



















Preview text:
SỞ GD&ĐT THANH HOÁ
KÌ THI GIAO LƯU HỌC SINH GIỎI LỚP 12 CẤP TỈNH
TRƯỜNG THPT QUẢNG XƯƠNG 1 NĂM HỌC 2024- 2025 Bài thi: TOÁN ĐỀ CHÍNH THỨC
Thời gian làm bài: 90 phút, không kể thời gian phát đề
(Đề thi có 06 trang, gồm 3 phần)
Họ, tên thí sinh: ................................................... Số báo danh: ........................................................
PHẦN I. Câu trắc nghiệm nhiều phương án lựa chọn. Thí sinh trả lời từ câu 1 đến câu 20. Mỗi câu hỏi
thí sinh chỉ chọn một phương án. Câu 1.
Cho hàm số y f (x) xác định, có đạo hàm trên
và f '(x) có đồ thị như hình vẽ bên dưới :
Mệnh đề nào sau đây đúng?
A. Hàm số y f (x) nghịch biến trên khoảng 3 ; 2 .
B. Hàm số y f (x) nghịch biến trên khoảng 2; .
C. Hàm số y f (x) đồng biến trên khoảng ; 3 .
D. Hàm số y f (x) đồng biến trên khoảng 2 ;0 . Câu 2.
Khảo sát về số giờ mượn sách thư viện của học sinh khối 11 trường Y ta được một mẫu số liệu ghép nhóm như sau:
Mốt của mẫu số liệu ghép nhóm trên gần nhất với giá trị nào sau đây A. 120: B. 12: C. 8. D. 9. Câu 3.
Điều kiện xác định của hàm số 1 y là sin x cos x
A. x k .
B. x k 2 . C. x k . D. x k . 2 4 Câu 4.
Hàm số y log x và y log x có đồ thị như hình vẽ dưới đây. a b
Đường thẳng y 3 cắt hai đồ thị tại các điểm có hoành độ x , x . Biết rằng x 2x , giá trị của 1 2 2 1 a bằng b 1 A. . B. 3 . C. 2 . D. 3 2 . 3 2 n 4n 7 Câu 5.
Cho dãy số u với u
. Hỏi dãy số trên có bao nhiêu số hạng nhận giá trị nguyên. n n n 1 A. 4 . B. 6 . C. 3 . D. 2 . Câu 6. Giá trị của 1 lim
(k *) bằng: k n A. 0. B. 2. C. 4. D. 5. 2 ax bx 1 Câu 7. Cho hàm số y cx
có đồ thị như hình vẽ bên dưới. Tính giá trị biểu thức: 2
T 2a 3b c . y 1 -2 x -1 O 1 A. 9. B. 10. C. 8. D. 11. Câu 8.
Cho hình chóp S.ABC có G là trọng tâm tam giác ABC và M là trung điểm của đoạn SG .
Biết SM xSA ySB zSC . Tính T x 2 y 6z . 1 3 2 5
A. T . B. T . C. T . D. T . 3 2 3 2 Câu 9.
Thống kê điểm trung bình cuối học kì 1 môn Toán của một số học sinh lớp 12A được cho ở bảng sau:
Số trung vị (làm tròn đến hàng phần trăm) của mẫu số liệu ghép nhóm trên là A. 7,15 . B. 9,15 . C. 7,75 . D. 8,15 .
Câu 10. Trong hình vẽ dưới đây, chiếc quạt có ba cánh được phân bố đều nhau.
Số đo của góc lượng giác ON,Ox bằng
A. 50 k360 k .
B. 120 k360 k .
C. 70 k360 k . D. 7
0 k360 k .
Câu 11. Có bao nhiêu số nguyên m thuộc khoảng 1; 20 để bất phương trình log x log m nghiệm đúng m x
với mọi x thuộc khoảng 1 ;1 ? 3 A. 16. B. 17. C. 18. D. 19. 2 ax 1 bx 2 Câu 12. Cho biết lim a, b
có kết quả là một số thực. Giá trị của biểu thức 3 x 1 x 3x 2 2 2 a b bằng: 45 9 A. 6 5 3 . B. . D. 87 48 3 16 C. 4
Câu 13. Cho hình chóp S.ABCD có đáy ABCD là hình chữ nhật, AB 2a , AD
a . SA vuông góc
với mặt phẳng đáy và SA a 3 . Gọi là góc giữa SC và mặt đáy ABCD, tính cos . 5 7 6 10 A. cos . B. cos . C. cos . D. cos . 4 4 4 4
Câu 14. Một hộp đựng 4 viên bi xanh, 3 viên bi đỏ và 8 viên bi vàng. Chọn ngẫu nhiên hai viên bi.
Xác suất để chọn được hai viên bi cùng màu là 28 37 31 21 A. . B. . C. . D. . 105 105 105 105 1 2m 5
Câu 15. Cho hàm số y 3 m 4 3 2 2 1 x x
x 3x m ( m là tham số). Có bao nhiêu giá trị 4 2 1
nguyên của m thuộc khoảng 5
00;50 để hàm số nghịch biến trên đoạn ;4 ? 2 A. 500 . B. 502 . C. 501. D. 499 .
Câu 16. Cho hình hộp AB .
CD A B C D . Giả sử điểm M thuộc AC , điểm N thuộc DC và MN m
AM xAC, DN yDC .Với x và y là các số thực sao cho MN//BD . Khi đó tỉ số B D n m (
là phân số tối giản).Tính m n . n A. 4 . B. 3 . C. 5 . D. 7 .
Câu 17. Cho tam giác ABC vuông tại A có ba cạnh C ,
A AB, BC lần lượt tạo thành một cấp số nhân có
công bội là q . Tìm q ? 5 1 2 2 5 1 5 2 5 2 A. q . B. q . C. q . D. q . 2 2 2 2
Câu 18. Cho hình chóp S.ABCD có đáy ABCD là hình vuông. Gọi E là trung điểm của BC , F là điểm
thuộc cạnh CD sao cho 45o EAF
và G thuộc cạnh SA . Biết FG song song với mặt phẳng GA
SBC . Khi đó tỉ số bằng GS 1 1 2 3 A. . B. . C. . D. . 3 2 3 4
Câu 19. Biển số xe máy tỉnh K gồm hai dòng:
- Dòng thứ nhất là 68 XY , trong đó X là một trong 24 chữ cái, Y là một trong 10 chữ số;
- Dòng thứ hai là ab .
c de , trong đó a , b , c , d , e là các chữ số.
Biển số xe được cho là " đẹp " khi dòng thứ hai có tổng các chữ số là một số có chữ số tận cùng
bằng 8 và có đúng 4 chữ số giống nhau. Hỏi có bao nhiêu cách chọn 2 biển số trong các biển số
" đẹp " để đem bán đấu giá? A. 12000 . B. 143988000 . C. 4663440 . D. 71994000 .
Câu 20. Người ta cần lắp một camera phía trên sân bóng để phát sóng truyền hình một trận bóng đá, camera
có thể di động để luôn thu được hình ảnh rõ nét về diễn biến trên sân. Các kĩ sư dự định trồng bốn
chiếc cột cao 30m và sử dụng hệ thống cáp gắn vào bốn đầu cột để giữ camera ở vị trí mong
muốn. Mô hình thiết kế được xây dựng như sau: Trong hệ trục toạ độ Oxyz (đơn vị độ dài trên mỗi
trục là 1m ), các đỉnh của bốn chiếc cột lần lượt là các điểm M 90;0;30, N 9 ( 0;1 20;30 , )
P 0;120;30, Q0;0;30 (Hình vẽ ). Giả sử K là vị trí ban đầu của camera có cao độ bằng 25 0
và K M K N K P K Q . Để theo dõi quả bóng đến vị trí A , camera được hạ thấp theo 0 0 0 0
phương thẳng đứng xuống điểm K có cao độ bằng 19 . 1
Biết rằng véc tơ K K có tọa độ là ( ; a ; b c) với a, , b c
. Khi đó a b c bằng 0 1 A. 7 B. 6 C. 7 D. 5
PHẦN II. Câu trắc nghiệm đúng sai. Thí sinh trả lời từ câu 1 đến câu 6. Trong mỗi ý a),b), c), d) ở mỗi
câu, thí sinh chọn đúng hoặc sai. Câu 1.
Cho hàm số f x có đạo hàm liên tục trên . Đồ thị của hàm số y f 4 3x như hình vẽ.
Xét tính đúng sai của các mệnh đề sau:
a) Hàm số y f 4 3x đồng biến trên trên tập 0; 2 4; . b) f '( 8 ) f '( 2 ) f '(4) 0
c) Hàm số g x f 3 ( )
x 2 đồng biến trên khoảng ; , giá trị nhỏ nhất của bằng 3 6
d) Có 26 giá trị thực của tham số m thuộc khoảng 9
;9 thỏa mãn 2m để hàm số y 2 f 1 3
x 2 m có 5 điểm cực trị. 2 Câu 2.
Trong không gian Oxyz , cho tam giác ABC có A 2 ;0; 3 , B 4 ; 4 ;1 , C 4 ;1; 1 .
Xét tính đúng sai của các mệnh đề sau:
a) Điểm A2; 0; 3
đối xứng với A qua mặt phẳng Oyz .
b) Tam giác ABC là tam giác tù.
c) Bán kính đường tròn nội tiếp tam giác ABC (kết quả được làm tròn đến hàng phần trăm) là r 1,12 .
d) Cho hai điểm M , N thay đổi trên mặt phẳng Oyz sao cho MN 3. Giá trị nhỏ nhất của
AM BN (kết quả được làm tròn đến hàng phần trăm) là 6,17 . Câu 3.
Cho 1 a b 2 . Xét tính đúng sai của các mệnh đề sau: a) 2024 2024 log 2 log 2 . a b b) 2 ab
b 2 log b . a 2 log 4 log 1 2 a a b log b 2 c) log a . ab a 1 log b a
d) Giá trị nhỏ nhất của P
2b b 2 2.log 4 4 log a có dạng 3
x 3 y với , x y là các số a b a
nguyên dương, khi đó x 2y 22 . u 1, u 2024 Câu 4.
Cho dãy số u xác định bởi 1 2 và dãy số w xác định như n n u
u 2 u n n 1012 n * , n 2 1 n iui sau i 1 w
. Xét tính đúng sai của các mệnh đề sau: n 4 3
3n 4n 2n 3 a) u 12142 4 141660 b) w 4 2038 2u a a c) Biết lim n
với a,b là số tự nhiên và là phân số tối giản, khi đó 2 2
a b 1012. 2 2n n 2 b b 759 d) lim w . n 9 Câu 5.
Cho hình chóp đều S.ABC có cạnh đáy bằng a . Gọi O là trọng tâm của tam giác ABC , SO 2a
Trên đường cao AH của tam giác ABC lấy điểm M không trùng với A và H , mặt phẳng P
đi qua M và vuông góc với AH . Xét tính đúng sai của các mệnh đề sau:
a) SO song song với mặt phẳng P a 39
b) Cạnh bên của hình chóp đã cho bằng . 3
c) Gọi là góc giữa mặt bên và mặt đáy, giá trị tan 4 3
d) Giá trị lớn nhất của diện tích thiết diện của hình chóp S.ABC cắt bởi mặt phẳng P bằng 2 3a . 4 Câu 6.
Một hộp đựng 50 chiếc thẻ được đánh số từ 1 đến 50. Xét tính đúng sai của các mệnh đề sau:
a) Số cách chọn được hai thẻ chẵn là 1225 . 37
b) Xác suất chọn được hai thẻ mà tích các số ghi trên hai thẻ là số chẵn bằng . 49
c) Số cách chọn được ba thẻ mà các số ghi trên ba thẻ lập thành cấp số cộng là 780 .
d) Xác suất để chọn được hai thẻ mà hiệu bình phương số ghi trên hai thẻ là số chia hết cho 3
bằng 0, 65 (kết quả làm tròn đến hàng phần trăm).
PHẦN III. Câu trắc nghiệm trả lời ngắn. Thí sinh trả lời từ câu 1 đến câu 6 Câu 1.
Cho hàm số y f x 3 2
x ax bx 3 với a,b là các tham số thực thỏa mãn
a b 2 0 . Hỏi phương trình
f x f x f x 2 2. . ' '
có bao nhiêu nghiệm? 24 3
3a b 0
Câu 2. Trong không gian với hệ trục toạ độ Oxyz , cho bốn điểm A1;2; 3
, B4;0;5,C 2;0; 1 và D(6; 2 ;11) . Gọi M ( ;
x y; z) là điểm sao cho hai biểu thức 2 2 2 4
P 2MA 3MB MC MD
và Q x 2 y 2z 24 đạt giá trị nhỏ nhất. Tính x 3y z Câu 3.
Có bao nhiêu số nguyên y y 3 sao cho tồn tại đúng hai số thực x lớn hơn 1 thỏa mãn: 2021
y xyx e lny x xy Câu 4.
Cho hình lăng trụ ABC .
D MNPQ có tất cả các cạnh bằng 3 , đáy ABCD là
hình thoi và BAD 60 . Các mặt phẳng ADQM , ABNM cùng tạo với đáy của lăng trụ góc
thỏa mãn tan 2 11 và hình chiếu vuông góc của điểm A lên mặt phẳng MNPQ nằm
bên trong hình thoi MNPQ . Gọi O là điểm cách đều bốn đỉnh tứ diện AMNQ . Biết thể tích khối a a chóp .
O ABM có giá trị bằng V và 2 V
với a,b là số tự nhiên; phân số
tối giản. Tìm a . b b b Câu 5.
Chọn ngẫu nhiên 3 số a, ,
b c trong tập hợp S 1; 2;...;
26 . Biết xác suất để 3 số chọn ra thỏa m * m mãn 2 2 2
a b c chia hết cho 5 bằng với , m n và là phân số tối giản. n n
Tính giá trị biểu thức T 2m n . Câu 6.
Một mảnh đất hình chữ nhật ABCD có chiều dài AB 25m , chiều rộng AD 20m được chia
thành hai phần bằng nhau bởi vạch chắn MN ( M,N lần lượt là trung điểm BC và AD ). Một
đội xây dựng làm một con đường đi từ A đến C qua vạch chắn MN , biết khi làm đường trên
miền ABMN mỗi giờ làm được 15m và khi làm trong miền CDNM mỗi giờ làm được 30 m .
Do tính cấp thiết cần có của con đường nên đội xây dựng đã hoàn thành con đường trong một
thời gian ngắn nhất. Hỏi sau bao nhiêu phút đội xây dựng làm được con đường đi từ A đến C
( làm tròn đến hàng đơn vị).
………………………………..HẾT……………………………
Thí sinh không được sử dụng tài liệu. Cán bộ coi thi không giải thích gì thêm.
SỞ GD&ĐT THANH HOÁ
ĐÁP ÁN ĐỀ THI GIAO LƯU HỌC SINH GIỎI LỚP 12 CẤP TỈNH
TRƯỜNG THPT QUẢNG XƯƠNG 1 NĂM HỌC 2024- 2025 Môn TOÁN ĐỀ CHÍNH THỨC
Thời gian làm bài: 90 phút, không kể thời gian phát đề
(Đề thi có 06 trang, gồm 3 phần)
PHẦN I. Câu trắc nghiệm nhiều phương án lựa chọn.
(Mỗi câu trả lời đúng thí sinh được …. điểm) Câu 1 2 3 4 5 6 7 8 9
10 11 12 13 14 15 16 17 18 19 20
Đ.A B D D D D A B B D D B B D B C A B B D B
PHẦN II. Câu trắc nghiệm đúng sai.
Điểm tối đa của 01 câu hỏi là 1 điểm
-Thí sinh chỉ lựa chọn chính xác 01 ý trong 1 câu hỏi được 0,12 điểm.
-Thí sinh chỉ lựa chọn chính xác 02 ý trong 1 câu hỏi được 0,3 điểm.
-Thí sinh chỉ lựa chọn chính xác 03 ý trong 1 câu hỏi được 0,6 điểm.
-Thí sinh lựa chọn chính xác cả 04 ý trong 1 câu hỏi được 1,2 điểm. Câu 1 Câu 2 Câu 3 Câu 4 Câu 5 Câu 6 a) S a) Đ a) S a) Đ a) S a) S b) Đ b) S b) Đ b) Đ b) Đ b) Đ c) Đ c) Đ c) S c) S c) Đ c) S d) Đ d) S d) S d) Đ d) Đ d) S
PHẦN III. Câu trắc nghiệm trả lời ngắn. (Mỗi câu trả lời đúng thí sinh được …. điểm) Câu 1 2 3 4 5 6 Đáp án 2 8 2026 731 93 89
LỜI GIẢI CHI TIẾT
PHẦN I. Câu trắc nghiệm nhiều phương án lựa chọn. Thí sinh trả lời từ câu 1 đến câu 20. Mỗi câu hỏi
thí sinh chỉ chọn một phương án. Câu 1.
Cho hàm số y f (x) xác định, có đạo hàm trên
và f '(x) có đồ thị như hình vẽ bên dưới :
Mệnh đề nào sau đây đúng?
A. Hàm số y f (x) nghịch biến trên khoảng 3 ; 2 .
B. Hàm số y f (x) nghịch biến trên khoảng 2; .
C. Hàm số y f (x) đồng biến trên khoảng ; 3 .
D. Hàm số y f (x) đồng biến trên khoảng 2 ;0 . Lời giải Chọn B x 3
Dựa vào đồ thị hàm số f '(x) ta có: f '(x) 0
và f '(x) 0 x 3 ; 2 ; 0 x 2 (x 0)
Vậy hàm số y f x nghịch biến trên khoảng 2; . Câu 2.
Khảo sát về số giờ mượn sách thư viện của học sinh khối 11 trường Y ta được một mẫu số liệu ghép nhóm như sau:
Mốt của mẫu số liệu ghép nhóm trên gần nhất với giá trị nào sau đây A. 120: B. 12: C. 8. D. 9. Lời giải Chọn D
Nhóm chứa Mốt là 8;12 . Do đó: u 8 ; n
78 ; n 120 ; n
45 ; u u 12 8 4 m m 1 m m 1 m 1 m 120 78 368
Mốt của mẫu số liệu ghép nhóm là: M 8 . o .4 9, 4 120 78 120 45 39 Câu 3.
Điều kiện xác định của hàm số 1 y là sin x cos x
A. x k .
B. x k 2 . C. x k . D. x k . 2 4 Lời giải Chọn D
Đkxđ của hàm số đã cho là: sin x cos x 0 2.sin x 0 sin x 0 4 4
x k x k . 4 4 Câu 4.
Hàm số y log x và y log x có đồ thị như hình vẽ dưới đây. a b
Đường thẳng y 3 cắt hai đồ thị tại các điểm có hoành độ x , x . Biết rằng x 2x , giá trị của 1 2 2 1 a bằng b 1 A. . B. 3 . C. 2 . D. 3 2 . 3 Lời giải Chọn D
Từ đồ thị có x là nghiệm của phương trình log x 3 nên 3
log x 3 x b . 1 b b 1 1
Từ đồ thị có x là nghiệm của phương trình log x 3 nên 3
log x 3 x a . 2 a a 2 2 3 a a a Do x 2x 3 3
a 2.b 2 3 2 . Vậy 3 2 . 2 1 b b b 2 n 4n 7 Câu 5.
Cho dãy số u với u
. Hỏi dãy số trên có bao nhiêu số hạng nhận giá trị nguyên. n n n 1 A. 4 . B. 6 . C. 3 . D. 2 . Lời giải Chọn D 2 n 4n 7 4 Ta có u n 3 n n * n 1 n 1 n 1 2 n 1 Để 4
u nhận giá trị nguyên thì * n là số nguyên thì n n 1 n 1 4 n 3 Vậy dãy số u
có hai số hạng nhận giá trị nguyên. n Câu 6. Giá trị của 1 lim
(k *) bằng: k n A. 0. B. 2. C. 4. D. 5. Lời giải Chọn A 2 ax bx 1 Câu 7. Cho hàm số y cx
có đồ thị như hình vẽ bên dưới. Tính giá trị biểu thức: 2
T 2a 3b c . y 1 -2 x -1 O 1 A. 9. B. 10. C. 8. D. 11. Lời giải Chọn B Đồ 2
thị có tiệm cận đứng x 2 . Suy ra 2 c 1. c
Đồ thị có tiệm cận xiên đi qua hai điểm: 0 ;1 và 1
;0 nên có phương trình: x y
1 y x 1. Khi đó ta có: 1 1 2 ax bx 1 2
x bx 1
b 2 x 1 lim a ; lim x lim
b 2 1 b 3 . x x x 1 1 2 x x 2 x x 2
Vậy: T 2a 3b c 2 9 1 10 . Câu 8.
Cho hình chóp S.ABC có G là trọng tâm tam giác ABC và M là trung điểm của đoạn SG .
Biết SM xSA ySB zSC . Tính T x 2 y 6z . 1 3 2 5
A. T . B. T . C. T . D. T . 3 2 3 2 Lời giải Chọn B
Vì M là trung điểm của đoạn SG và G là trọng tâm tam giác ABC nên ta có: 1 1 1 SM SG
SA SB SC 1 1 1
SA SB SC . 2 2 3 6 6 6 1 1 1 3
Vậy, T x 2 y 6z 2. 6. . 6 6 6 2 Câu 9.
Thống kê điểm trung bình cuối học kì 1 môn Toán của một số học sinh lớp 12A được cho ở bảng sau:
Số trung vị (làm tròn đến hàng phần trăm) của mẫu số liệu ghép nhóm trên là A. 7,15 . B. 9,15 . C. 7,75 . D. 8,15 . Lời giải Chọn D
Cỡ mẫu là n 82 .
Gọi x , x ,..., x là các giá trị điểm trung bình môn Toán của học sinh lớp 12A theo thứ tự tăng dần. 1 2 82 x x
Vì cỡ mẫu chẵn nên ta có trung vị là 41 42 . 2
Mà hai giá trị x , x thuộc nhóm 8;8,5 nên nhóm này chứa trung vị. 41 42 82 81016
Vậy ta có giá trị trung vị là 2 M 8
. 8, 5 8 8,14583 8,15 . e 24
Câu 10. Trong hình vẽ dưới đây, chiếc quạt có ba cánh được phân bố đều nhau.
Số đo của góc lượng giác ON,Ox bằng
A. 50 k360 k .
B. 120 k360 k .
C. 70 k360 k . D. 7
0 k360 k . Lời giải Chọn D
Vì ba cánh quạt phân bố đều nhau nên ta suy ra MON NOP POM 120 .
Suy ra một góc lượng giác OM ,ON có số đo là 120 .
Theo hình vẽ, ta có một góc lượng giác Ox,OM có số đo là 50
suy ra một góc lượng giác
OM,Ox có số đo là 50. Theo hệ thức Chasles, ta có:
sđ ON,Ox sđ OM ,Ox sđ OM ,ON k360
50 120 k360 70
k360 k .
Câu 11. Có bao nhiêu số nguyên m thuộc 1; 20 để bất phương trình log x
log m nghiệm đúng với mọi m x
x thuộc 1 ;1 ? 3 A. 16. B. 17. C. 18. D. 19. Lời giải. Chọn B Với 1 ln x ln m 1 m 1;20 , ta có : YCBT log x log , m x ;1 , x ;1 m x 3 ln m ln x 3 1 2 2 ln x ln , m x ;1 (do ln x 0 với 1 x
;1 , ln m 0 với m 1;20 ) 3 3 1 2 2 ln ln m (do hàm 2 y
ln x nghịch biến trên 1 ;1 ) 3 3 2 2 ln 3 ln m m 1;20 ln 3 ln m 3 m m 3;4;...;19 . m 2 ax 1 bx 2 Câu 12. Cho biết lim a, b
có kết quả là một số thực. Giá trị của biểu thức 2 2 a b 3 x 1 x 3x 2 bằng? 45 9 A. 6 5 3 . B. . D. 87 48 3 16 C. 4 Lời giải Chọn B 2 2 ax 1 bx 2 ax 1 bx 2 Ta có lim lim , L với L (*) 3 2 x 1 x 1 x 3x 2 x 1 x 2 b 2 b 2 Khi đó a 1 b 2 0 a 1 b 2 2 2 a 1 b 4b 4 a b 4b 3 Thay 2 a b 4b 3 vào (*): 2 2 2 b 4b 3 x 1 bx 2 ax 1 bx 2 lim lim 3 2 x 1 x 3x 2 x 1 x 2 x 1 2 2 2 b 4b 3 x 1 bx 2 lim x 1 2 2 2 x 1 x 2 b 4b 3 x 1 bx 2 2 4b 3 x 4bx 3 lim x 1 2 2 2 x 1 x 2 b 4b 3 x 1 bx 2 4b 3 x 3 lim L, L . x 1 2 2 x 1 x 2 b 4b 3 x 1 bx 2 45 Khi đó: 3 3 4b 3 3 0 b a . Vậy 2 2 a b 2 4 16
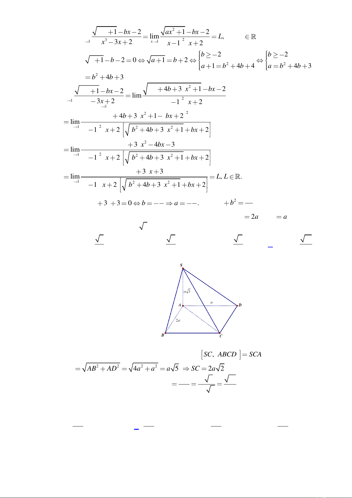
Câu 13. Cho hình chóp S.ABCD có đáy ABCD là hình chữ nhật, AB 2a , AD
a . SA vuông góc
với mặt phẳng đáy. SA a 3 . Gọi là góc giữa SC và mặt đáy ABCD, tính cos . 5 7 6 10 A. cos . B. cos . C. cos . D. cos . 4 4 4 4 Lời giải Chọn D
Hình chiếu của SC lên ABCD là AC . Do đó SC, ABCD SCA 2 2 2 2 AC AB AD 4a a a 5 SC 2a 2 AC a 5 10
Trong tam giác vuông SAC : cos SCA . SC 2a 2 4
Câu 14. Một hộp đựng 4 viên bi xanh, 3 viên bi đỏ và 8 viên bi vàng. Chọn ngẫu nhiên hai viên bi.
Xác suất để chọn được hai viên bi cùng màu là 28 37 31 21 A. . B. . C. . D. . 105 105 105 105 Lời giải Chọn B
Số phần tử của không gian mẫu: n 2 C 105 15
Gọi A: “chọn được hai viên bi cùng màu” n A 2 2 2
C C C 37 4 3 8
Xác suất của biến cố A : n A 37 . 105 1 2m 5
Câu 15. Cho hàm số y 3 m 4 3 2 2 1 x x
x 3x m ( m là tham số). Có bao nhiêu giá trị 4 2 1
nguyên của m thuộc khoảng 5
00;50 để hàm số nghịch biến trên đoạn ;4 ? 2 A. 500 . B. 502 . C. 501. D. 499 . Lời giải. Chọn C Ta có y 3 m 3 2
1 x 3x 2m 5 x 3 . 1 1
Yêu cầu bài toán y 0 , x ; 4 3 m 3 2
1 x 3x 2m 5 x 3 0 x ; 4 . 2 2
Ta có bất phương trình 3 m 3 2
1 x 3x 2m 5 x 3 0 3 3 3 2
m x x 3x 2mx 5x 3 0
mx3 mx x 3 2 1 2 x 1 1.
Xét hàm số f t 3
t t f t 2 2 '
3t 2 0 t
f t là hàm số đồng biến trên 2 . x Từ 1 và 1 1
2 mx x 1 m , x ; 4 . x 2 x 1 1 1 5 Xét h x 1 trên ; 4
có h x 0, x ; 4
m min h x m . x 2 2 x 2 1 ;4 4 2 m 500 ;50 Vì m 499 ; 498 ;... 2; 1 ;0 ;1 . m
Vậy có 501 giá trị m thoả yêu cầu.
Câu 16. Cho hình hộp AB .
CD A B C D . Giả sử điểm M thuộc AC , điểm N thuộc DC và MN m m
AM xAC, DN yDC .Với x và y sao cho MN//BD .Khi đó tỉ số .( là phân B D n n
số tối giản).Tính m n . A. 4 . B. 3 . C. 5 . D. 7 . Lời giải Chọn A
Đặt: BA a, BC b, BB c .
Khi đó, theo quy tắc hình hộp ta có: BD a b c .
Ta có: MN BN BM .
Từ DN yDC, ta có BN BD yBC BD , suy
ra: BN a b yb c a b .
BN 1 y a b yc .
Từ AM xAC , suy ra BM BA xBC BA.
Vậy BM a xb a BM 1 xa xb .
Do đó: MN BN BM 1 ya b yc 1 xa xb x ya 1 xb yc.
Điều kiện để MN//BD là MN kBD hay x ya 1 xb yc k a b c
x ya 1xb yc ka kb kc (*)
Do a,b ,c không cùng phương nên từ (*) suy ra:
k x y
x 2y 0
k x x y
x; y; k 2 1 1 1 1 ; ; . 3 3 3 k y k y
Vậy M và N được xác định bởi bởi 2 1 AM
AC, DN DC và 3 3 2 1 2 1 1 MN a
b c a b c 1 1 BD . 3 3 3 3 3 3 Khi đó MN 1 k
m ;n m n BD .Suy ra 1 3 4 3
Câu 17. Cho tam giác ABC vuông tại A có ba cạnh C ,
A AB, BC lần lượt tạo thành một cấp số nhân có
công bội là q . Tìm q ? 5 1 2 2 5 1 5 2 5 2 A. q . B. q . C. q . D. q . 2 2 2 2 Lời giải Chọn B
Vì tam giác ABC vuông tại A nên 2 2 2
BC AB AC . Theo giả thiết ta có ba cạnh C , A AB, BC
lần lượt tạo thành một cấp số nhân có công bội là q nên 2
BC q .AC và AB . q AC . 1 5 2 q Do đó 2 2 2 2
BC AB AC 4 2 2 2 2
q .AC q .AC AC 4 2
q q 1 0 . 1 5 2 q 2 1 5 Vì q 0 nên 2 q 2 2 5 q . 2 2
Câu 18. Cho hình chóp S.ABCD có đáy ABCD là hình vuông. Gọi E là trung điểm của BC , F là điểm
thuộc cạnh CD sao cho 45o EAF
và G thuộc cạnh SA . Biết FG song song với mặt phẳng GA
SBC . Khi đó tỉ số bằng GS 1 1 2 3 A. . B. . C. . D. . 3 2 3 4 Lời giải Chọn B Ta có: 90o BAE EAF DAF 45o BAE DAF BAE DAF
tan BAE DAF tan tan 1 1
1 tan BAE. tan DAF BE 1 1 DF 1 1 1 Mà tan BAE
Nên tan DAF
DF DA DC BA 2 3 DA 3 3 3
Gọi H là giao điểm của AF và BC trong mặt phẳng ABCD G
F SAH Ta có: G
F / / SBC GF / /SH SAH
SBC SH AG AF AF DF 1 AG 1 GA 1 .Mà Nên AS AH AH DC 3 AS 3 GS 2
Câu 19. Biển số xe máy tỉnh K gồm hai dòng
- Dòng thứ nhất là 68 XY , trong đó X là một trong 24 chữ cái, Y là một trong 10 chữ số;
- Dòng thứ hai là ab .
c de , trong đó a , b , c , d , e là các chữ số.
Biển số xe được cho là " đẹp " khi dòng thứ hai có tổng các số là số có chữ số tận cùng bằng 8
và có đúng 4 chữ số giống nhau. Hỏi có bao nhiêu cách chọn 2 biển số trong các biển số " đẹp"
để đem bán đấu giá? A. 12000 . B. 143988000 . C. 4663440 . D. 71994000 . Lời giải Chọn D
Chọn X từ 24 chữ cái và chọn Y từ 10 chữ số, ta có 24.10 240 (cách chọn).
Chọn 4 chữ số giống nhau từ các chữ số ta có 10 cách chọn;
Mỗi bộ gồm 4 chữ số giống nhau, ta có một cách chọn duy nhất 1 chữ số còn lại để tổng các số
là số có chữ số tận cùng bằng 8 , chẳng hạn: 4 chữ số 0 , chữ số còn lại sẽ là 8 ; 4 chữ số 1, chữ
số còn lại sẽ là 4 ;…; 4 chữ số 9 , chữ số còn lại sẽ là 2 ).
Sắp xếp 5 chữ số vừa chọn có 5 cách xếp.
Do đó, có tất cả 10.5 50 (cách chọn số ở dòng thứ hai).
Suy ra có tất cả 240.50 12000 (biển số đẹp).
Chọn 2 biển số trong các biển số " đẹp " ta có 2 C 71994000 (cách). 12000
Câu 20: Người ta cần lắp một camera phía trên sân bóng để phát sóng truyền hình một trận bóng đá,
camera có thể di động để luôn thu được hình ảnh rõ nét về diễn biến trên sân. Các kĩ sư dự định
trồng bốn chiếc cột cao 30m và sử dụng hệ thống cáp gắn vào bốn đầu cột để giữ camera ở vị
trí mong muốn. Mô hình thiết kế được xây dựng như sau: Trong hệ trục toạ độ Oxyz (đơn vị độ
dài trên mỗi trục là 1m ), các đỉnh của bốn chiếc cột lần lượt là các điểm
M 90;0;30, N 9 ( 0;1 20;30 ,
) P 0;120;30, Q0;0;30 (Hình vẽ ). Giả sử K là vị trí ban đầu 0
của camera có cao độ bằng 25 và K M K N K P K Q . Để theo dõi quả bóng đến vị 0 0 0 0
trí A , camera được hạ thấp theo phương thẳng đứng xuống điểm K có cao độ bằng 19 . 1
Biết rằng véc tơ K K có tọa độ là ( ; a ; b c); , a ,
b c . Khi đó a b c bằng 0 1 A. 7 B. 6 C. 7 D. 5 Lời giải Chọn B
Gọi M , N , P, K lần lượt là hình chiếu của M , N, P, K lên mặt phẳng Oxy. 1 1 1 0 Ta thấy MNP .
Q M N PO là hình hộp chữ nhật. Gọi K ' là giao hai đường chéo MP và NQ . 1 1 1
Khi đó K 'Q K ' P K ' N K 'M. Vì K M K N K P K Q và camera được hạ thấp 0 0 0 0
theo phương thẳng đứng từ điểm K xuống điểm K nên các điểm K ', K , K , K thẳng 0 1 0 1
hàng. Khi đó, các điểm K ', K , K , K có hoành độ và tung độ bằng nhau. 0 1
Theo bài ra, cao độ của K và K lần lượt là 25 và 19. Giả sử K ;
x y; 25 và K ; x y;19 . 0 1 0 1 Ta có MNP .
Q M N PO là hình hộp chữ nhật nên K ' K OQ , suy ra cao độ của K ' bằng 30. 1 1 1 Do đó, K ' ;
x y;30. Ta có K Q ;
x y; 0 , NK x 90; y 120;0.
Vì K ' là giao hai đường chéo của hình chữ nhật MNPQ nên K ' là trung điểm của . NQ
x x 90 x 45 Suy ra K Q
NK y y 120 . Vậy K 45; 60; 25 , K 45; 60; 19 0 1 y 60 0 0
Ta có K K 0; 0; 6 . Do đó, a b c 6. 0 1
PHẦN II. Câu trắc nghiệm đúng sai. Thí sinh trả lời từ câu 1 đến câu 6. Trong mỗi ý a),b), c), d) ở mỗi
câu, thí sinh chọn đúng hoặc sai. Câu 1.
Cho hàm số f x có đạo hàm liên tục trên. Đồ thị của hàm số y f 4 3x như hình vẽ.
Xét tính đúng sai của các mệnh đề sau:
a) Hàm số y f 4 3x đồng biến trên trên tập 0; 2 4; . b) f '( 8 ) f '( 2 ) f '(4) 0
c) Hàm số g x f 3 ( )
x 2 đồng biến trên khoảng ; , giá trị nhỏ nhất của bằng 3 6
d) Có 26 giá thực của tham số m thuộc khoảng 9
;9 thỏa mãn 2m để hàm số y 2 f 1 3
x 2 m có 5 điểm cực trị. 2 Lời giải 9
a) Sai vì: xét hàm số x 0;2 , x
4; :x x ta có lim y lim y 4 1 2 1 2 x (2) x (4) 1 4 1 b) Đúng vì:
Từ đồ thị hàm số y f 4 3x có bảng biến thiên như sau: Suy ra: y '(0) 3
. f '4 3.0 0 f '(4) 0 . Tương tự f '( 8 ) 0, f '( 2 ) 0 c) Đúng vì:
Xét hàm số g x f 3 x 2 . 2 x 0 x 0 3 3 x 2 4 3.0 x 6 g x 2 x f 3 3 .
x 2 , g x 0 . 3 x 2 4 3.2 x 0 3 3
x 2 43.4 x 6
Ta có bảng biến thiên hàm g x như sau:
Hàm số g x f 3 ( )
x 2 đồng biến trên 3 6; do đó giá trị nhỏ nhất của bằng 3 6 d) Đúng vì:
Ta có g x có 3 cực trị nên y g x 1 2
m cũng có 3 cực trị. Do đó để hàm 2 y 2 f 1 3
x 2 m
có 5 cực trị thì phương trình g x 1 2
m 0 có đúng 2 nghiệm đơn 2 2 1 2 m 1
phân biệt. Ta có: 2g x m 0 g x * 2 4 2m 1 9 2m 8 4 4
Phương trình * có đúng 2 nghiệm đơn khi và chỉ khi . 2m 1 1 2m 17 4 0 4 18 2m 8 Mà 2m 18
;18 và 2m nên suy ra . 1 2m 17 Do 2m nên 2m 1 7; 1 6; 1 5;...8;1;2;3;..;1
6 .Vậy có 10 16 26 giá trị m thỏa yêu cầu bài toán. Câu 2.
Trong không gian Oxyz , cho tam giác ABC có A 2 ;0; 3 , B 4 ; 4 ;1 , C 4 ;1; 1 .
a) Điểm A2; 0; 3
đối xứng với A qua mặt phẳng Oyz .
b) Tam giác ABC là tam giác tù.
c) Bán kính đường tròn nội tiếp tam giác ABC (kết quả được làm tròn đến hàng phần trăm) là r 1,12 .
d) Cho hai điểm M , N thay đổi trên mặt phẳng Oyz sao cho MN 3. Giá trị nhỏ nhất của
AM BN (kết quả được làm tròn đến hàng phần trăm) là 6,17 . Lời giải a) Đúng.
b) Ta có AB 4 16 16 6 ; AC 4 1 4 3 ; BC 0 25 4 29 .
Cạnh AB lớn nhất nên góc C lớn nhất 2 2 2
AC BC AB Do cos C
0 nên C là góc nhọn, do đó tam giác ABC nhọn b) sai. 2 AC.BC
c) Ta có diện tích tam giác ABC S
p p a p b p c 1
9 299 293 29 29 3 65. 4 S 2 65
Mặt khác S pr r 1,12 . c) đúng. p 9 29
d) Ta có H 0;0; 3 , K 0; 4
;1 lần lượt là hình chiếu vuông góc của A 2 ;0; 3 và B 4 ; 4
;1 xuống mặt phẳng Oyz .
Nhận xét: A , B nằm về cùng một phía với mặt phẳng Oyz .
Gọi A đối xứng với A qua Oyz , suy ra H là trung điểm đoạn AA nên AM A M . Mà A H
AH 2; BK 6; HK 4 2 . Do đó 2 2 2 2
AM BN A M
BN HA HM BK KN
HA BK 2 HM KN 2
HM KN 2 36
Lại có HM MN NK HK HM NK HK MN 4 2 3
Dấu “=” xảy ra khi và chỉ khi H , M , N, K thẳng hàng và theo thứ tự đó.
Suy ra AM BN
HM KN 2 2 36 36 4 2 3 77 24 2 .
Vậy giá trị nhỏ nhất của AM BN bằng 77 24 2 6,56 . d) sai. Câu 3.
Cho 1 a b 2 . Các mệnh đề sau đúng hay sai? a) 2024 2024 log 2 log 2 . a b b) 2 ab
b 2 log b . a 2 log 4 log 1 2 a a b log b 2 c) log a . ab a 1 log b a
d) Giá trị nhỏ nhất của P
2b b 2 2.log 4 4 log a có dạng 3
x 3 y với , x y là các số a b a
nguyên dương, khi đó x 2y 22 . Lời giải: a) Ta có 2024 2024 log 2 log 2 nên a) sai a b 2 b) 2 ab b b b
b nên b) đúng a 2 2 log 4 log 1 1 log log 1 2 log 2 a a a a b 1 log log b 1 a a b log b 2 c) a 2 log a nên c) sai ab a log ab b b a 1 log 2 a 1 loga d) Ta có b 1 0 1 b 2 b 1 2 b 4 0 2 b 4 0 3 2 2 3
b b 4b 4 0 b 4b 4 b Mà a 1 nên
2b b 3 log 4 4 log b a a Do đó 1 3 2
P 2 log b log a 6 log b a b a a log b a 2 1 1
a b 2
Đặt t log b , từ điều kiện ta có b t 1 a 1 a Khi đó 1 p 6t 3t 1 3t 1 3 t 1 6 3 9 6 2 1 t 2 1 1 1
Dấu " " xảy ra khi 3t 3 1 t t 1 2 1 3
Vậy x 6; y 9 x 2 y 24 . nên d) sai n iu u 1, u 2024 i Câu 4.
Cho dãy số u được xác định bởi 1 2 . i 1 w n u
u 2 u n n 4 3 3n 4n 2n 3 n 1012 n * , n 2 1
Xét tính đúng sai của các khẳng định sau a) u 12142 4 141660 b) w 4 2038 2u a c) biết lim n
. a,b là số tự nhiên, a tối giản, khi đó 2 2
a b 1012. 2 2n n 2 b b n iui 759 d) Đặt i 1 w thì lim w . n 4 3
3n 4n 2n 3 n 9 Lời giải u 1, u 2024 1 1 2 n 1 u
u 2 u 1012 2 n2 n n 1 a) . u 1, u 2024 1 2 u
u 2 u n n 1012 n * , n 2 1
u u 2 u 1012 u 2 u 1012 u 1 607 3 1 2 3 2 1
u 2 u 1012 u 12142 4 3 2 n iui
u 2u 3u 4u 70830 b) i 1 w nên 1 2 3 4 w n 4 3
3n 4n 2n 3 4 4 3 3.4 4.4 2.4 3 1019
c) Đặt v u u . n n 1 n Ta có 2 u
u u u 2024 v v 2024 . n2 n 1 n 1 n n 1 n
Suy ra v lập thành một cấp số cộng có số hạng đầu v u u 2024 1 2023 và công sai n 1 2 1 d 2024
Nên v 2023 n
1 .2024 2024n 1. n
Khi đó: u u u u u
u u u n
n n 1 n 1 n2 2 1 1
v v .
v u 2024 n 1 n 2 1 n 1 1 n 1 n2 1 1 n n 1 2024
n 2 1012nn 2
1 n 2 1012n 1013n 2 2 . 2
u 1012n 1013n 2 n 2026 4 2 2024 2 2u Do đó: 2024n 2026n 4 lim n lim lim n n 1012 . 2 2 2n n 2 2n n 2 1 2 2 2 n n 2u a lim n . Vậy a=1012, b=1. 2 2
a b 1024143. 2 2n n 2 b n iui d) i 1 v n 4 3
3n 4n 2n 3 n n iu i i i i i i i n n n 2 1012 1013 2 3 2 1012 1013 2 i 1 i 1 i 1 i 1 i 1 2
n(n 1)
n(n 1)(2n 1) n(n 1) 1012 1013 2 2 6 2 2 n
n(n 1)
n(n 1)(2n 1) n(n 1) iu 1012 1013 2 i i 2 6 2 1 v . n 4 3 4 3
3n 4n 2n 3
3n 4n 2n 3 253 759 lim v . n 3 9 Câu 5.
Cho hình chóp đều S.ABC có cạnh đáy bằng a . Gọi O là trọng tâm của tam giác ABC , SO 2a
Trên đường cao AH của tam giác ABC lấy điểm M không trùng với A và H , mặt phẳng P
đi qua M và vuông góc với AH . Các mệnh đề sau đúng hay sai?
a) SO song song với mặt phẳng P a 39
b) Cạnh bên của hình chóp đã cho bằng . 3
c) Gọi là góc giữa mặt bên và mặt đáy có giá trị tan bằng 4 3 .
d) Giá trị lớn nhất của diện tích thiết diện của hình chóp S.ABC cắt bởi mặt phẳng P bằng 2 3a . 4 Lời giải
a) Vì S.ABC là hình chóp đều nên SO AH . Mà P AH nên SO song song với mặt phẳng
P hoặc SO (P) Vậy a)-sai S A C O H B a 3 a b) Ta có AH 2 3
AO AH 2 3 3 2 a a
Xét tam giác vuông OSA ta có 2 2 2 3 39 SA SO AO 4a 9 3 Vậy b)-đúng
c) Dễ thấy góc giữa mặt bên và mặt đáy của hình chóp đã cho bằng góc OHS SO 3SO 3.2a
Ta có tan tan OHS 4 3 OH AH a 3 2 Vậy c)-đúng d) Đặt a AM x với 3 0 x
. Ta xét hai trường hợp sau: 2 a 3 TH1: 0 x
, khi đó thiết diện là tam giác cân KIJ tại K như hình vẽ 3 S K J A C I M O H B IJ AM AM .BC 2x 3 KM AM AM .SO Ta có IJ và KM 2x 3 BC AH AH 3 SO AO AO 1 2a
Suy ra dt KIJ 2 2
IJ.KM 2x 2 3 a 3 a 3 TH2: x
, khi đó thiết diện là hình thang cân IJEF như hình vẽ 3 2 S E N F J A C O M H I B