra lại cường độ so với thiết kế.
- Kết quả tính cấp phối bê tông mang tính chất tương đối, vì các nguyên vật liệu có các thông
số không giống như đề bài, sai số khi cân đo đong đếm, rơi vãi vật liệu khi chế tạo bê tông,
khuôn chế tạo bê tông không kín làm cho mất nước xi măng. Cường độ bê tông có thể
không đạt như đề bài yêu cầu. BÀI 2
THI NGHIỆM THỬ DỘ SỤT (SN) CỦA HỖN HỢP VỮA BE TONG (THEO TCVN 3106 :1993)
I. MỤC ĐÍCH: Xác định độ sụt sn của hỗn hợp bê tông.
II. THIẾT BỊ THỬ:
- Côn thử độ sụt tiêu chuẩn : d=100, d=200, h=300mm
- Que đầm (thanh thép tròn trơn 16, dài 600mm, 2 đầu múp tròn)
- Thước lá kim loại (dài 30cm).
III. LẤY MẪU THÍ NGHIỆM:
- Hỗn hợp bêtông được trộn bằng tay.
- Khối lượng nguyên vật liệu: theo bài 1.
IV. TIẾN HÀNH THỬ:
- Đặt côn lên nền ẩm, không thấm nước.
- Đổ hỗn hợp bê tông qua phểu vào côn làm 3 lớp, chiều cao mỗi lớp khoảng 1/3 chiều cao côn.
- Dùng que chọc mỗi lớp 25 lần và chọc đều từ ngoài vào giữa, lớp sau xuyên qua lớp trước
2-3 cm, lớp cuối vừa chọc vừa đổ.
- Xoa bằng mặt, từ từ nhấc côn lên theo phương thẳng đứng (trong khoảng 5-10s).
- Đặt côn sang bên cạnh và đo chênh lệch giữa chiều cao miệng côn và điểm cao nhất của
khối hỗn hợp (chính xác đến 0,5cm). số liệu đo được chính là độ sụt của hỗn hợp bê tông.
(tổng thời gian từ khi đổ hỗn hợp vào côn đến khi nhấc côn khỏi khối hỗn hợp không quá 150s). 17 V. SƠ ĐỒ THÍ NGHIỆM S =? h D
VI. SỐ LIỆU VÀ KẾT QUẢ THÍ NGHIỆM : Loại bê tông SN lý thuyết, cm SN thực tế, cm M 250 11 11 VII.
NHẬN XÉT VÀ KẾT LUẬN: -
Ta cho bê tông vào côn lần lượt 3 lớp, mỗi lớp 1/3 chiều cao côn. sau khi đổ từng lớp dùng thép
16 đầm theo quy chuẩn. 18
- Sau đó lấy côn ra và tiến hành đo độ sụt.
- Độ sụt đạt yêu cầu thiết kế, chất lượng đạt, thí nghiệm thành công.
- Mục đích của thí nghiệm là đo lượng sự đồng nhất của bê tông.
- Có thể dùng thí nghiệm trên để các định tính kết và giữ nước của hỗn hợp bê tông.
- Độ sụt của hỗn hợp bê tông có quan hệ chặt chẽ với tỉ lệ n/x
- Tùy theo loại kết cấu, loại và lượng cốt thép trong cấu kiện nhiều hay ít mà có yêu cầu độ sụt
khác nhau trong bê tông. nếu hỗn hợp bê tông có độ sụt không đạt yêu cầu sẽ ảnh hưởng lớn
đến quá trình thi công và chất lượng công trình sau này. KẾT LUẬN:
Tùy từng loại kết cấu, lượng cốt thép dùng trong kết cấu (với mật độ dày hay ít), theo yêu cầu về dộ
chịu lực và phương pháp thi công, ta lựa chọn tính dẻo (độ sụt hoặc độ cứng) khác nhau cho hỗn
hợp bê tông. Nếu hỗn hợp bê tông có tính dẻo không đạt yêu cầu sẽ ảnh hưởng lớn đến quá trình thi
công cũng như chất lượng công trình sau này. BÀI 3
THÍ NGHIỆM XÁC ĐỊNH GIỚI HẠN BỀN CỦA BÊ TÔNG (THEO TCVN 3118 :1993) I. MỤC ĐÍCH:
Xác định mác bê tông theo giới hạn cường độ chịu nén.
theo TCVN 6025:1995 phân loại mác bê tông theo cường độ chịu nén như sau: Mác bê tông
Cường độ nén ở tuổi 28 ngày
(kg/cm2), không nhỏ hơn M100 100 M125 125 M150 150 M200 200 M250 250 M300 300 M350 350 19 M400 400 M450 450 M600 600 M800 800 II. MẪU THÍ NGHIỆM:
- Nhóm mẫu gồm 3 viên mẫu.
- Kích thước viên mẫu chuẩn là 150 x 150 x 150mm (các viên mẫu khác kích thước trên khi thử
nén cần tính đổi kết quả về viên mẫu chuẩn).
III. THIẾT BỊ THỬ: - Máy nén, - Thước lá.
IV. SƠ ĐỒ THÍ NGHIỆM h
(Sơ đồ đặt tải nén mẫu)
V. SỐ LIỆU VÀ KẾT QUẢ THÍ NGHIỆM:
Mác thiết kế M 250, SN= 12. cm. Kí Cường Khối hiệu độ Kích thước mẫu lượng mẫu chịu (mm) mẫu, Khối Diện G nén lượng Lực nén Ngày tích (tuổi Mác phá hoại, riêng tuổi, a chịu 28 bê mẫu F (ngày) nén, A ngày) tông ( (kG) kG / m3) (cm2) Rn b h l (g) ( kG / cm2 ) 20