















Preview text:
lOMoAR cPSD| 61203899 Đè cương GDVĐPKD Phong cách cạnh tran h
Trong năm 2020, Apple và Qualcomm đã có một cuộc đàm phán căng thẳng liên quan đến chi phí bản
quyền công nghệ chip. Qualcomm yêu cầu Apple trả mức phí cao cho việc sử dụng chip 5G độc quyền,
trong khi Apple phản đối và kiện tụng để giảm chi phí. Qualcomm giữ vững lập trường và khẳng định
giá trị công nghệ của mình, không nhượng bộ trong các cuộc thương lượng. Cuối cùng, Apple phải chấp
nhận thỏa thuận, bao gồm cả việc trả một khoản phí lớn để đảm bảo nguồn cung chip cho các sản phẩm
iPhone. Phong cách hợp tác
Trong vụ sáp nhập của công ty giải trí Walt Disney và công ty truyền thông 21st Century Fox, cả hai
bên đều sử dụng phong cách đàm phán hợp tác. Hai bên đều có mong muốn đạt được thỏa thuận mà cả
hai đều hài lòng. Disney đã thể hiện sự sẵn sàng trả giá cao để mua lại 21st Century Fox. 21st Century
Fox cũng đã thể hiện sự sẵn sàng đàm phán và tìm kiếm giải pháp win-win. Phong cách nhượng bộ
Vào năm 2008, Toyota đối mặt với việc nhà cung cấp phụ tùng Aisin Seiki gặp khó khăn trong việc
sản xuất các bộ phận quan trọng do hỏa hoạn. Thay vì gây áp lực để Aisin nhanh chóng phục hồi sản
xuất, Toyota nhượng bộ, hỗ trợ tài chính và kỹ thuật để Aisin khôi phục hoạt động. Điều này giúp duy trì
mối quan hệ đối tác lâu dài và đảm bảo chuỗi cung ứng ổn định trong tương lai. Toyota ưu tiên hợp tác
chiến lược thay vì các yêu cầu ngắn hạn. Phong cách chấp nhận:
Năm 2020, khi đại dịch COVID-19 bùng phát, Airbnb phải đàm phán với các chủ nhà cung cấp chỗ
ở trên nền tảng. Do ảnh hưởngnặng nề bởi số lượng đặt phòng giảm, Airbnb chấp nhận chính sách hoàn
tiền 100% cho khách hàng dù điều này gây tổn thất lớn cho công ty. Quyết định này nhằm duy trì niềm
tin và uy tín với cả khách hàng lẫn đối tác để bảo vệ giá trị thương hiệu và mối quan hệ dài hạn. Tên Định nghĩa Điều kiện Ưu điểm Nhược điểm phong cách Phong
Phong cách cạnh Khi vấn đề cần Đạt được lợi ích Có thể gây căng thẳng
cách cạnh tranh là phong cách được giải quyết cao nhất.
dẫn đến phá vỡ mối quan tranh
tạo ra một thái độ nhanh chóng. Khi Được đưa ra yêu hệ.
(Competi dứt khoát không biết chắc chắn cầu một cách Thiếu linh hoạt do chỉ tập tive
khoan nhượng và mình đúng. Khi mạnh mẽ.
trung vào lợi ích cá nhân. style)
thực hiện cho bằng mục tiêu đề ra là Đưa ra quyết định Mất mặt do phải tranh
được mục tiêu của chính đáng và phải nhanh giành lợi thế. đàm phán. bảo vệ mục tiêu. chóng. . Khi cần “tự vệ”. Phong
Phong cách hợp tác Khi cả hai bên đều Tạo dựng MQH Mất nhiều thời gian. cách hợp
là phong cách mà có thiện chí. Khi lâu dài, bền vững. Rủi ro lộ thông tin. tác (
các bên tham gia lợi ích ý nghĩa và Giảm xung đột Không phù hợp với mọi Winwin
tìm ra giải pháp liên quan trọng với tất trong tương lai. đối tác. )
kết và thỏa mãn lợi cả các bên. Khi Giải quyết vấn đề
ích của các bên liên thấy tiềm năng của phức tạo một cách quan.
lợi ích chung, cần thông minh. hợp lực. lOMoAR cPSD| 61203899 Đè cương GDVĐPKD Phong
Phong cách lẩn Khi lợi ích bé hơn Giảm căng thẳng
Không giải quyết được
cách lẩn tránh là phong cách thiệt hại. ngay lập tức. Tiết triệt để vấn đề. tránh ( mà các bên đàm kiệm thời gian
Có thể làm trì hoãn tiến Khi cuộc đàm phán Avoidin phán không bộc lộ cho các vấn đề trình. trở nên tiêu cực. g ) rõ mục tiêu, ý định. không quan Đánh mất cơ hội.
Hay các bên có thái Khi gặp những trọng.
Gây mất lòng tin từ đối
độ không dứt khoát xung đột không thể Tạo thời gian để tác. và trì hoãn giải quyết được. chuẩn bị.. vấn đề. Duy trì mối quan Khi cần thời gian hệ. bình tĩnh và lấy lại tiến độ của cuộc đàm phán. Khi cần thu thập thêm thông tin. Phong
Phong cách nhượng Khi nếu không
Giải quyết nhanh Thường chỉ là giải pháp cách
bộ, thỏa hiệp là thỏa hiệp sẽ có
chóng tình huống tạm thời, không giải nhượng
phong cách bỏ qua nguy cơ gây ra khẩn cấp.
quyết triệt để vấn đề. Có
bộ, thỏa một số quyền lợi hậu quả lớn.
Cho phép các bên thể khiến một bên cảm hiệp
của mình để thỏa Khi nhận cả hai có thời gian chuẩn thấy bị thiệt thòi. Nếu (Compro
mãn lợi ích của đối bên đều cứng nhắc bị tốt hơn cho lạm dụng dẫn đến mất mising những đàm phán tác. trong việc bảo vệ quyền lợi trong các style )
mục tiêu của mình. dài hạn. cuộc đàm phán về sau.
Khi nhận thấy Tạo cơ hội bàn
nguy cơ thất bại là thảo cho các rất lớn. bên. Khi tình huống cần có giải pháp tạm thời. Phong Phong cách chấp
Khi gặp vấn đề Tạo ra môi trường Thiếu quyết đoán.
cách chấp nhận là phong cách đàm phán nhỏ, lợi thoải mái. Tăng Dễ tạo ra sự mơ hồ, nhận chấp nhận, bỏ qua
ích không quá lớn. cơ hội hợp tác. thiếu chắc chắn.
(Accomm quyền lợi cao nhất Khi cảm thấy chưa Giảm mâu thuẫn. Khó kiểm soát chất odating để duy trì mối quan
chắc chắn với Thúc đẩy khả lượng. style ) hệ với đối tác.
quyết định của bản năng phát triển. Giảm tính cạnh tranh thân. Khi nếu không chấp nhận thì thiệt hại sẽ còn nhiều hơn. Khi có nhu cầu thiết lập mối quan hệ lâu dài. Khi không bác bỏ
được lý lẽ đối thủ đưa ra. Khi đối tác là người có nhiều sự lựa chọn. Thuật khẩn cầu”:
1. Khái niệm: lOMoAR cPSD| 61203899 Đè cương GDVĐPKD
Thuật khẩn cầu là phương pháp thuyết phục bằng cảm xúc, trong đó một bên thể hiện sự yếu thế,
khó khăn, hoặc thành ý sâu sắc, nhằm kêu gọi sự thông cảm, nhượng bộ hoặc hỗ trợ từ phía đối tác
Đây không phải là sự van xin, mà là cách khai thác yếu tố cảm xúc, nhân văn trong đàm phán, giúp
bên kia có động lực “muốn giúp” thay vì “bị ép phải giúp”. 2. Nội dung: Nội dung Mục tiêu
Cách thể hiện trong đàm phán
Bày tỏ hoàn cảnh khó
“Hiện nay công ty chúng tôi đang trong giai
Gợi lòng thương cảm, khiến đối khăn hoặc giới hạn của đoạn
khởi nghiệp, vốn đầu tư còn hạn
tác giảm yêu cầu hoặc hạ giá mình chế…”
Thể hiện thiện chí hợp Chuyển hướng đàm phán từ “Chúng tôi thật sự mong muốn hợp tác lâu tác,
mong muốn mối "được – mất" sang "cùng có lợi dài với quý công ty, nên rất hy vọng được hỗ quan hệ lâu dài lâu dài"
trợ trong đơn hàng đầu tiên này.”
“Sự hỗ trợ của quý công ty sẽ là bước đệm
Nhấn mạnh giá trị tinh Đánh vào cảm xúc, niềm tin,
giúp chúng tôi phát triển – và chắc chắn
thần hơn vật chất
danh tiếng của đối tác
chúng tôi sẽ đền đáp bằng sự hợp tác bền vững.”
Tận dụng mối quan hệ
“Anh và tôi đã làm việc cùng nhau nhiều
Kích hoạt yếu tố cảm tình cá nhân hoặc niềm tin năm, mong
anh giúp tôi lần này…”
3. Ưu điểm và hạn chế ✅ Ưu điểm:
Tạo ra bầu không khí mềm mại, dễ cảm thông trong đàm phán.
Giúp giảm căng thẳng, nhất là khi đàm phán đi vào bế tắc.
Tăng khả năng xây dựng quan hệ hợp tác lâu dài. ❌ Hạn chế:
Nếu lạm dụng, dễ khiến đối tác mất niềm tin hoặc coi thường.
Chỉ hiệu quả khi đối phương có yếu tố cảm xúc nhân văn; không hiệu quả với người đàm phán cứng rắn, duy lý.
Có thể làm giảm vị thế thương lượng nếu không sử dụng khéo léo.
3. Điều kiện áp dụng:
Khi đối phương có quyền lực lớn hơn (bên bán mạnh, bên mua yếu hoặc ngược lại).
Khi muốn duy trì quan hệ hợp tác chứ không chỉ đạt mục tiêu ngắn hạn.
Khi cần giải tỏa căng thẳng hoặc bế tắc trong thương lượng.
4. Nguyên tắc sử dụng:
Thể hiện sự chân thành, không giả tạo
Đặt lợi ích chung lên trước lOMoAR cPSD| 61203899 Đè cương GDVĐPKD
Chọn thời điểm và cách thể hiện phù hợp: khi đàm phán đi vào bế tắc hoặc khi đối phương
đang chiếm ưu thế.
Giữ thể diện cho cả hai bên
Kết hợp với lý lẽ thuyết phục
Thuật “nói dối không ác ý”
1. Khái niệm:
Thuật nói dối không ác ý là hành vi cố tình che giấu hoặc làm nhẹ đi sự thật với mục đích tốt, không
nhằm gây hại hay lừa gạt đối phương, mà để duy trì bầu không khí tích cực, bảo vệ mối quan hệ,
hoặc tránh xung đột trong giao dịch – đàm phán.
2. Nội dung và biểu hiện cụ thể
Nội dung biểu hiện
Cách thể hiện trong giao tiếp
Mục tiêu đạt được
Nói giảm, nói tránh để “Đề xuất của anh khá hợp lý, tuy nhiên chúng tôi Tránh từ chối trực tiếp, giữ hòa khí
cần xem xét thêm vài chi tiết nhỏ.” giữ tinh thần hợp tác
Che giấu sự thật nhỏ để “Sản phẩm của anh đáp ứng gần như toàn bộ yêu Khích lệ, duy trì mối quan tránh căng thẳng
cầu của chúng tôi.” (dù vẫn có lỗi nhỏ) hệ tích cực
Đưa thông tin mập mờ “Chúng tôi đang xem xét một số lựa chọn khác.” Giữ thế chủ động trong
để bảo vệ lợi ích (dù đã chọn xong) đàm phán
Lịch sự từ chối mà
“Thời điểm này chúng tôi chưa thể hợp tác, Từ chối khéo, giữ đường không gây mất lòng
nhưng rất mong sẽ có dịp khác.” lui cho quan hệ sau
3. Nguyên tắc sử dụng
Không được gây hại hoặc làm mất quyền lợi của đối phương.
Chỉ sử dụng trong phạm vi giao tiếp xã giao hoặc bảo vệ mối quan hệ.
Không dùng trong nội dung hợp đồng, cam kết, hay vấn đề pháp lý.
Phải biết dừng đúng lúc – khi đàm phán đã tiến gần đến thỏa thuận thật.
4. Ưu điểm và hạn chế ✅ Ưu điểm:
Làm dịu không khí, tránh đối đầu căng thẳng.
Tạo cảm giác tôn trọng, lịch sự và thiện chí.
Giúp duy trì quan hệ hợp tác lâu dài. ❌ Hạn chế: lOMoAR cPSD| 61203899 Đè cương GDVĐPKD
Nếu dùng quá mức, dễ mất lòng tin khi sự thật bị phát hiện.
Có thể khiến đối tác hiểu sai hoặc đánh giá sai tình hình thực tế.
Gây rủi ro đạo đức nếu vượt quá giới hạn “thiện ý”.
Thuật “chiều theo sở thích”: 1. Nội dung:
“Thuật chiều theo sở thích” là nghệ thuật lấy lòng đối phương bằng cách hiểu và đáp ứng điều họ yêu
thích, khiến họ cảm thấy được tôn trọng, đồng cảm, và dễ chấp nhận quan điểm của ta. 2. Nội dung:
- Tìm hiểu sở thích, thói quen, quan điểm
- Giao tiếp theo “ngôn ngữ yêu thích” của họ - Đồng tình chọn lọc
- Đưa ra đề nghị phù hợp với sở thích
- Duy trì mức độ vừa phải: k nịnh bợ quá mức
3. Nguyên tắc sử dụng
Chân thành và tinh tế: chỉ hiệu quả khi xuất phát từ sự tôn trọng thật sự.
Không lạm dụng: nếu chiều quá mức sẽ mất thế chủ động hoặc tạo cảm giác giả dối.
Hiểu rõ ranh giới đạo đức: không “chiều” để làm sai lệch sự thật hay ép buộc.
Kết hợp với kỹ năng khác như lắng nghe chủ động, thấu hiểu cảm xúc (EQ), và đặt câu hỏi khơi gợi. 3. Ưu/nhược điểm: A) Ưu điểm:
- Tạo thiện cảm và lòng tin nhanh chóng
- Tăng khả năng thuyết phục
- Giảm căng thẳng, xungđột trong đàm phán
- Tạo nền tảng cho hợp tác lâu dài B) Nhược điểm:
- Dễ bị xem là giả tạo hoặc nịnh bợ
- Nguy cơ đánh mất lập trường lOMoAR cPSD| 61203899 Đè cương GDVĐPKD
- Tốn thời gian tìm hiểu và quan sát
- Có thể bị lợi dụng ngược lại
Đặc điểm của GD : chủ thể là các nhà kinh doanh
Tt chủ yếu về lĩnh vực kinh tế, kinh doanh Là quá trình 2 chiều Chương 2: Văn hóa lOMoAR cPSD| 61203899 Đè cương GDVĐPKD lOMoAR cPSD| 61203899 Đè cương GDVĐPKD A) Lựa chọn phái đoàn
B) Bồi dưỡng kiến thức về vh:
Tổ chức các khóa ngắn hạn về kỹ năng đàm phán cho nhân viên với định hướng nhấn mạnh vào sự khác biêt ṿ ề văn hóa
c) phong cách văn hóa trong đàm phán: nch ngoài lề Trao đổi tt Thuyết phục
Nhượng bộ + thỏa thuận
C) Các vấn đề văn hóa sau khi kết thúc đàm phán: lOMoAR cPSD| 61203899 Đè cương GDVĐPKD
- Về hình thức hợp đồng
- Về cách thức ký kết hợp đồng
Bài 3: Tổng quan về đàm phán
I. Khái niệm: Là quá trình hai hoặc nhiều bên có những lợi ích chung và lợi ích xung đột cùng nhau bàn
bạc thoả thuận những vấn đề liên quan đến lợi ích của các bên - Bản chất: lOMoAR cPSD| 61203899 Đè cương GDVĐPKD
- Lợi ích của ĐPKD thành công: + nhiều lợi nhuận hơn, + giảm chi phí KD, + mở ra cơ hội KD mới, + xd và củng cố mqh
* ĐP trên lập trường và lợi ích: -
Trên laapj trường: 2 bên tập trung vào lập trường mà bỏ qua nguyê nhân của mây thuẫn -> k
tìm đc giải pháp dẫn đến bế tắc trong ĐP. Chỉ áp dụng khi cuộc ĐP k có nhiều ý nghĩa đối với người ĐP -
Trên lợi ích: Hai bên tập trung vào những nhu cầu thật sự đằng sau lập trường, đòi hỏi người
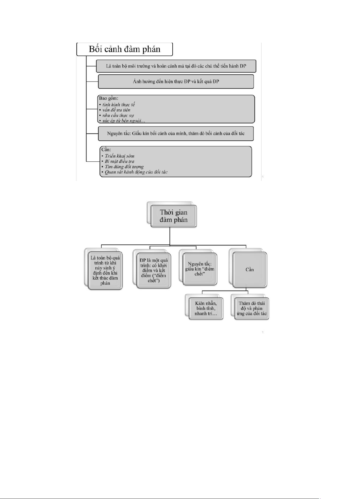
ĐP phảicó được lòng tin của đối tác để tìm hiểu nhu cầu phía sau của họ và sáng tạo tìm ra giải pháp chung II. Nguyeen tắc ĐP: III. Yếu tố của ĐPKD: 1. Bối cảnh: lOMoAR cPSD| 61203899 Đè cương GDVĐPKD 2. Thời điểm ĐP: 3. Quyền lực ĐP: VD
Chuyên môn - Trong đàm phán giữa Apple và TSMC, TSMC sở hữu quyền lực chuyên môn khi là nhà
sản xuất duy nhất có khả năng sản xuất chip 5nm với hiệu suất cao. Khi Apple cần đảm bảo nguồn cung
chip cho iPhone và Mac, TSMC đã sử dụng chuyên môn độc quyền của mình để đàm phán giá cả và các
điều khoản hợp đồng có lợi, vì không có đối thủ nào khác có thể cung cấp công nghệ tương tự ở thời
điểm đó. Điều này cho thấy quyền lực chuyên môn giúp TSMC chiếm ưu thế trong thỏa thuận.
Pháp lý - Năm 2018, EU phạt Google 4,3 tỷ euro vì vi phạm luật cạnh tranh liên quan đến hệ điều hành
Android. Trong các cuộc đàm phán sau đó với EU, Google phải nhượng bộ bằng cách điều chỉnh cách
cài đặt ứng dụng trên Android, cho phép người dùng chọn trình duyệt và công cụ tìm kiếm mặc định. EU
sử dụng quyền lực pháp lý dựa trên quy định cạnh tranh để buộc Google tuân thủ và thay đổi chính sách.
Quyền lực pháp lý đã giúp EU định hình kết quả đàm phán có lợi cho mục tiêu bảo vệ cạnh tranh.
Tiềm năng - Năm 2020, Microsoft đàm phán mua lại TikTok tại Mỹ. Dù không có quyền kiểm soát lOMoAR cPSD| 61203899 Đè cương GDVĐPKD
TikTok ban đầu, Microsoft sở hữu quyền lực tiềm tàng nhờ nguồn lực tài chính lớn, uy tín công nghệ, và
khả năng đáp ứng các yêu cầu bảo mật dữ liệu từ chính phủ Mỹ. Điều này giúp Microsoft trở thành đối
tác "đáng tin cậy" để giải quyết áp lực từ lệnh cấm của chính quyền Trump đối với TikTok. Quyền lực
tiềm tàng này buộc ByteDance, công ty mẹ của TikTok, phải cân nhắc Microsoft là một trong những lựa
chọn ưu tiên trong đàm phán.
Mạo hiểm - Năm 2008, Apple đàm phán với AT&T để iPhone được phân phối độc quyền tại Mỹ. Apple
sử dụng quyền lực mạo hiểm bằng cách yêu cầu AT&T chấp nhận điều khoản chia sẻ doanh thu từ iPhone
– điều chưa từng có trong ngành. Đây là rủi ro lớn, vì nếu AT&T từ chối, Apple có thể mất đối tác phân
phối lớn. Tuy nhiên, Apple tự tin vào giá trị vượt trội của iPhone và thị trường tiềm năng. Kết quả, AT&T
đồng ý với các điều khoản, và sự hợp tác này giúp cả hai công ty đạt lợi nhuận khổng lồ.
Hứa hẹn - Năm 2021, Tesla đã đàm phán với chính phủ Ấn Độ để xây dựng nhà máy sản xuất ô tô điện
tại nước này. Tesla hứa hẹn tạo ra hàng nghìn việc làm và đầu tư mạnh vào cơ sở hạ tầng địa phương nếu
chính phủ giảm thuế nhập khẩu xe điện. Lời hứa này nhắm vào lợi ích kinh tế và việc làm, tạo áp lực để
chính phủ cân nhắc thay đổi chính sách. Kết quả, các cuộc thảo luận tiếp tục với triển vọng tích cực, mặc
dù chưa đạt thỏa thuận cuối cùng. Hứa hẹn mang lại lợi ích lớn là cách Tesla sử dụng quyền lực để đạt
lợi thế trong đàm phán. IV. Cách phong cách ĐP: V. Nội dung cuộc ĐP: lOMoAR cPSD| 61203899 Đè cương GDVĐPKD lOMoAR cPSD| 61203899 Đè cương GDVĐPKD lOMoAR cPSD| 61203899 Đè cương GDVĐPKD lOMoAR cPSD| 61203899 Đè cương GDVĐPKD