

















Preview text:
TRƯỜNG ĐẠI HỌC KIẾN TRÚC TP.HCM
KHOA XÂY DỰNG
BỘ MÔN THỰC NGHIỆM XÂY DỰNG BÁO CÁO
THÍ NGHIỆM SỨC BỀN VẬT LIỆU
VẬT LIỆU XÂY DỰNG GVHD
: NGUYỄN NGỌC XUẤT SVTH
: NGUYỄN THỊ QUỲNH NHƯ MSSV 22520100245 --- 2023 --- 1
PHẦN I: SỨC BỀN VẬT LIỆU
THỰC HÀNH: THÍ NGHIỆM KÉO – NÉN MẪU VẬT LIỆU
- Ngành đào tạo: Kỹ sư xây dựng
- Số tiết thí nghiệm: 10 tiết - Ngày thí nghiệm: - Ngày viết báo cáo:
A. MỤC ĐÍCH YÊU CẦU:
Sau bài học thí nghiệm các sinh viên đạt được các yêu cầu sau:
- Nâng cao sự hiểu biết về quá trình chịu lực của vật liệu từ khi bắt đầu gia tải đến khi vật liệu bị phá hoại
- Vẽ được biểu đồ quan hệ giữa ứng suất và biến dạng của vật liệu khi chịu lực σ σ σ
- Xác định được các chỉ tiêu cơ lý của vật liệu dh - ch - b - E – μ – G
- Hiểu được tính năng sử dụng của các thiết bị thí nghiệm: biết cách sử dụng thước kẹp
& đồng hồ đo chuyển vị
B. TỔ CHỨC THÍ NGHIỆM:
- Một nhóm thí nghiệm gồm 15 sinh viên, các sinh viên phải trực tiếp thực hành thí
nghiệm kéo – nén vật liệu.
- Số lượng thí nghiệm: 6 thí nghiệm
• 1 thí nghiệm kéo mẫu vật liệu dẻo.
• 1 thí nghiệm kéo mẫu vật liệu giòn.
• 1 thí nghiệm nén mẫu vật liệu giòn.
• 1 thí nghiệm kéo mẫu vật liệu gỗ.
• 1 thí nghiệm nén mẫu vật liệu gỗ.
• 1 thí nghiệm uốn mẫu vật liệu gỗ.
- Giảng viên hướng dẫn cho từng nhóm sinh viên các nội dung chính:
• Cách sử dụng và đọc các loại đồng hồ trong thí nghiệm.
• Các bước thí nghiệm với từng mẫu vật liệu.
• Cách ghi chép và xử lý số liệu thí nghiệm.
• Lập báo cáo kết quả thí nghiệm.
C. TRANG THIẾT BỊ THÍ NGHIỆM:
- Thiết bị gây tải: máy kéo nén vạn năng 100T.
- Đồng hồ đo chuyển vị khuếch đại cao tầng.
- Thước kẹp khuếch đại 10 lần.
D. KẾT QUẢ THÍ NGHIỆM:
Được trình bày theo nội dung của từng bài thí nghiệm BÀI 1: 2
THÍ NGHIỆM KÉO THÉP (VẬT LIỆU DẺO)
1. Kích thước mẫu:
a. Trước khi thí nghiệm: - Mẫu hình trụ.
- Chiều dài l0 = 150mm
- Đường kính d0 = 14mm F= 1,5cm2
b. Sau khi thí nghiệm: - Chiều dài: 202,8mm
- Đường kính thường: 14mm
- Đường kính nơi thắt: 10mm F= 0,8cm2
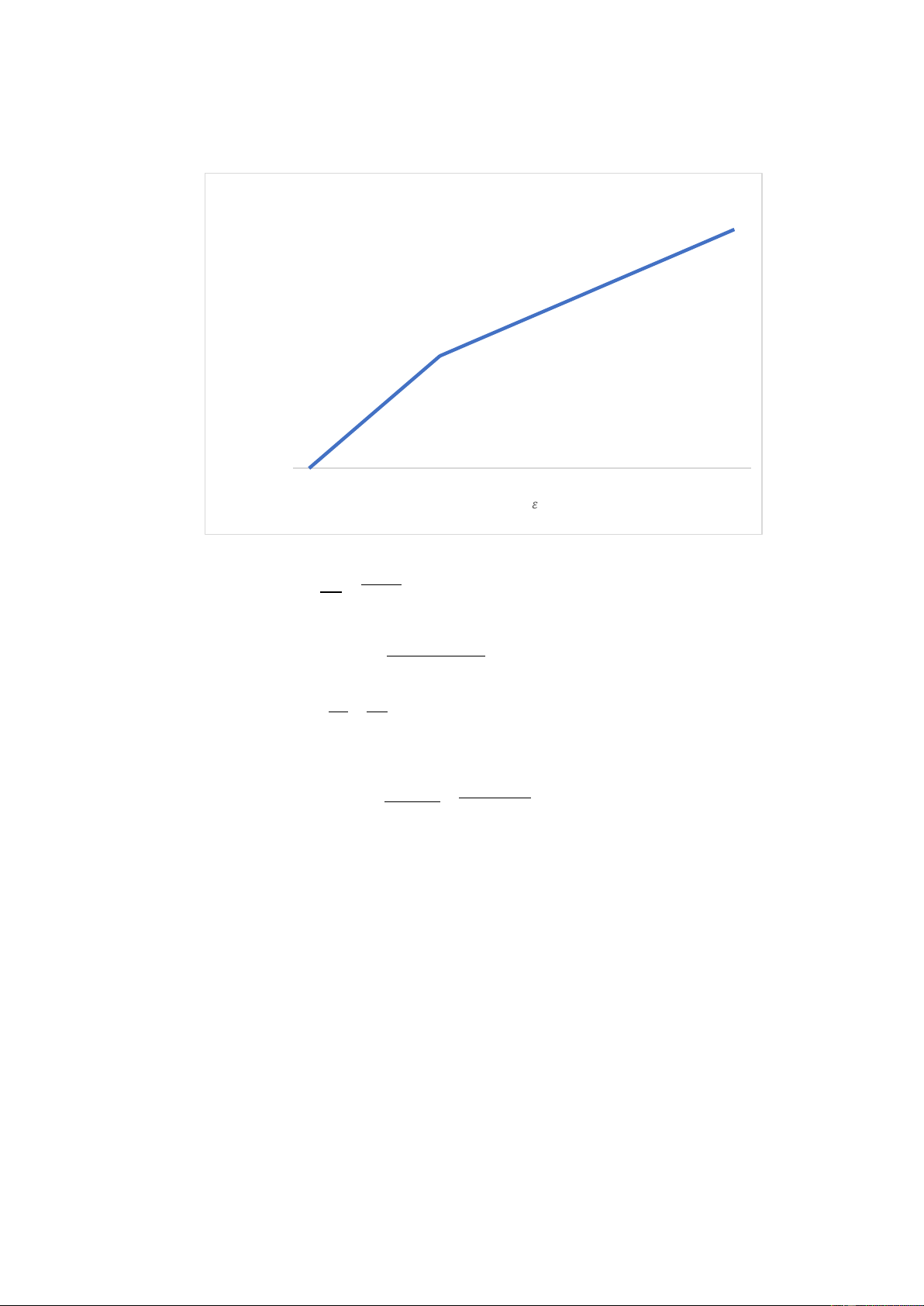
2. Các số liệu thí nghiệm: Chỉ N Cấp số đồng tải trọng Δl σ = hồ đo biến Δl ε (mm) F (kG/ (kG) z= dạng dài l 0 (%) cm2) 0 4,43 0 0 0 500 7,92 3,49 2,33 333,33 1000 9,65 5,22 3,48 666,67 1500 10,60 6,17 4,11 1000 2000 11,52 7,09 4,73 1333,33 2500 12,20 7,77 5,18 1666,67 3000 12,80 8,37 5,58 2000 3500 13,28 8,85 5,9 2333,33 4000 13,70 9,27 6,18 2666,67 4500 14,10 9,67 6,45 3000 5000 14,55 10,12 6,75 3333,33 5500 14,95 10,52 7,01 3666,67 6000 15,38 10,95 7,3 4000 6500 15,70 11,27 7,51 4333,33 7000 16,1 11,67 7,78 4666,67 7500 16,46 12,03 8,02 5000 7750 17,33 12,9 8,6 5166,67 7750 18 13,57 9,06 5166,67 7750 18,55 14,12 9,41 5166,67 7750 19,1 14,67 9,78 5166,67 7750 19,64 15,21 10,14 5166,67 7950 20,65 16,22 10,81 5300 8000 20,95 16,52 11,01 5333,33 8250 22,09 17,66 11,77 5500 8500 23,53 19,1 12,73 5666,67 8750 25,12 20,69 13,79 5833,33 3 9000 27,43 23 15,33 6000 9000 28,15 23,72 15,81 6000 9250 30,57 26,14 17,43 6166,67 9300 32,55 28,12 18,75 6200 9400 35,95 31,52 21,01 6266,67 9500 37,76 33,33 22,22 6333,33 9500 40,38 35,95 23,96 6333,33 9500 42,83 38,4 25,6 6333,33 9500 45,58 41,15 27,43 6333,33 9500 47,74 43,31 28,87 6333,33 9500 50,3 45,87 30,58 6333,33 9250 52,65 48,22 32,15 6166,67 9000 53,5 49,07 32,71 6000 8750 54,15 49,72 33,14 5833,33 8500 54,42 49,99 33,32 5666,67 8250 54,61 50,18 33,45 5500 8000 54,8 50,37 33,58 5333,33 3. Vẽ σ ε
đồ thị quan hệ ứng suất
z và biến dạng dài tương đối z 7000 6333.33 6333.33 6000 5300 5166.67 )2 4000 ^ 𝑐𝑚/ 𝑘𝑁( 3000 𝜎 T Ấ 2000 SU NGỨ 1000 0 𝜀 (%)
4. Xác định các chỉ tiêu cơ lý vật liệu: Pdh σ = 87,5 dh - Giới hạn đàn hồi: F ¿
=58,33 (kN / c m2)=5833,33 (kG / cm2) 0 1,5 Pch σ = 92,5 2 2 ch F ¿
=61,667( kN / c m )=6166,67 (kG / c m ) - Giới hạn chảy: 0 1,5 4 P σ = b 95 2 2 b ¿
=63,333(kN / cm )=6333,3(kG / cm ) - Giới hạn bền: F0 1,5 5833,333 -
Mô đun đàn hồi: E=tg α ¿
=42270,529(kG / c m2) 10,14 ×100 ε ε
- Hệ số nở hông: μ= x = Y =0,3
ε z ε Z E 5,095 G= 2
=16257,895(kG / c m )
- Mô đun đàn hồi trượt: 2 (1+ μ ) ¿ 2(1+0,3) (F −F ψ 0 1) = . 100 % ¿ 46,67 % - Độ thắt tỉ đối: F0
5. Nhận xét quá trình thí nghiệm kéo mẫu thép:
- Sau khi kẹp mẫu ở cấp tải trọng 0 (kN) rồi bắt đầu tăng lực từng cấp trong
giai đoạn cấp tải trọng từ 0 - 77.5(kN) ta thấy lực tăng và biến dạng cũng tăng
theo, đồ thị quan hệ giữa ứng suất và biến dạng có dạng đường bậc 1, giai
đoạn này gọi là giai đoạn đàn hồi của thép và giới hạn đàn hồi của thép là 5166,6 (kG/cm2).
- Sau đó tiếp tục tăng tải nhưng đồng hồ tải trọng tăng không đáng kể, khi đó
đồng hồ biến dạng tăng nhanh. Đồ thị có dạng đường cong đi ngang, giai
đoạn này gọi là giai đoạn chảy dẻo có tải trọng lớn nhất là 79,5 (KN) và giới
hạn chảy là 5300 (kG/cm2).
- Tiếp tục tăng tải ta thấy đồng hồ tải trọng tăng và đồng hồ biến dạng cũng
tăng theo, giai đoạn này là giai đoạn củng cố hay còn gọi là giai đoạn tái bền
có tải trọng lớn nhất là 95 (kN) ứng với giới hạn bền là 6333.3 (kG/cm2). Lúc
này mẫu thép xuất hiện eo thắt ở giữa.
- Tiếp tục tăng tải ta thấy đồng hồ đo biến dạng tăng nhưng đồng hồ tải trọng
có hiện tượng dao động ngược lại và tách kim đến vị trí có tải 80 (kN) thì
phát ra tiếng nổ, mẫu thép bị đứt tại vị trí eo thắt.
*Kết luận: Thép là vật liệu có cường độ chịu kéo lớn lớn nên nên thí nghiệm
kéo thép sẽ có thời gian lâu hơn so với các vật liệu khác, do thép là vật liệu dẻo
nên khi thí nghiệm kéo thép, thép sẽ bị phá hoại từ từ qua nhiều giai đoạn. Ngoài
ra, cũng có một số nguyên nhân ảnh hưởng đến sai số trong quá trình thí nghiệm:
tốc độ tăng tải trong lúc thí nghiệm, đọc các thông số không chính xác. Từ đó
suy ra, thép là vật liệu dẻo, các kết quả thu được phù hợp với lý thuyết. 5 6 BÀI 2:
THÍ NGHIỆM KÉO GANG (VẬT LIỆU DÒN)
1. Kích thước mẫu:
a. Trước khi thí nghiệm: - Mẫu hình trụ.
- Chiều dài l0 = 150mm.
- Đường kính d0 = 16mm. F= 2cm2
b. Sau khi thí nghiệm: - Chiều dài:155,74mm - Đường kính: 16mm F= 2cm2
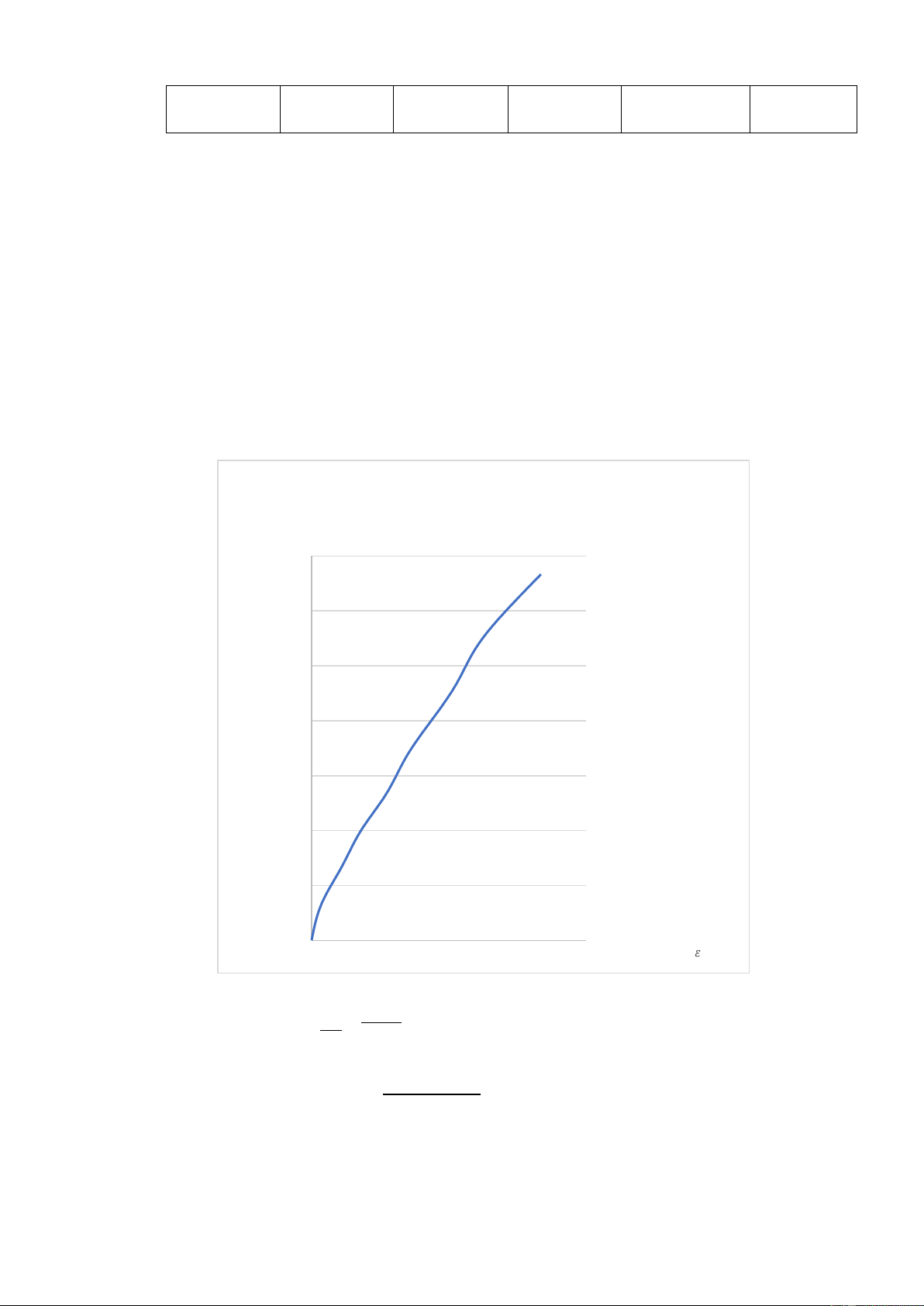
2. Các số liệu thí nghiệm: Chỉ N Cấp số đồng tải trọng Δl σ = hồ đo biến Δl ε (mm) F (kG/ (kG) z= dạng dài l 0 (%) cm2) 0 5,19 0 0 0 500 6,65 1,46 0,97 250 1000 7,46 2,27 1,51 500 1500 8,1 2,91 1,94 750 2000 8,48 3,29 2,19 1000 2250 8,72 3,53 2,35 1125 2500 8,95 3,76 2,51 1250 2750 9,15 3,96 2,64 1375 3000 9,4 4,21 2,81 1500 3250 9,63 4,44 2,96 1625 3500 9,92 4,73 3,15 1750 3750 10,21 5,02 3,35 1875 4000 10,58 5,39 3,59 2000 4250 10,93 5,74 3,83 2125 7 3. Vẽ σ ε
đồ thị quan hệ ứng suất
z và biến dạng dài tương đối z 2500 2125 2000 2) 𝑐𝑚/ 1500 𝑘𝑁( 𝜎 T Ấ 1000 SU NG Ứ 500 0 0
0,97 1,51 1,94 2,19 2,35 2,51 2,64 2,81 2,96 3,15 3,35 3,59 3,83
Biến dạng dài (%)
4. Xác định các chỉ tiêu cơ lý vật liệu: P σ = b 4250 2 b ¿
=2125( kG / cm ) - Giới hạn bền: F0 2 2125
- Mô đun đàn hồi: E=tgα ¿
=554,8(kG / cm2) 0,0383× 100 ε ε
μ= x = y ε ε - Hệ số nở hông: z z ¿ 0,2 E G= 554,8 2
=231,16 (kG / cm )
- Mô đun đàn hồi trượt: 2 (1+ μ ) ¿ 2(1+0,2)
5. Nhận xét quá trình thí nghiệm kéo mẫu gang:
- Sau khi kẹp mẫu ở cấp tải trọng 0 (kN) rồi bắt đầu tăng tải ta thấy đồng hồ đo
biến dạng cũng tăng nhưng rất chậm. Lúc này đồ thị quan hệ giữa ứng suất và
biến dạng của gang có dạng đường bậc 1, giai đoạn này gọi là giai đoạn đàn hồi.
- Tiếp tục tăng tải trọng đến cấp 42,5 (kN) thì phát ra tiến nổ, thanh gang gãy
đột ngột, đồ thị quan hệ giữa ứng suất và biến dạng là đường cong tăng liên 8
tục theo giá trị ứng suất và kết thúc tại mẫu bị đứt. Đồ thị không có giai đoạn
chảy dẻo như thép mà chỉ có giới hạn bền là 2125 (kG/cm2).
- Sau đó lấy mẫu ra kiếm tra ta thấy vị trí đứt không tạo ra eo thắt như thép,
đường kính đo được trước và sau thí nghiệm là bằng nhau d = 16mm.
*Kết luận: Gang là vật liệu giòn, biến dạng của gang khó phát hiện khi tải tăng và
gần như không biến dạng. Do gang là vật liệu giòn nên quá trình phá hủy xảy ra
nhanh và chỉ qua 1 giai đoạn. Từ đó suy ra, gang là vật liệu chịu kéo rất kém và
dễ bị đứt, gãy khi có tác động nhỏ. 9 BÀI 3:
THÍ NGHIỆM NÉN GANG (VẬT LIỆU DÒN)
1. Kích thước mẫu:
a. Trước khi thí nghiệm: - Mẫu hình trụ.
- Chiều dài: l0 = 22mm.
- Đường kính: d0 = 14mm F = 1,5 cm2
b. Sau khi thí nghiệm: - Chiều dài: 18,5mm - Đường kính: 16mm F = 2 cm2
2. Các số liệu thí nghiệm: Chỉ số Đường N Cấp tải đồng hồ đo Δl σ = Δl kính mẫu ε = F trọng (mm) (kG/ (kG) biến dạng z l 0 (%) khi phá dài cm2) hoại 0 25,26 0 0 0 500 25,285 0,025 0,11 333,33 1000 25,32 0,06 0,28 666,67 1500 25,36 0,1 0,46 1000 2000 25,41 0,15 0,68 1333,33 2500 25,45 0,19 0,86 1666.67 3000 25,5 0,24 1,09 2000 3500 25,55 0,29 1,32 2333,33 4000 25,59 0,33 1,5 2666,67 4500 25,65 0,39 1,77 3000 5000 25,72 0,46 2,1 3333,33 5500 25,81 0,55 2,5 3666,67 6000 25,90 0,64 2,9 4000 6500 26,04 0,78 3,54 4333,33 7000 26,17 0,91 4,14 4666,67 7500 26,37 1,11 5,04 5000 8000 26,64 1,38 6,28 5333,33 8500 27,03 1,77 8,05 5666,67 8750 27,30 2,04 9,28 5833,33 9000 27,67 2,41 10,95 6000 10 9400 28,69 3,43 15,59 6266,67 16mm 3. Vẽ σ ε
đồ thị quan hệ ứng suất
z và biến dạng dài tương đối z Chart Title 3500 3000 2500 2000 )2 ^ 𝑐𝑚/ 𝑘𝑁( 1500 𝜎 T Ấ SU 1000 NG Ứ 500 0 0 0.5 1 1.5 2
2.5 Biến dạng dài (%)
4. Xác định các chỉ tiêu cơ lý vật liệu: P σ = b 9400 2 b ¿
=6266,67( kG / cm ) - Giới hạn bền: F0 1,5 6266,67
- Mô đun đàn hồi: E=tgα ¿
=401,97 (kG / cm2) 0,1559× 100 11 ε ε μ 16−14 = x = y ( ) ×100 ε ε 14 - Hệ số nở hông: z z ¿ =0,916 15,59 E G= 401,97 2 =¿ (kG / cm )
- Mô đun đàn hồi trượt:
2 (1+ μ ) ¿ 2(1+0,916) 104,9
5. Nhận xét quá trình thí nghiệm nén mẫu gang:
- Sau khi kẹp mẫu ở cấp tải trọng 0 (kN) rồi bắt đầu tăng tải ta thấy đồng hồ đo biến
dạng cũng tăng nhưng chậm. Lúc này đồ thị quan hệ giữa ứng suất và biến dạng có
dạng đường thẳng bậc 1.
- Tiếp tục tăng tải trọng đến cấp 9400 (kG) thanh gang bị phá hoại và vỡ ra, phần bụng
bị nở ra và nứt xiên góc gần 45° so với phương tác dụng có giới hạn bền là 6266,67 (kG/cm2).
- Đồ thị quan hệ giữa ứng suất và biến dạng của nén nén gang tương tự kéo gang. Khi
nén gang (vật liệu giòn) cũng không có giai đoạn chảy dẻo. Đồ thị quan hệ giữa ứng
suất và biến dạng là đường cong dốc ngay từ khi lực nén còn nhỏ. Có thể coi nó là
một đường thẳng bậc 1 và tuân theo định luật Hooke.
*Kết luận:
- Qua hai thí nghiệm ta thấy, ứng suất nén gang lớn hơn khoảng 2,36 gấp lần so với ứng
suất kéo. Từ đó suy ra gang là vật liệu giòn chịu nén tốt nhưng chịu kéo rất kém. 12 BÀI 4:
THÍ NGHIỆM KÉO GỖ DỌC THỚ
1. Mục đích:
Xác định cường độ chịu kéo giới hạn dọc thớ của mẫu gỗ ở độ ẩm tự nhiên.
2. Mẫu thí nghiệm:
- Gỗ có tiết diện 20 x 20, dài 350mm, b=20mm, h=4mm, L0=90mm.
- Được gia công đưa về mẫu chịu kéo theo TCVN 364 – 70.
- Độ ẩm mẫu gỗ: trong điều kiện tự nhiên.
3. Sơ đồ thí nghiệm:
- Sơ đồ đặt tải kéo mẫu:
- Tốc độ gia tải: 2KG/s 30 3 L 0
4. Số liệu và kết quả thí nghiệm: Số Kích thước mẫu (mm)
Diện tích chịu Lực kéo giới Cường độ chịu kéo TT kéo hạn giới hạn mẫu Dài Rộng Cao F (cm2) Ngh (kG) Rk (kG/cm2) 13 L0 b h 1 28 6,8 1,904 1500 787,815 2 28 6 1,68 1500 892,857 3 28 6,5 1,82 2000 1098,901 Rtb k = 926,524
5. Nhận xét và kết luận:
- Sau khi kẹp mẫu và tiến hành tăng tải đến khi mẫu bắt đầu nứt sau đó bị phá
hoại theo thớ dọc của gỗ, mẫu bị phá hoại nhanh và tải trọng tác dụng nhỏ.
Cường độ chịu kéo giới hạn trung bình là 962.524 (kG/cm2).
- Trong quá trình thí nghiệm, mẫu bị phá hoại có biến dạng tương đối nhỏ, các
mẫu thí nghiệm sai lệch nhiều chứng tỏ gỗ là vật liệu không đồng nhất tương
ứng với từng kết quả thí nghiệm là lực kéo giới hạn và cường độ chịu kéo giới hạn của từng mẫu.
• Mẫu 1: 1500 (kG) – 787,815(kG/cm2)
• Mẫu 2: 1450 (kG) – 892,857 (kG/cm2)
• Mẫu 3: 2250 (kG) – 1098,901 (kG/cm2)
*Kết luận: Gỗ là loại vật liệu không đồng nhất và chịu kéo không tốt. 14 BÀI 5:
THÍ NGHIỆM NÉN GỖ DỌC THỚ
1. Mục đích:
Xác định cường độ chịu nén giới hạn dọc thớ của mẫu gỗ ở độ ẩm tự nhiên.
2. Mẫu thí nghiệm:
- Gỗ dầu có tiết diện 20 x 20, dài 30.
- Được gia công đưa về mẫu chịu kéo theo TCVN 363 – 70.
- Độ ẩm mẫu gỗ: trong điều kiện tự nhiên.
3. Sơ đồ thí nghiệm:
- Sơ đồ đặt tải kéo mẫu:
- Tốc độ gia tải: 2KG/s
4. Số liệu và kết quả thí nghiệm: Kích thước mẫu (mm) Số Diện tích Lực nén giới Cường độ chịu Dài Rộng Cao TT chịu nén hạn nén giới hạn mẫu F (cm2) Ngh (kG) Rn (kG/cm2) a b h 1 30 30 51 9 4917 546,333 2 30 30 51 9 4242 471,333 3 30 30 51 9 4145 460,556 Rtb n = 429,741
5. Nhận xét và kết luận:
* Sau khi kẹp mẫu và tiến hành tăng tải đến khi mẫu bắt đầu bị phá hoại, mẫu
gỗ vở ra. Sau khi thí nghiệm ta thấy mẫu bị sụp xuống theo thớ dọc của gỗ.
Cường độ chịu nén giới hạn trung bình của 3 mẫu là 429,741 (kN/cm2). Với tải
trọng nhỏ ta thấy gỗ là vật liệu chịu kéo rất kém nhưng chịu lực khỏe theo
phương dọc thớ gỗ và nhỏ hơn khả năng chịu kéo của thép, gang. 15
• Mẫu 1: 4927 (kG) – 546,333 (kG/cm2)
• Mẫu 2: 4242 (kG) – 471,333 (kG/cm2)
• Mẫu 3: 4145 (kG) –460,556 (kG/cm2)
*Kết luận: Gỗ là vật liệu không đồng nhất và chịu nén khá tốt. BÀI 6:
THÍ NGHIỆM UỐN PHẲNG MẪU GỖ
1. Mục đích:
Xác định cường độ chịu uốn giới hạn của mẫu gỗ ở độ ẩm tự nhiên.
2. Mẫu thí nghiệm:
- Gỗ dầu có tiết diện 20 x 20, dài 300mm, L0=240mm.
- Được gia công đưa về mẫu chịu kéo theo TCVN 365 – 70.
- Độ ẩm mẫu gỗ: trong điều kiện tự nhiên.
3. Sơ đồ thí nghiệm:
- Sơ đồ đặt tải uốn mẫu: Nn 20 h 20 L0/3 L0/3 L0/3 L
- Tốc độ gia tải: 1KG/s
- Gối tựa truyền tải: 4 con lăn kim loại hình trụ D = 20, L = 30
4. Số liệu và kết quả thí nghiệm: Kích thước mẫu (mm) Mome Lực uốn Moment Chỉ giới uốn Số nt số hạn giới Cường độ chịu Dài Rộng Cao kháng lực kế N hạn TT u=Nn/2 uốn giới hạn uốn mẫu N (kG) Mgh n R W u (kG/cm2) x (kG) (kGcm) L0 b h (cm3) 1 240 30 30 4,5 395 197,5 23700 526,667 2 240 30 30 4,5 475 237,5 28500 633,333 3 240 30 30 4,5 775 392,5 47100 1046,667 Rtb u = 735,556
5. Nhận xét và kết luận:
- Quan sát thí nghiệm uốn gỗ ta có thể thấy mẫu gỗ bị gãy tại nơi momen đạt giá trị cực
đại và vết nứt nghiêng hình thành ở thớ biên dưới rồi phát triển dọc lên các thớ phía
trên, tức là thớ trên chịu nén, thớ dưới chịu kéo.
- Thí nghiệm trên thực hiện với 3 mẫu cho kết quả cường độ chịu uốn khá chênh lệch,
chứng tỏ chất lượng mẫu đem thí nghiệm chưa đồng nhất.
- Khả năng chịu uốn của gỗ phụ thuộc vào các thớ gỗ và cách sắp xếp của chúng. Mỗi
loại gỗ sẽ có cường độ chịu uốn khác nhau vì vậy cần phải tiến hành thử nhiều mẫu
rồi lấy kết quả trung bình.
- Trong thí nghiệm này còn tồn tại hạn chế là máy nén chưa kiểm soát được tốc độ gia
tải, ta không biết được tốc độ gia tải có tuần theo tiêu chuẩn quy định hay không.Mẫu
gỗ còn khuyết tật, chưa đồng nhất.
*Kết luận: Gỗ là vật liệu không đồng nhất và chịu uốn không tốt. 17
PHẦN II: THÍ NGHIỆM VẬT LIỆU XÂY DỰNG
VẬT LIỆU BÊ TÔNG 18